Fig. 1.

Fig. 2.

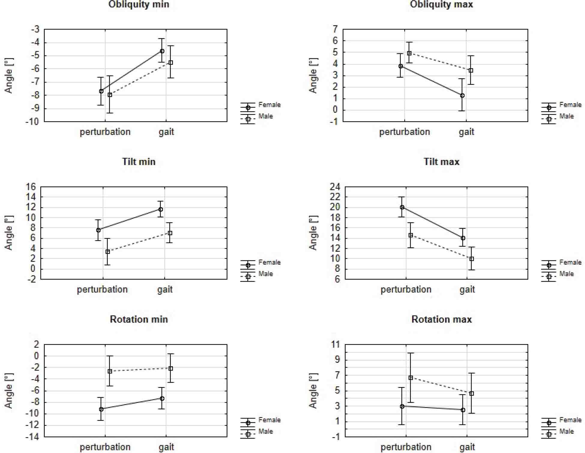
Fig. 3.

Characteristic of the measured group together with p-value for Shapiro-Wilk test for females (pF (S-W)) and males (pM (S-W)) and p-value (p) for T-Student test (T) or U Mann-Whitney (U) test
| Female | Male | Total | PF (S-W) | pM (S-W) | p (U/T) | |
|---|---|---|---|---|---|---|
| N | 27 | 16 | 43 | |||
| Age [years] mean±std | 23±4 | 23±4 | 23±4 | <0.001 | <0.001 | 0.88(U) |
| Height [m] mean±std | 1.67±0.08 | 1.81±0.07 | 1.71±0.10 | 0.648 | 0.745 | <0.001(T) |
| Body mass [kg] mean±std | 62±10 | 86±18 | 71±18 | 0.048 | 0.006 | <0.001(U) |
Results of the two-way analysis of variance (* stands for results for interaction)
| Effect | η2 | F(1,41) | p | |
|---|---|---|---|---|
| obliquity min | Gender | 0.014 | 0.57 | 0.456 |
| PERT | 0.628 | 67.48 | <0.001 | |
| PERT*Gender | 0.020 | 0.83 | 0.367 | |
| obliquity max | Gender | 0.146 | 77.50 | 0.014 |
| PERT | 0.553 | 48.29 | <0.001 | |
| PERT*Gender | 0.110 | 4.84 | 0.034 | |
| tilt min | Gender | 0.221 | 10.76 | 0.002 |
| PERT | 0.566 | 49.64 | <0.001 | |
| PERT*Gender | 0.003 | 0.12 | 0.729 | |
| tilt max | Gender | 0.256 | 12.70 | 0.001 |
| PERT | 0.659 | 71.56 | <0.001 | |
| PERT*Gender | 0.025 | 0.94 | 0.339 | |
| rotation min | Gender | 0.276 | 15.28 | <0.001 |
| PERT | 0.136 | 6.31 | 0.016 | |
| PERT*Gender | 0.049 | 2.05 | 0.160 | |
| rotation max | Gender | 0.072 | 43.09 | 0.0864 |
| PERT | 0.065 | 2.78 | 0.103 | |
| PERT*Gender | 0.026 | 1.08 | 0.305 |
p-value for post hoc test of selected parameters
| Gait vs perturbation (F) | Gait vs perturbation (M) | Gait (F) vs gait (M) | perturbation (F) vs perturbation (M) | |
|---|---|---|---|---|
| obliquity min | <0.001 | <0.001 | 0.785 | 0.993 |
| obliquity max | 0.001 | <0.001 | 0.27 | 0.016 |
| tilt min | <0.001 | <0.001 | 0.014 | 0.027 |
| tilt max | <0.001 | <0.001 | 0.040 | 0.003 |
| rotation min | 0.011 | 0.907 | 0.027 | 0.003 |
| rotation max | – |