The United States Environmental Protection Agency (EPA) has declared benzene a pervasive contaminant being identified at a large number of sites on the National Priorities List (NPL) (Işinkaralar and Erdem 2022). It has intrinsic resistance to physical and chemical degradation and tends to persist in the environment for a longer time (Varjani et al. 2017). It is a human carcinogen with a half-life of 210 days (Lawrence et al. 2016). Chemical processes like gasoline pyrolysis, catalytic reformers, and toluene hydro-dealkylation contribute to the bulk production of benzene (Syman et al. 2023). Other sources include fossil fuel combustion, accidental spills, toluene hydro-dealkylation, wood combustion, vehicle emissions, and leaks from underground storage tanks (Sun et al. 2023; Wang et al. 2024a). Benzene has no threshold value for carcinogenesis induction (Rana et al. 2021). A wide range of health hazards are associated with benzene, like lymphocytic neoplasms, lymphoid leukemia, non-Hodgkins lymphomas, males associated hematologic malignancies, and lung and bladder cancer (Shala et al. 2023; Wang et al. 2023b; Wan et al. 2024). Exposure to even small concentrations may lead to a fast heartbeat, sleepiness, unconsciousness, tremors, migraines, headache, and dizziness (Högberg and Järnberg 2023).
Environmental benzene decontamination is the greatest challenge in the present era. Various physicochemical techniques, i.e., burning, thermal conversion, landfilling, chemical oxidation and incineration and skimming, dissolution, booming, and dispersion, have been employed so far to remove benzene from soil, air, and water, respectively (Zhu et al. 2009; Lam et al. 2015). Being costly, incapable of complete benzene removal, and cause of land disturbance, these conventional strategies proved insufficient. They are being gradually replaced with the least intrusive and cost-effective alternative, i.e., bioremediation, which can be exploited in different ways like via in situ microbial addition or bioaugmentation (Muter 2023) or accelerating the existing microbes degradative potential through addition of substances that enhance metabolism or biostimulation (Srivastava et al. 2023). Optimization of bioremediation needs de-novo synthesis of benzene-degrading microbial cultures and comprehensive insight into the indigenous microbial communities (Tayyeb et al. 2024).
Various benzene metabolizing bacteria have been explored in literature including Pseudomonas and Hydrogenophaga strains from contaminated aquifer (Fahy et al. 2008), Variovorax sp. from coal-tar contaminated groundwater (Posman et al. 2017), Acidobacterium and Polaromonas sp. from benzene exposed soil (Xie et al. 2011), Cupriavidus metallidurans CH34 (Alviz-Gazitua et al. 2022), Candidatus Nealsonbacteria (Chen et al. 2023), Geobacter metallireducens (Zhang T. et al. 2013), Bacillus cereus (Dou et al. 2010), Ferroglobus placidus (Holmes et al. 2011), Pelotomaculum (Dong et al. 2017), Pseudomonas mendocina KR1, Ralstonia pickettii PKO1 (Tao et al. 2004), Rhodococcus opacus (Na et al. 2005) and Marinobacterium aestuarii ST58-10T (Baek et al. 2018). The majority of these bacteria are slow-growing, exhibit moderate efficiency of benzene degradation, and possess virulence (Mukherjee et al. 2019; Mohammadpour et al. 2020). These limitations are a big hurdle in their application in bioremediation.
Literature has also reported multiple benzene degradation pathways in bacteria, including benzene degradation via benzoate route in Pelotomaculum (Abu Laban et al. 2009), via methylation in Desulfatiglandales (Zehnle et al. 2023), meta cleavage pathway in Ideonella benzenivorans and Pseudomonas putida ML2 (Fong et al. 2000; Bedics et al. 2022) and carboxylation pathway of benzene ring activation in Peptococcaceae family (Luo et al. 2014). Some bacteria oxidize it into catechol, some into homogentistae, and others into 2-naphthol or 3-hydroxyfluorene (Ladino-Orjuela et al. 2016). A recent study reported the degradation of benzene via formation of catechol which might be further degraded via two routes. One involves formation of 2-hydroxymuconate semialdehyde, 2-oxopent-4-enoate, 4-hydroxy-2-oxopentanoate and acetaldehyde. At the same time, the other route follows the formation of cis,cis-muconate, muconolactone, 3-oxoadipate enol lactone, 3-oxoadipate, 3-oxoadipyl-CoA and ultimately acetyl-CoA. This mechanism was seen in uncultivated bacteria of contaminated environments. Same study reported an anaerobic mode of benzene degradation involving the formation of benzoate, benzoyl-CoA, cyclohexa-1,5-diene-1-carbonyl-CoA, 6-hydroxycyclohex-1-ene-1-carbonyl-CoA, 6-oxocyclohex-1-ene-1-carbonyl-CoA, 3-hydroxypimeloyl-CoA, 3-ketopimelyl-CoA, glutaryl-CoA, glutaminyl-CoA, protocol-CoA, (S)-3-hydroxy butanol-CoA, acetoacetyl-CoA, and acetyl-CoA (Zhang et al. 2024).
The tanning process in tannery industries has been categorized as the most polluting activity as it involves using a wide range of persistent organic and inorganic pollutants, including benzene, for skin conversion into leather (Hira et al. 2022). These are also considered the major source of benzene pollution in the environment (Rastogi et al. 2008). Although several sources have been explored in literature, but no one has explored the tannery industries of Southern areas of Pakistan yet.
Despite this diversity in modes of bacterial degradation of benzene, these bacteria cannot be fully exploited because of their slow growth, moderate efficiency of benzene degradation, and virulent nature (Mukherjee et al. 2019; Mohammadpour et al. 2020). They take weeks or even months in complete benzene removal (Mohammadpour et al. 2020; Irshaid et al. 2024). In most cases, the virulence status of bacteria is also unknown, which restricts their exploitation in eco-friendly mode. Current study was designed considering this knowledge gap of benzene degradation associated bacteria and the tannery industry as sources of such microbes. This investigation focused on isolating and characterizing fast-growing and highly efficient benzene-degrading bacteria from soil in the tannery industry. Getting insights into the genomics and metabolomics of these bacteria might equip us with multiple strategies for the environmental decontamination of benzene.
The serial dilution method was employed using a minimal salt medium (MSM) to isolate bacteria. Composition of MSM was KH2PO4, 1 g; Na2HPO4,1.25 g; (NH4)2SO4, 0.5 g; MgSO4, 0.5 g; CaCl2, 0.5 g and FeSO4, 0.005 g/1,000 ml distilled water and 80 μl benzene. Tannery soil (1 g) was suspended in ringer’s solution (10 ml) and kept under shaking conditions (150 rpm, 37°C) overnight. To prepare serial dilutions, overnight incubated Ringer’s solution (1 ml) was added to the tube marked as original. Followed this, solution from this tube (1 ml) was poured into the one marked as 10−1. Dilutions were prepared up to 10−7. These dilutions (200 μl) from each test tube were spread into Petri plates containing MSM medium supplemented with agar and benzene, followed by incubation at 37°C. After 3 days, bacterial colonies appeared. CFUs were calculated as follows;
Following this streaking, the purified colonies were obtained. The purified colonies were preserved in the form of glycerol stocks at –20°C. Each discrete colony was examined for color, elevation, texture, and margins. Gram staining, capsule staining, and spore staining were also performed.
Isolated bacterial cells were cultured and harvested during the log phase. Organic method was used for DNA isolation from the bacterial pellets (Dairawan and Shetty 2020). Genomic DNA of isolated bacteria was extracted from the pellet. PCR was used for the amplification of template 16S ribosomal RNA (rRNA) gene using previously reported primers i.e., forward 5’-AGAGTTTGATCCTGGTCAGAAC-GAACGCT-3’ and reverse 5’-CGTACGGCTACCTT-GTTACGACTTCACCCC-3’ with melting temperatures (Tm) of 70.4°C and 74.8°C, respectively (Muccee et al. 2019). Primers were synthesized from Macrogen Inc. (Republic of Korea). Nine variable and ten constant regions of the gene were targeted. Amplicon size was 1,300 base pairs (bp). The PCR reaction mixture (25 μl) contained 12.5 μl master mix, 1.0 μl forward (F) primer, 1.0 μl reverse (R) primer, 0.5 μl Taq polymerase, 2 μl template DNA and 8.0 μl nuclease-free water. PCR amplification conditions used are as follows: 94°C and 10 min for initial denaturation, 35 cycles of denaturation at 94°C for 30 sec, 65°C and 40 sec for annealing, and 72°C and 30 sec for extension, followed by a final extension at 72°C for 10 min. Agarose gel electrophoresis was performed to confirm the target DNA amplification. Amplified products were analyzed via Sanger Sequencing at Macrogen Inc. Korea (Republic of Korea).
BLASTN analysis (http://blast.ncbi.nlm.nih.gov/blast/Blast.cgi) was used for the interpretation of FASTA sequences, which involved alignment of sequences of present study bacteria with those available at NCBI (National Center for Biotechnology Information) database (Chen et al. 2015; Schoch et al. 2020). Sequences were submitted to the NCBI Genbank database to get the accession numbers assigned. Afterwards, Clustal Omega Multiple Sequence Alignment Algorithm (http://www.clustal.org/mbed.tgz) was consulted to perform multiple sequence alignment of identified bacteria and those retrieved from database for tree construction (Sievers and Higgins 2021). Aligned data was used for phylogenetic tree construction. Tree was constructed via Molecular Evolutionary Genetic Analysis version 11 (MEGA 11) software, considering the bootstrap value of 100 and neighbor joining mode (Tamura et al. 2021).
The bacterial inoculum with 107 cells, i.e., with optical density (OD) = 0.1, was used to inoculate the benzene-supplemented MSM for growth analysis. The bacteria were cultured at 150 rpm and 37°C. Culture was drawn at regular intervals i.e., 0, 3, 6, 24, 27, 30, 48, and 51 h to measure the absorbance or OD600 via spectrophotometer (BioTek Instruments, Inc., USA). To predict the duration of lag, log, static, and death phases in bacteria, growth curves were plotted by taking time and OD600 values along x and y-axis, respectively (Domańska et al. 2019).
For the characterization of bacteria at the biochemical level, the Remel RapID™ NF PLUS System (Thermo Scientific™, Thermo Fisher Scientific, Inc., USA) was employed. A panel ccomprising of cavities with dehydrated substrates was uncovered and inoculated with freshly overnight-grown cultures. Following this, the panel was shaken to uniformly distribute the culture among all the cavities and incubated (37°C for 4 h). After incubation, bacterial response to different substrates was assessed by noting the color change. The observed results were compared with the catalog provided alongwith the kit.
Bacteria were analyzed for nineteen biochemical tests i.e., urease test (URE), arginine dehydrolase test (ADH), ornithine decarboxylase test (ODC), lysine decarboxylase test (LDC), aliphatic thiol utilization test (TET), lipase detection test (LIP), sugar aldehyde utilization test (KSF), sorbitol fermentation test (SBL), β-glucuronidase test (GUR), p-nitrophenyl-β-D-galactosidase (ONPG), p-nitrophenyl-β-D-xyloside hydrolase test (βXYL), β-nitrophenyl-β-D-glucoside (βGLU), p-nitrophenyl-N-acetyl-β-D-glucosamide (NAG), maltose fermentation test (MAL), proline β-naphthylamide (PRO), γ-glutamyl-β-naphthylamide hydrolysis test (GGT), pyrrolidine-β-naphthylamide (PYR), adonitol fermentation test (ADON) and tryptophane fermentation test (IND).
Stock solutions of antibiotics i.e., augmentin, amoxicillin, cephalexin, and cefadroxil were prepared to prepare discs of different conc. i.e., 5 μl, 10 μl and 15 μl. Petri plates were marked to divide them into four quadrants, which were marked as control, 5, 10, and 15 μl. The antibiotic discs with placed in the 5, 10 and 15 μl volume in each labelled quadrant, respectively. Each Petri plate was inoculated with 100 μl bacterial culture. The plates were incubated for 24 h, at 37°C. Zones of inhibition formed in each plate were measured.
The benzene removal potential of bacteria was estimated by measuring the absorbance spectrophotometrically at 180 nm. Media with different known concentrations of benzene i.e., 5, 7.5, 10, 12.5, 15, 17.5, 20, 25, and 30 mg/l were prepared. The value of OD180 of these solutions was measured and the standard curve was plotted. Linear regression analysis was applied and linearity was estimated by measuring the correlation coefficient (R2). Current study bacteria were cultured in MSM supplemented with benzene (40 mg/l) until exponential growth was achieved. The culture was harvested and centrifuged by the end of the log phase. Residual benzene was estimated by measuring OD180 of the supernatant. Standard curve was consulted to estimate the benzene degradation potential of bacteria in mg/l.
MSM broth (500 ml) with 40 μl benzene was prepared and inoculated with 100 μl overnight grown culture to prepare samples for FTIR interpretation. A control, containing only MSM and benzene without inoculation, was used. The flasks were kept under shaking conditions (150 rpm) at 37°C till the exponential growth of bacteria was achieved. The experimental and control flask contents (5 ml) were centrifuged to get the supernatant. Caped the vials and sent them for analysis to the Textile and Polymeric Engineering Department of the University of the Punjab (Pakistan).
Results were obtained in the form of FTIR spectra. Spectral peaks obtained in control and bacterial samples were analyzed for the stretching, bending or any other variations. These variations could help us to identify the change in benzene ring structure induced by bacteria.
Two present study bacteria (PUB1 and PUB4) with optimum benzene degradation potential were selected for the metabolic profiling. These two isolates were cultured individually in MSM medium supplemented with benzene under shaking conditions at 37°C and 150 rpm until exponential growth was achieved.
Extracellular and intracellular metabolites were extracted using a previously reported method (Muccee et al. 2019). Supernatants of isolated bacterial cultures were used as a source of extracellular metabolites and mixed with methanol in equimolar concentration. Centrifugation was performed for 20 min at 4°C at 8,000 rpm. The top layer (10 ml) of supernatant was carefully collected in a glass vial and incubated for a week at 50°C. After evaporation of the solvent, the metabolites extract was achieved.
In case of intracellular metabolites, bacterial pellet was used. The pellet was washed with NaCl solution (0.9%) and resuspended in a mixture of deionized water, chloroform, and methanol (800 μl). Sonication was performed for 1 h at 4°C to optimize the bacterial cell lysis. Centrifugation was performed for 20 min at 10,000 × g to separate intracellular metabolites, resulting in the separation of three layers. The upper and lower soluble parts were comprised of polar and nonpolar metabolites, respectively. Extracts of extracellular and intracellular metabolites were sent to the Textile Testing International Laboratory, Quaid-e-Azam Industrial Estate, Lahore (Pakistan), for GC-MS analysis.
To perform GC-MS analysis Agilent 7890B/5977A (Agilent Technologies, Inc., USA) was used. Parameters considered were inlet temperature (280°C), injection volume (1 μl), DB-5MS 30 m column (dimensions 0.25 mm × 0.25 μm), helium as carrier gas with flow rate (1 ml/min), and oven temperature (50–290°C over a run time of 51.133 min). MS scan mode (35…500) with a solvent delay of 4.8 min was selected to allow the detection of compounds with a specific m/z ratio. Solvent delay ensured the elution of desired analytes before the unwanted peaks.
A consortium comprising an equimolar concentration of DNA extracted from the present study benzene metabolizing bacteria and the xylene and phenol degrading bacteria was constructed in a separate research project to confirm the benzene degrading potential of current study bacteria at the genetic level. Consortium construction was performed according to a previously reported study (Muccee and Ejaz 2020). This consortium was analyzed via whole genome sequencing (WGS) at Macrogen Inc. Korea (Republic of Korea). The fastq files obtained were submitted to NCBI Sequence Read Archives (SRA), and an accession number was assigned. The bioinformatics analysis was performed to identify the genes and pathways involved in the breakdown of these compounds. The detailed pipeline involved in in-silico analysis is shown in Fig. S1.
Soil samples from two tannery industries were processed for the isolation of benzene-degrading bacteria. Initially, sixty-four colonies were picked and subjected to growth curve analysis. Five bacteria (Fig. S2) with the fastest growth rate were selected for further characterization.
Genomic DNA extracted from bacterial isolates and PCR amplicons were resolved on agarose gel. A total of five benzene-metabolizing bacteria were isolated. These showed top BLAST sequence homologies with Paracoccus aestuarii, Bacillus tropicus, Bacillus albus, Bacillus subtilis and B. cereus, respectively (Table SI). Strains of these bacteria were named PUB1, PUB2, PUB3, PUB4, PUB5, and PUB6, respectively. PU is an abbreviation of the University where research was performed, and B stands for benzene. The numbers 1, 2, 3, 4, and 6 showed the sequence of bacterial isolation. Accession numbers assigned to the present study bacteria are as follows: OR272055 (P. aestuarii PUB1), OR272056 (B. tropicus PUB2), OR272059 (B. albus PUB3), OR272058 (B. subtilis PUB4) and OR272060 (B. cereus PUB6).
The evolutionary tree constructed for the present study bacteria is shown in (Fig. 1). According to this analysis, P. aestuarii PUB1 and B. albus PUB3 were closely related to B. albus strain HBUAS6748 via bootstrap values of 30 and 100, respectively. B. tropicus PUB2 shared the same clade with B. tropicus strain ISP161A through a bootstrap value of 23. B. subtilis PUB4 showed relatedness with B. subtilis strains YBS29 and BS01 via bootstrap value of 99. B. cereus PUB6 shared the same clade with B. cereus strains JRHM27 and RTKS through strong bootstrap value of 100.

Phylogenetic tree constructed for present study bacteria using MEGA11 software.
Three bacteria P. aestuarii PUB1, B. tropicus PUB2, and B. albus PUB3 were isolated from sample I with CFUs 4.75 × 103, 9.9 × 103, and 1.4 × 104 per ml, respectively. Two bacteria B. subtilis PUB4 and B. cereus PUB5 were isolated from sample II with CFUs 3.2 × 102 and 6 × 102 per ml, respectively.
Isolated bacterial color, shape, margins, elevation, and texture were documented (Table SII and Fig. S3). All bacterial strains were Gram-positive except P. aes-tuarii PUB1. Only B. tropicus PUB2 and B. albus PUB3 were capsulated while the rest were non-capsulated. The B. albus PUB3, B. subtilis PUB4 and B. cereus PUB6 were spore forming bacteria.
All bacteria were fast-growing, with the log phase starting at 23 h in B. tropicus PUB2 and 25 h in P. aestuarii PUB1, B. albus PUB3, B. subtilis PUB4, and B. cereus PUB6. P. aestuarii PUB1, B. subtilis PUB4 and B. cereus PUB6 exhibited longer exponential phases i.e., 25–47 h. In PUB1, B. subtilis PUB4, and B. cereus PUB6, the stationary phase started at 48 h and lasted for 3 h and 1 h, respectively (Fig. 2).

Growth curve analysis of present study benzene degrading bacteria.
P. aesturii PUB1, B. albus PUB3, and B. cereus PUB6 showed the same results for biochemical analysis and were positive for ADH, ODC, LDC, TET, LIP, KSF, SBL, PRO, GGT, PYR and ADON. B. tropicus PUB2 and B. subtilis PUB4 showed different biochemical characteristics. Positive response for TET, LIP, KSF, SBL, PYR, and ADON was recorded in B. subtilis PUB4. While B. tropicus PUB2 was positive for ODC, LDC, LIP, KSF, SBL, GUR, PRO, GGT, PYR and ADON (Table SIII and Fig. S3).
Present study isolates showed sensitivity to all four antibiotics except B. subtilis PUB4, which was resistant against and amoxicillin at a concentration of 5 μl and 10 μl. Zones of inhibitions in all four strains were recorded (Table SIV) and compared. In the case of cephalexin and cephadroxil, the highest zone was observed in P. aesturii PUB1 and B. subtilis PUB4. i.e., 4 and 3.4 mm, respectively. B. tropicus PUB2 exhibited the highest zone of inhibition for augmentin (2.9 mm) and amoxicillin (2.4 mm).
Benzene removal efficiencies of present study bacteria were assessed using the standard curve (Fig. S4) plotted between known concentrations of benzene stock solution versus OD180 as maximum UV absorption of benzene occurs at 180 nm. The efficiencies were estimated as P. aesturii PUB1 (31 mg/l per 47 h), B. tropicus PUB2 (30 mg/l per 25 h), B. albus PUB3 (34 mg/l per 47 h), B. subtilis PUB4 (32 mg/l per 47 h) and B. cereus PUB6 (31 mg/l per 47 h).
Compared with the control, P. aesturii PUB1 and B. cereus PUB6 FTIR spectra showed significant changes in the peaks throughout the spectra (Table I). While B. tropicus PUB2 and B. albus PUB3 showed shifting of peaks in the regions of 400–750 cm−1, 1000–1900 cm−1, 2200–2500 cm−1 and 3000–3800 cm−1 (Fig. 3). Sharp predominant peaks in FTIR spectra were observed that reflected the metabolites identified through GC-MS spectra i.e., for toluene peaks at 1452 cm−1 (asymmetric stretching frequency of C=C), 2851 cm−1 and 2920 cm−1 (stretching vibrations of = C–H and –C–H), were observed. In case of benzyl alcohol peaks at 3427 cm−1 (O–H stretching), 3010 cm−1 (unsaturated C–H) and 2900 cm−1 (saturated C–H stretching), benzaldehyde peaks at 1637–1733 cm−1 (C=O stretching vibrations), benzoate peaks at 3427 cm−1 (–OH stretching) and 1271 cm−1 (C–O–C bonds stretching), catechol peaks at 3427 cm−1 (OH stretching), 1658 cm−1 (C=C stretch), 1250 and 1281 cm−1 (C–O stretch vibrations), 746 and 850 cm−1 (out of plane bending of = C–H bond of aromatic ring), cis-1,6-dihydroxy 2,4-cyclohexadiene-1-carboxylic acid peak at 2,800–3,300 cm−1 (C-H bond stretching), phenol peaks at 3427 cm−1 (OH bond stretch) and 1650 cm−1 (C=C stretch), cis, cis-muconate peaks at 1540–1650 cm−1 (asymmetric stretching vibrations of CO2−) and 1360–1450 cm−1 (symmetric stretch of CO2−), 3-oxoadipate enol lactone and 3-oxoadipate peaks at 1637–1733 cm−1 (C=O stretch vibrations) and 3427 cm−1 (OH stretching) and palmitate 685 and 723 cm−1 (-OH swinging vibrations), 939 cm−1 (–OH out-plane stretch vibrations) and 1299 cm−1 (–OH in-plane stretching), 2848 cm−1 (–CH2 symmetrical stretching), 2913 cm−1 (–CH3 symmetrical stretch vibrations), 1695 cm−1 C=O stretch vibrations, and 1464 cm−1 (–CH2 and –CH3 deformation vibrations).

Comparison of FTIR spectra of control and present study benzene degrading bacteria to analyze the variation of the peaks contributed by bacterial benzene degradation.
A) Control, B) Paracoccus aestuarii PUB1, C) Bacillus tropicus PUB2, D) Bacillus albus PUB3, E) Bacillus subtilis PUB4, F) Bacillus cereus PUB6.
Metabolites identified in the present study bacteria, through comparison of m/z ratios of GC-MS spectra with molecular weights of earlier reported benzene degradation metabolites.
| Metabolite identified | Metabolites unidentified | PUB4 | PUB1 | Fragmentation ion m/z | Molecular weight (M/w) | FTlR spectral peaks (cm−1) |
|---|---|---|---|---|---|---|
| Benzene methylation pathway | ||||||
| Toluene | cis-benzoate dihydrodiol, cis-benzene dihydrodiol | I | I | 39,51,65, 77, 91,92 | 92.14 | 1452 (aromatic deformation), 2851 and 2920 (=C–H and –C–H) |
| Benzyl alcohol | I | 65, 77, 79,91, 107, 108 | 108 | 3427 (OH), 3010 (unsaturated CH), 2900 (saturated CH) | ||
| Benzaldehyde | I | I | 29, 39,51,52, 77, 78, 105, 106 | 106 | 1637–1733 (C=O vibs) | |
| Benzoate | I | I | 176, 121,93, 77, 65 | 121 | 3427 (OH), 1271 (C-O-C stretching) | |
| Catechol | I | I | 81,66, 53, 110 | 110 | 3427 (OH), 1658 (C=C), 1250 and 1281 (C-O), 746 and 850 out of plane bending of =C–H bond of aromatic ring | |
| Benzene degradation via benzaldehyde | ||||||
| Benzyl alcohol | benzoate, bcnzoyl-CoA, acetyl CoA | I | I | 65, 77, 79,91, 107,108 | 108 | 3427 (OH), 3010 (unsaturated CH), 2900 (saturated CH) |
| Benzaldehyde | I | I | 29, 39,51,52, 77, 78, 105, 106 | 106 | 1637-1733 (C=O vibs) | |
| Benzene degradation via carboxylation | ||||||
| Benzoate | I | I | 176, 121,93, 77, 65 | 121 | 3427 (OH), 1271 (C–O–C stretching) | |
| cis-1,6-dihydroxy-2,4-Cyelohexadiene-1-Carboxylie acid | I | I | 44, 73, 149 | 156 | 2800-3300 (C–H stretch) | |
| Catechol | I | I | 81,66, 53 | 110 | Same as above | |
| Benzene degradation via phenol | ||||||
| Phenol | I | I | 17, 38, 39, 40, 63, 65, 77, 93, 94 | 94 | 3427 (OH), 1650 (C=C stretch) | |
| Catechol | I | 1 | 81,66, 53, 110 | 110 | Same as above | |
| β-ketoadipate pathway | ||||||
| Catechol | 3-oxoadiphyl CoA, succinyl CoA, succinate, fumarate | I | I | 81,66, 53, 110 | 110 | Same as above |
| cis,cis-muconate | I | --- | 77, 106, 122, 126, 138, 171, 195, 228 | 126 | 1540–1650 (asymmetric stretch of CO2-), 1360–1450 (symmetric stretch of CO2-) | |
| 3-oxoadipatc enol lactone | I | --- | 1637–1733 (C=O vibs), 3427 (OH), | |||
| 3-oxoadipate | I | --- | 40.44, 73, 84, 87, 101, 114, 115, 160 | 160 | 1637–1733 (C=O vibs) | |
| Palmitate | I | I | 41,43, 57, 73, 89, 99, 117, 127, 141, 169, 183, 201,215, 229, 239, 257, 271,285,299, 313 | 255 | 2848 and 2913 (–CH3 and –CH2 vibs), 1695 (C=O), 1464 (–CH2 and –CH3), 939 (–OH out plane vibs) and 1299 (–OH in-plane vibs), 723 and 685 (–OH swinging vibs) | |
Among the present study bacteria, isolates with efficient benzene degradation (P. aesturii PUB1 and B. subtilis PUB4) were selected for GC-MS-based profiling. Fifty-five compounds were identified based on the comparison of GC-MS spectra obtained with the NIST library (Fig. S5) and the comparison of m/z ratios of spectral peaks with masses of benzene degradation intermediates and products reported in the literature (Fig. S6). They included the metabolic intermediates of the benzene methylation pathway, benzene degradation via benzaldehyde, carboxylation, and phenol pathway and β-ketoadipate pathway. Pathways involving the formation of these intermediates are shown in Fig. 4 and 5. In addition to these compounds, some other metabolic intermediates were also identified and given in Table SV.

Four pathways of benzene metabolism suggested in benzene-degrading bacteria in the present study based on GC-MS based identification of metabolites.
A1 – benzyl alcohol dehydrogenase, B1 – benzaldehyde dehydrogenase, C1 – benzoate CoA-ligase, D1 – benzoyl-CoA 2,3-dioxygenase, A2 – methyl monooxygenase, B2 – benzoyl alcohol dehydrogenase, C2 – benzaldehyde dehydrogenase, D2 – benzoate 1,2-dioxygenase, E2 – dihydrocyclohexadiene carbohydrate dehydrogenase, A3 – benzoate dioxygenase, B3 – benzoate cis-diol dehydrogenase, A4 – benzene phenol monooxygenase

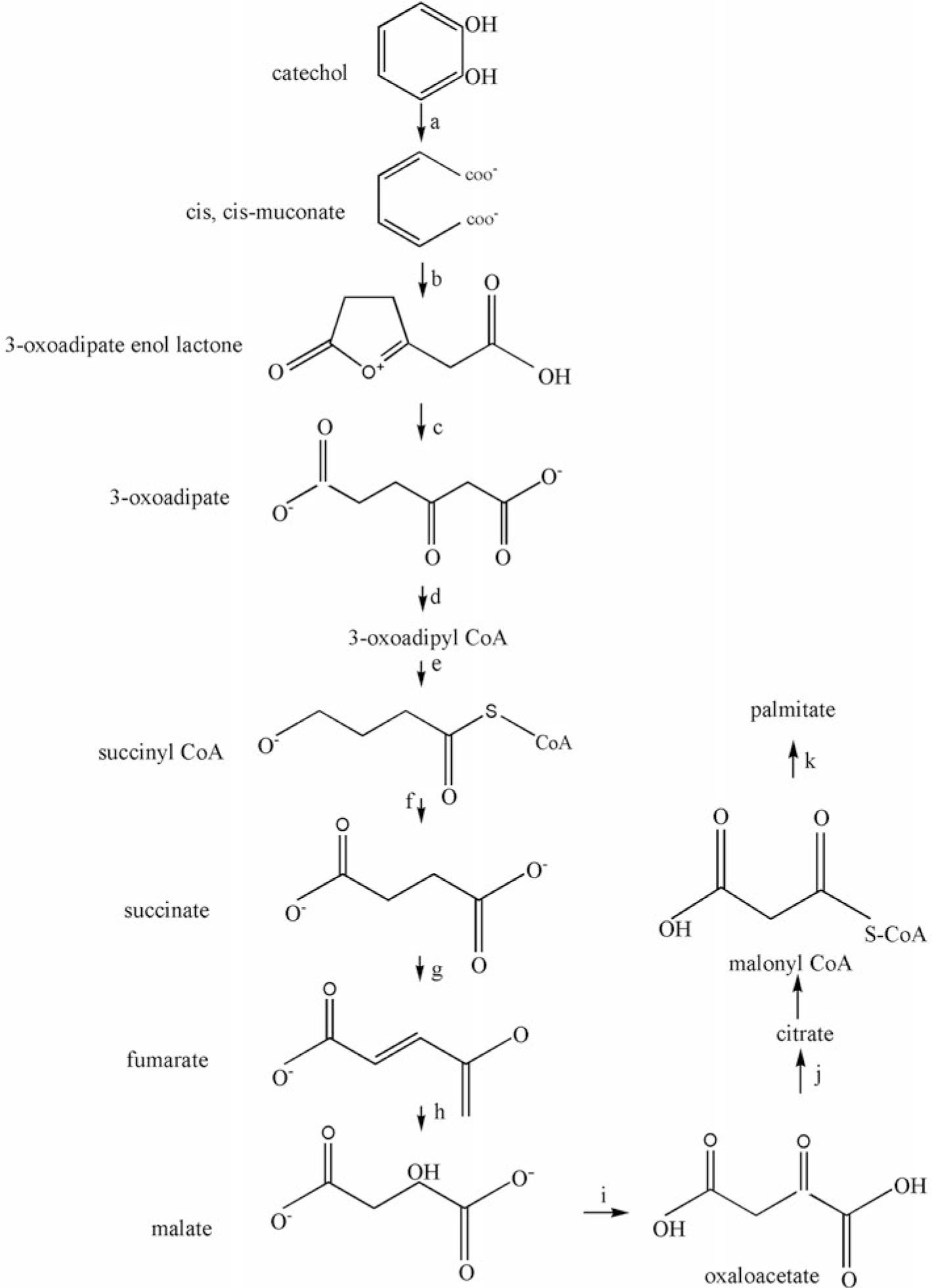
The β-ketoadipate pathway suggested in the present study benzene degrading bacteria based on GC-MS based identification of metabolites involving this pathway.
a – catechol 1,2-dioxygenase, b – muconate cycloisomerase, c-d – beta-ketoadipate:succinyl CoA transferase, e – succinyl CoA:acetyl CoA C-succinyl transferase, f – succinyl-CoA synthetase, g – succinic dehydrogenase, h – fumarase, i – malate dehydrogenase, j – citrate synthase, k – fatty acid synthase
WGS analysis of the present study bacterial consortium predicted their taxonomic composition. Assigning taxonomic labels to metagenomic contigs showed that 75% of contigs belonged to the genus Bacillus. This is consistent with the ribotyping analysis results of the present study, as out of five isolates, four belonged to Bacillus.
benzoate/toluate 1, 2-dioxygenase subunit alpha [EC:1.14.12.10], dihydroxycyclohexadiene carboxylate dehydrogenase [EC:1.3.1.25], catechol 1,2-dioxygenase [EC:1.13.11.1], muconate cycloisomerase [EC:5.5.1.1], muconolactone D-isomerase [EC:5.3.3.4], 3-oxoadipate enol-lactonase [EC:3.1.1.24], 3-oxoadipate CoA-transferase, alpha subunit [EC:2.8.3.6], acetyl-CoA acyltransferase [EC:2.3.1.16], 3-oxoadipyl-CoA thiolase [EC:2.3.1.174], catechol 2,3-dioxygenase [EC:1.13.11.2], 2-hydroxymuconate-semialdehyde hydrolase [EC:3.7.1.9], 2-keto-4-pentenoate hydratase [EC:4.2.1.80], 4-hydroxy 2-oxovalerate aldolase [EC:4.1.3.39], acetaldehyde dehydrogenase [EC:1.2.1.10], protocatechuate 3,4-dioxygenase, alpha subunit [EC:1.13.11.3], 3-carboxy-cis, cis-muconate cycloisomerase [EC:5.5.1.2], 4-carboxymuconolactone decarboxylase [EC:4.1.1.44], 3-hydroxybenzoate 6-monooxygenase [EC:1.14.13.24]. Fastq files of WGS sequencing analysis were submitted in SRA NCBI database, under the accession number PRJNA976120.
In the present study, five benzene-degrading bacteria were isolated and analyzed for the prediction of their biochemical, molecular, and bioremediation potentials. Four of these bacteria were Gram-positive, consistent with earlier explored benzene metabolizing Gram-positive bacteria (Abu Laban et al. 2009; Lazaroaie 2010; Atashgahi et al. 2018). The finding of one Gram-negative bacteria was also reported by some of the benzene degraders in the literature (Lăzăroaie 2010; Varma et al. 2015). The present investigation is the first work that explored the spore and capsule staining characteristics of these types of bacteria.
Data about the biochemical characteristics of benzene-metabolizing bacteria is also scarce in the literature. This research describes for the first time the presence of pyrrolidine-β-naphthylamidase, lipase, aldosugars hydrolyzing enzymes, γ-glutamyl-β-naphthylamidases, and adonitol hydrolyzing enzymes in these types of bacteria.
Exponential growth in the present study bacteria started at 23 h (B. tropicus PUB2) and 25 h (P. aestuarii PUB1, B. albus PUB3, B. subtilis PUB4 and B. cereus PUB6), which is showing their fast-growing potential in the presence of benzene. Only a few earlier reported bacteria exhibited this much growth rate (Irshaid and Jacob 2016). However, most of the already explored bacteria are slow growing, with their log phases starting after one week (Meckenstock et al. 2016), taking weeks for benzene degradation like Marinobacter sp. (Nicholson and Fathepure 2004). Hence, bacteria explored in this investigation are much better in terms of growth rate than most previously reported bacteria. The highest OD600 value reported in the literature for benzene meta-bolizers is 0.8–0.9 (Zhang et al. 2014). In the present work, P. aestuarii PUB1 and B. cereus PUB6 also showed consistent values of OD600, while the remining three isolates showed maximum absorbance from 0.5–0.7.
Antibiotic sensitivity profiling performed in the present work revealed resistance against amoxicillin and augmentin in only B. subtilis PUB4. At the same time, the rest of the bacteria were devoid of resistance against all four antibiotics used. These resistant bacteria can be used as a whole cell for safe benzene bioremediation. However, the virulence of these bacteria can be further confirmed through detection of virulence genes. Green remediation exploits only eco-friendly microbes that are non-resistant to antibiotics and don’t have virulence genes.
Benzene degradation by the bacteria in the present study was confirmed via FTIR analysis. All the bacteria showed new peaks in spectra at 3000–3500 cm−1 in all isolates, 1100–1800 cm−1 region in PUB6, and 1020 to 1018 cm−1 in PUB1, PUB2, PUB3, and PUB4. The appearance of new peaks in these regions reflected stretching vibrations of C-H and C=C bonds of the benzene ring (https://webbook.nist.gov/cgi/inchi?ID=C71432&Type=IR-SPE&Index=2). These FTIR spectral peaks helped us to identify the toluene, benzaldehyde, benzoate, catechol, phenol, benzyl alcohol, cis, cis-muconate, 3-oxoadipate enol lactone, 3-oxoadipate and palmitate as intermediates of benzene. These spectral peaks have been validated through consulting the previous literature (Aktaş et al. 2003; Kaur and Dhiman 2011; Anantharaj et al. 2015; Smith 2017; 2018a; 2018b; Krishna et al. 2020).
GC-MS-based metabolite identification reflected benzene degradation by PUB1 and PUB4 via the formation of phenol and benzaldehyde and carboxylation and methylation of the benzene ring. Identification of phenol and benzoate in the present study bacteria has also been reported as a metabolite of benzene degradation in Dechloromonas strain RCB (Chakraborty and Coates 2005). The route of benzene degradation via phenol formation is by the pathway reported in G. metallireducens and Pseudoxanthomonas spadix BD-a59 (Zhang et al. 2013). According to this pathway, benzene is converted into phenol in the presence of benzene phenol monooxygenase. Following this, phenol is converted into catechol, which enters the β-ketoadipate pathway. Another mechanism for the conversion of catechol into acetyl-CoA has also been reported, which involves the formation of 2-hydroxy malonic semialdehyde, 2-hydroxymuconate, 2-oxo-3 hexenedionate, 2-hydroxypenta-2,4-dienoate, (S)-4-hydroxy-2-pentanoate and acetaldehyde. Stoichiometry of this pathway is discussed as below.
Benzene degradation via the methylation pathway has also been reported in Alcaligenes xylosoxidans y234. According to this pathway, benzene is initially transformed into toluene. Toluene is further converted into benzyl alcohol, benzaldehyde, benzoate, cis-benzoate dihydrodiol, and ultimately into catechol by the action of enzymes methyl monooxygenase, benzoyl alcohol dehydrogenase, benzaldehyde dehydrogenase, benzoate 1,2-dioxygenase and dihydrocyclohexadiene carbohydrate dehydrogenase, respectively. The stoichiometry of pathway is as follows:
Benzene catabolism through the carboxylation pathway involves the formation of benzoate as an intermediate, which is further cleaved into cis-1, dihydroxy acid. Following this, benzoate cis-diol dehydrogenase catalyzes the conversion of cis-1, dihydroxy acid into catechol. This pathway has also been reported in Pep-tococcaceae and Azoarcus strains of benzene degraders (Luo et al. 2014).
In addition to these pathways, another mechanism for benzene degradation was identified, which involved the formation of benzaldehyde. This pathway is consistent with the one reported in earlier explored bacteria (Jothimani et al. 2003). According to this pathway, benzene is first converted into benzyl alcohol, which is then transformed into benzaldehyde by benzyl alcohol dehydrogenase. Afterwards, benzaldehyde is transformed into benzoate followed by benzoyl-CoA formation in the presence of enzymes benzaldehyde dehydrogenase and benzoate CoA-ligase, respectively. Benzoyl-CoA is then converted into acetyl-CoA in the presence of benzoyl-CoA 2,3-dioxygenase. The acetyl-CoA then enters into Krebs cycle. The catechol produced enters the central carbon metabolism via the β-ketoadipate pathway. Some intermediates of this pathway, including cis,cis-muconate, 3-oxo adipate enol lactone, and 3-oxo adipate, were identified in the present study bacteria. According to this pathway, catechol is converted into cis,cis-muconate followed by the formation of 3-oxoadipate enol lectone, 3-oxoadipate, 3-oxoadipyl-CoA, succinyl-CoA, succinate, fumarate, malate, oxaloacetate, citrate, malonyl-CoA and palmitate in the presence of enzymes catechol 1,2-dioxygenase, muconate
This pathway for transforming catechol into fatty acid has been reported in the literature on Acinetobac-ter baumannii and Pseudomonas aeruginosa (Breisch et al. 2022).
The present study identified and assessed the benzene degrading potential of bacteria under in-vitro conditions. Degradation potential was investigated by culturing bacteria in MSM supplemented with benzene as the only carbon source, benzene removal assay, FTIR and GC-MS-based analysis. Pathways involved have also been confirmed at metabolic and genetic levels. B. tropicus PUB2 was found to exhibit the highest removal efficiency. The bioremediation potential of these isolates can be fully exploited commercially by getting insight into the optimum values of physical factors involved, like temperature, pH, pollutant concentration, and oxygen content. Pathogenicity status can be investigated for safe recommendations of isolates for green remediation. Genes of these bacteria can be identified and cloned in eco-friendly expression systems for green bioremediation.