Pharyngeal and laryngeal cancer (PLC), primarily squamous cell carcinoma, ranks among the common head and neck malignancies, impacting regions such as the nasopharynx, oropharynx, hypopharynx, and larynx (Igissin et al. 2023). It predominantly affects men over 40, with tobacco use elevating the risk by over tenfold and alcohol consumption further intensifying this susceptibility. Human papillomavirus (HPV) infection also plays a significant role in oropharyngeal cancer development. Typical symptoms include persistent hoarseness, sore throat, and chronic cough (La Vecchia et al. 2008; Liu et al. 2018). Current therapeutic approaches for PLC encompass surgical resection, radiotherapy, chemotherapy, targeted therapies, and immunotherapies (Obid et al. 2019). Despite advances, research continues to uncover the disease’s etiology, enhance early detection, refine treatment strategies, and improve patient quality of life. The potential role of oral microbiota in the initiation and progression of PLC remains underexplored, necessitating further investigation to identify specific microbial communities involved and to elucidate the underlying mechanisms of the development of PLC.
The human microbiome, present across multiple body sites, is integral to many physiological functions. It supports nutrient uptake, maintains epithelial barrier integrity, detoxifies harmful compounds, modulates inflammation and immune responses, and protect against pathogenic microbes (Xu et al. 2015). Advances in next-generation sequencing (NGS) technologies have significantly deepened insights into the microbiome, highlighting the roles of not only gut microbiota but also skin and oral microbial communities (Sędzikowska and Szablewski 2021; Peng et al. 2022; Yang et al. 2022). Despite the rapid growth in microbiome research, therapeutic strategies for microbiome-associated diseases remain in their infancy. For example, while fecal microbiota transplantation can correct antibiotic-induced dysbiosis, the distinct mechanisms of the proliferation of specific bacteria, such as Clostridium difficile and Enterobacteriaceae, post-antibiotic exposure underscore the need for targeted microbiome-based interventions (Bäumler and Sperandio 2016).
The oral microbiota is essential for sustaining oral homeostasis, shielding the oral cavity, and preventing disease (Tuganbaev et al. 2022). A balanced oral microbial community collaborates with the host immune system to block external pathogen invasion. It also contributes to diverse physiological functions, such as digestion and immune modulation. Metabolites generated by oral microbes are vital for preserving oral health. Factors such as diet, smoking, alcohol intake, lifestyle, and health conditions shape the composition and variability of the oral microbiota. Studies have linked the oral microbiota to various systemic conditions, including cardiovascular disorders, diabetes, respiratory diseases, autoimmune disorders, and cancer (Sedghi et al.2021). Recent research has revealed a connection between oral microbiota and oncogenesis (Li et al. 2022). Evidence suggests that microbial dysbiosis significantly influences the development of cancers, including oral, gastric, colorectal, liver, lung, and breast cancer (Lan et al. 2023). The interplay between oral microbiota and cancer, along with its underlying oncogenic mechanisms, remains unknown. Interactions among bacterial taxa, particularly Streptococcus species, are a topic of ongoing debate regarding their role in inducing Foxp3+ regulatory T (Treg) cells and their contribution to the pathogenesis of papillomatosis laryngea (PLC) (Nocini et al. 2022). Currently, there is no consensus on the link between oral microbiota and the risk of laryngeal cancer, as the evidence is still limited. This highlights the need for further studies to clarify this association and understand its underlying mechanisms.
Mendelian randomization (MR) has elucidated causal relationships between the gut microbiome and periodontitis, providing novel insights for the prevention and management of periodontitis (Ye et al. 2023). Additionally, MR analyses have revealed a positive association between uric acid levels and the risk of venous thromboembolism in East Asian populations (Weng et al. 2023). Overall, MR is generating an increasing number of significant discoveries in the medical field, offering valuable clues for disease intervention and treatment strategies. MR provides a practical approach for examining the causal association between oral microbiota and PLC by utilizing genetic variants as instrumental tools to assess causal effects, mitigating biases from confounding through the random distribution of genotypes. Although MR has been extensively employed to explore microbiota-related diseases, such as cancer and metabolic conditions, previous MR studies on PLC have predominantly focused on the gut microbiome. Given the close anatomical proximity of the oral microbiota to PLC sites, it is postulated to exert a more direct impact on PLC development compared to the gut microbiome. This study leveraged genome-wide association study (GWAS) data on oral microbiota, derived from 2,017 tongue dorsum and 1,915 saliva samples from 2,984 healthy Chinese individuals, alongside PLC GWAS data, encompassing 300 cases and 178,426 controls of East Asian descent, to perform a two-sample MR analysis exploring the causal connection between oral microbiota and PLC.
We implemented a two-sample MR framework to rigorously examine the causal relationship between oral microbiota and PLC risk. This approach is grounded in three core assumptions: i) selected genetic variants are strongly associated with their corresponding proteins (relevance); ii) these variants are unaffected by potential confounders (independence); and iii) they impact the outcome solely via the designated proteins (exclusion restriction) (Gill et al. 2021). The analytical design is depicted in Fig. 1, and the study adheres to the STROBE-MR guidelines (Table SI) (Skrivankova et al. 2021).

Schematic representation of the MR analysis.
This study utilized two distinct summary-level genetic datasets. For PLC, we examined a GWAS dataset comprising 300 cases and 178,426 controls of East Asian descent, sourced from a European repository (IEU OpenGWAS ID: ebi-a-GCST90018678) (Sakaue et al. 2021). Genetic instruments for the exposure were obtained from a comprehensive GWAS of oral microbiota, encompassing 2,017 tongue dorsum and 1,915 saliva samples collected from 2,984 healthy Chinese individuals (Liu et al. 2021).
To be selected as instrumental variables (IVs), single-nucleotide polymorphisms (SNPs) were required to demonstrate a genome-wide significant association (typically p < 5 × 10−8) with their corresponding oral microbiota. However, to ensure a sufficient number of instrumental variables, we relaxed this threshold to p < 1 × 10−5 (Qi et al. 2024). To ensure independence of the instruments, we applied clumping with a rigorous linkage disequilibrium threshold (r2 < 0.001, 10 Mb window), referencing the 1000 Genomes Project as the standard panel. SNPs with an F-statistic below 10 were excluded to reduce the potential for weak instrument bias (Lv et al. 2023; Wu et al. 2025).
We employed the inverse-variance weighted (IVW) approach to evaluate the causal impact of oral microbiota on PLC risk. To ensure the robustness of these findings, we performed sensitivity analyses using weighted median, weighted mode, simple mode, and MR-Egger regression techniques to account for potential pleiotropy. Heterogeneity assessments were conducted to determine the most suitable analytical method, with a p-value threshold of < 0.01 established for statistical significance in the IVW results (Burgess et al. 2015; Bowden et al.2017; Boehm and Zhou 2022).
We conducted sensitivity analyses to assess heterogeneity and directional pleiotropy among the instrumental variables. Heterogeneity was evaluated using Cochran’s Q statistic derived from the IVW approach (Burgess et al. 2013). To examine potential pleiotropic effects, we applied the MR-Egger intercept test and the MR-PRESSO global test (Verbanck et al. 2018). The absence of notable horizontal pleiotropy was confirmed when p-values from both tests surpassed 0.05.
To explore potential reverse causation, we performed a reverse MR analysis to evaluate the causal effect of PLC on the previously identified oral microbiota. Instrumental variables for PLC were chosen from SNPs demonstrating an association significance threshold of p < 1.0 × 10−5.
All statistical analyses were executed using R (v4.4.1) (R Core Team 2024). Causal effects were calculated with the TwoSampleMR package (v0.6.6), while pleiotropy evaluations were carried out using the MR-PRESSO package (v1.0).
This study relied exclusively on publicly accessible, summary-level GWAS data. All data were anonymized and aggregated, containing no individual-level details. As a result, independent institutional review board approval was not necessary.
This study applied a two-sample MR approach to investigate the causal link between oral microbiota and PLC risk, utilizing summary-level genetic datasets. Following the IV selection criteria, 40,427 SNPs were selected for oral microbiota, each passing the Steiger test with an F-statistic exceeding 10 to mitigate weak instrument bias (Table SII). The forward MR analysis, performed using the IVW method and supported by sensitivity analyses (including weighted median, weighted mode, simple mode, and MR-Egger regression) to account for pleiotropy, revealed 14 proteins with significant causal associations with PLC (p < 0.01), as presented in Fig. 2 and Table SIII.

IVW MR analysis of the causal association between oral microbiota and PLC.
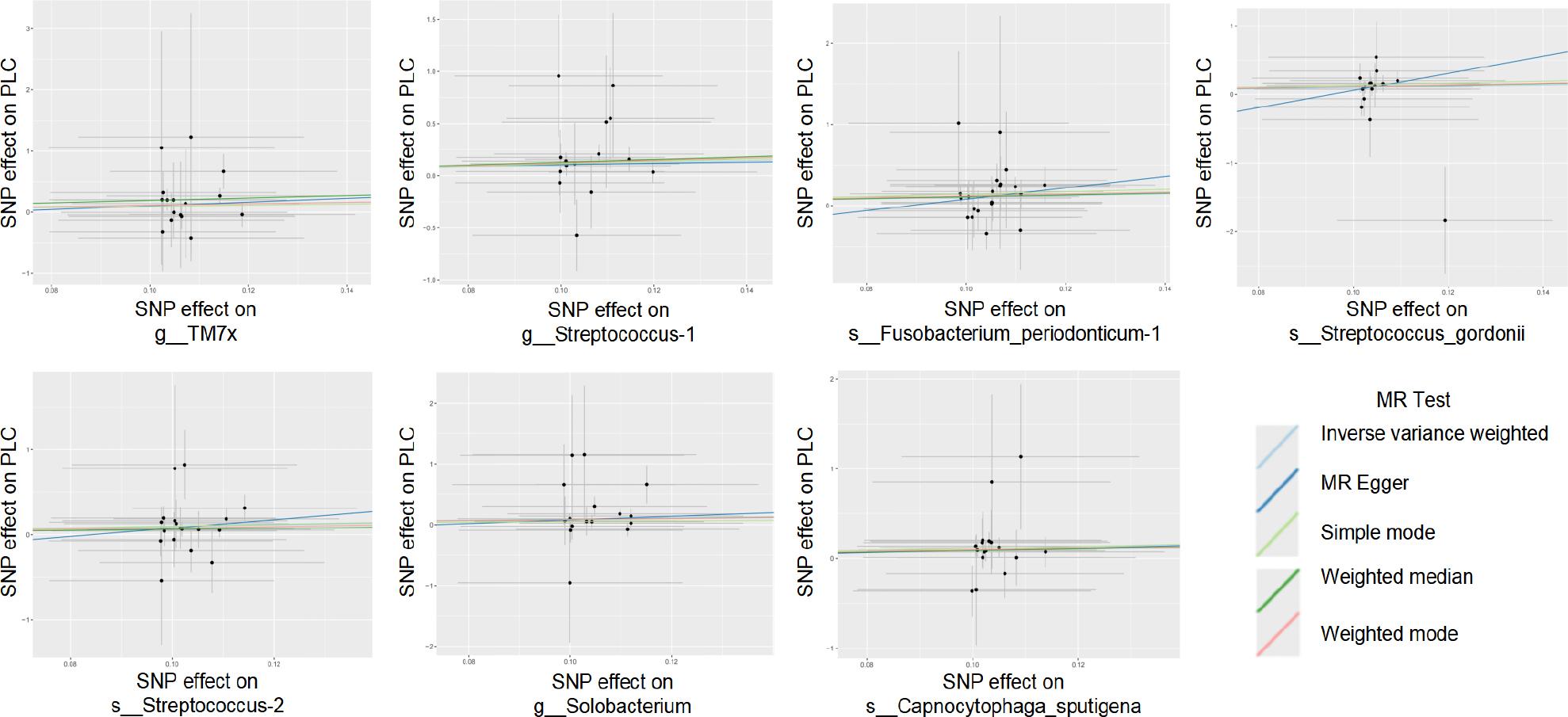
Seven oral microbiota were linked to increased PLC risk: g__TM7x (OR = 3.23, 95% CI: 1.35–7.74, p = 8.42 × 10−3), g__Streptococcus-1 (OR = 2.85, 95% CI: 1.42–5.70, p = 3.12 × 10−3), s__Fusobacterium_ periodonticum-1 (OR = 2.80, 95% CI: 1.38–5.67, p = 4.34 × 10−3), s__Streptococcus_gordonii (OR = 2.78, 95% CI: 1.29–5.98, p = 9.24 × 10−3), s__Streptococcus-2 (OR = 2.62, 95% CI: 1.27–5.39, p = 9.09 × 10−3), g__Solobacterium (OR = 2.53, 95% CI: 1.26–5.09, p = 9.16 × 10−3), and s__Capnocytophaga_sputigena (OR = 2.51, 95% CI: 1.28–4.95, p = 7.72 × 10−3), as illustrated in Fig. 3.

Scatter plots depicting the MR analysis of the causal association between oral microbiota and PLC (risk factors).
Conversely, seven oral microbiota exhibited protective effects: s__Fusobacterium_periodonticum-2 (OR = 0.52, 95% CI: 0.32–0.86, p = 9.92 × 10−3), s__ Streptococcus-3 (OR = 0.42, 95% CI: 0.23–0.77, p = 5.10 × 10−3), s__Haemophilus (OR = 0.42, 95% CI: 0.22–0.78, p = 5.99 × 10−3), g__Campylobacter (OR = 0.40, 95% CI: 0.22–0.75, p = 3.92 × 10−3), f__Saccharimonadaceae-1 (OR = 0.38, 95% CI: 0.18–0.79, p = 9.78 × 10−3), f__Saccharimonadaceae-2 (OR = 0.38,95% CI: 0.19–0.75, p = 5.18 × 10−3), and f__Saccharimonadaceae-3 (OR = 0.36, 95% CI: 0.18–0.71, p = 3.12 × 10−3), as detailed in Fig. 4.

Scatter plots depicting the MR analysis of the causal association between oral microbiota and PLC (protective factors).
The validity of the primary findings was verified through comprehensive sensitivity analyses. Cochran’s Q test revealed no significant heterogeneity among the instruments (Table SIV). For instruments comprising three or more SNPs, both the MR-Egger intercept test (Table SV) and the MR-PRESSO global test (Table SVI) showed no evidence of horizontal pleiotropy. These consistent results strengthen the reliability of the causal associations identified between oral microbiota and PLC (Table I).
Sensitivity analysis results of the MR study for PLC.
| Exposure | Heterogeneity analysis | Pleiotropy analysis | ||||||||
|---|---|---|---|---|---|---|---|---|---|---|
| Inverse variance weighted | MR Egger | MR Egger | MR PRESSO global test | |||||||
| Q | Q_df | Q_pval | Q | Q_df | Q_pval | Egger_ intercept | se | pval | pval | |
| g__TM7x | 14.15 | 15.00 | 0.51 | 14.11 | 14.00 | 0.44 | –0.20 | 1.01 | 0.84 | 0.50 |
| g__Streptococcus-1 | 13.55 | 14.00 | 0.48 | 13.54 | 13.00 | 0.41 | 0.05 | 0.58 | 0.93 | 0.56 |
| s__Fusobacterium_periodonticum-1 | 12.79 | 21.00 | 0.92 | 12.27 | 20.00 | 0.91 | –0.62 | 0.86 | 0.48 | 0.93 |
| s__Streptococcus_gordonii | 17.85 | 14.00 | 0.21 | 17.36 | 13.00 | 0.18 | –1.19 | 1.97 | 0.56 | 0.29 |
| s__Streptococcus-2 | 11.94 | 17.00 | 0.80 | 11.65 | 16.00 | 0.77 | –0.41 | 0.78 | 0.60 | 0.83 |
| g__Solobacterium | 14.12 | 15.00 | 0.52 | 14.05 | 14.00 | 0.45 | –0.22 | 0.83 | 0.80 | 0.56 |
| s__Capnocytophaga_sputigena | 8.40 | 16.00 | 0.94 | 8.40 | 15.00 | 0.91 | –0.04 | 1.27 | 0.97 | 0.96 |
| s__Fusobacterium_periodonticum-2 | 15.97 | 20.00 | 0.72 | 15.93 | 19.00 | 0.66 | 0.19 | 0.95 | 0.85 | 0.75 |
| s__Streptococcus-3 | 17.36 | 20.00 | 0.63 | 16.08 | 19.00 | 0.65 | 1.51 | 1.34 | 0.27 | 0.65 |
| s__Haemophilus | 8.52 | 13.00 | 0.81 | 7.46 | 12.00 | 0.83 | 0.60 | 0.58 | 0.32 | 0.83 |
| g__Campylobacter | 18.33 | 16.00 | 0.30 | 15.32 | 15.00 | 0.43 | 0.76 | 0.44 | 0.11 | 0.36 |
| f__Saccharimonadaceae-1 | 14.54 | 16.00 | 0.56 | 12.20 | 15.00 | 0.66 | 1.30 | 0.85 | 0.15 | 0.53 |
| f__Saccharimonadaceae-2 | 31.32 | 22.00 | 0.09 | 31.32 | 21.00 | 0.07 | –0.01 | 0.98 | 0.99 | 0.10 |
| f__Saccharimonadaceae-3 | 8.71 | 15.00 | 0.89 | 8.53 | 14.00 | 0.86 | 0.56 | 1.32 | 0.68 | 0.93 |
Reverse MR analyses showed no notable causal impact of genetic predisposition to PLC on the levels of the 14 previously identified oral microbiota (Table SVII). This absence of reverse causality supports a unidirectional relationship, indicating that these oral microbiotas are likely upstream drivers of PLC pathogenesis rather than downstream consequences of the disease. These results strengthen the validity of the primary causal findings and emphasize the potential biological importance of these microbiotas.
This research utilized a two-sample MR framework, leveraging summary statistics from oral microbiota data in East Asian populations and PLC data from the IEU OpenGWAS, to investigate their causal association. Our results identified seven oral microbial taxa conferring a protective effect against PLC, while seven others were linked to an elevated PLC risk.
Streptococcus species can shape the tumor microenvironment (TME) by modulating immune cells, including T cells and natural killer cells, thereby influencing tumor immune dynamics. Recent research has shown that Streptococcus gallolyticus subsp. gallolyticus (SGG) strain TX20005 drives colorectal tumor growth by promoting epithelial cell proliferation (Kumar et al. 2017). In contrast, specific Streptococcus strains demonstrate inherent anti-tumor properties or stimulate the host immune system to suppress tumor development. Certain bacteria, including Streptococcus, preferentially accumulate and thrive in the hypoxic regions of solid tumors. Additionally, evidence indicates that Streptococcus mutans colonizes oral squamous cell carcinoma (OSCC) tissues in high abundance, triggering kynurenine (KYNA) overproduction through its protein antigen c (PAc). This KYNA excess reshapes the OSCC TME by fostering the expansion of S100A8highS100A9high neutrophils, which elevate interleukin-1β (IL-1β) levels, further enhancing neutrophil infiltration and causing CD8+ T cell exhaustion, thus promoting OSCC progression (Zhou et al. 2024). Bacteria can also be engineered to produce toxins or enzymes for targeted tumor therapy (Marzhoseyni et al. 2022). Compared to healthy individuals, patients with laryngeal cancer exhibit distinct microbial profiles, with increased abundance of Fusobacterium, Prevotella, and Streptococcus (Hut et al. 2025). In line with these observations, our study identified three Streptococcus taxa associated with heightened PLC risk and one Streptococcus taxon linked to reduced PLC risk. These findings underscore the diverse roles of Streptococcus species in PLC development, emphasizing the intricate and multifaceted contribution of oral microbiota to cancer pathogenesis.
Fusobacterium nucleatum, a prominent member of the human oral and gastrointestinal microbiota, plays critical roles beyond its link to periodontal disease. It is associated with disrupting gut microbial balance, inducing tumorigenesis, and influencing the tumor immune microenvironment. Recent evidence indicates that F. nucleatum modifies the intestinal tumor microenvironment to enhance tumor progression, suggesting its potential role in gastrointestinal oncogenesis (Ohsawa et al. 2024). Specifically, F. nucleatum has been linked to laryngeal cancer development through upregulation of YWHAZ expression (Ren et al. 2025). In alignment with these findings, our two-sample MR analysis demonstrated that distinct Fusobacterium taxa exert varying effects on PLC, with certain taxa increasing risk and others conferring protection. The mechanisms driving these contrasting effects remain elusive, highlighting the need for further studies to clarify the specific roles of Fusobacterium taxa in PLC pathogenesis.
Recent research has observed a marked elevation in Saccharimonadaceae abundance, particularly TM7x, in tissues adjacent to cancer, especially in T4-stage tumor patients (Wu et al. 2024). This observation is consistent with our two-sample MR analysis, which indicates that TM7x may contribute to increased PLC risk. Notably, our findings also identified three other Saccharimonadaceae taxa linked to a protective effect against PLC. These contrasting effects suggest that distinct Saccharimonadaceae species may exert varied influences on PLC pathogenesis, possibly through strain-specific interactions with the TME or another oral microbiota, such as Streptococcus or Fusobacterium. The intricate and diverse roles of Saccharimonadaceae in PLC highlight the necessity for further mechanistic studies to clarify their specific contributions and interactions in cancer progression.
This study possesses several significant strengths. It is the first to utilize GWAS data from East Asian populations to examine the causal link between oral microbiota and PLC, marking a novel contribution to the field. Additionally, the reliance on a comprehensive, high-quality GWAS database bolstered the reliability of the established causal associations. Furthermore, our MR analysis pinpointed critical microbial taxa warranting further functional exploration, offering valuable insights into potential therapeutic and preventive approaches targeting specific oral microbiota for PLC management.
However, several limitations warrant consideration. The intricate host-microbiome interactions challenge GWAS-based microbiome studies, particularly in pinpointing causal microbial signatures. The small sample size (300 PLC cases) likely reduced statistical power. Given cancer’s complexity and microbiome variability, larger, diverse datasets are needed to validate findings and strengthen causal inferences. Including more genetic variants as IVs could enhance sensitivity analyses and better detect horizontal pleiotropy. The SNPs used did not meet the standard GWAS threshold (p < 5 × 10−8), and the limited oral microbiota GWAS sample size raises concerns about reproducibility. Omitting multiple testing corrections, due to complex microbial interactions, is a limitation, as such adjustments might obscure true causal links. Future studies should refine statistical methods and pursue larger-scale validation. As GWAS data were from East Asian populations, generalizability to other groups, like Europeans, is limited, necessitating further research across diverse populations.
This study explores the causal link between oral microbiota and PLC through a two-sample Mendelian randomization approach. It highlights seven microbial taxa with protective effects and seven associated with increased PLC risk, elucidating their contributions to disease development. Together, these findings deepen our knowledge on the relationship between oral microorganisms and throat health, and underscore the microbiome’s potential as a novel target for diagnostic and therapeutic advancements in PLC management.