
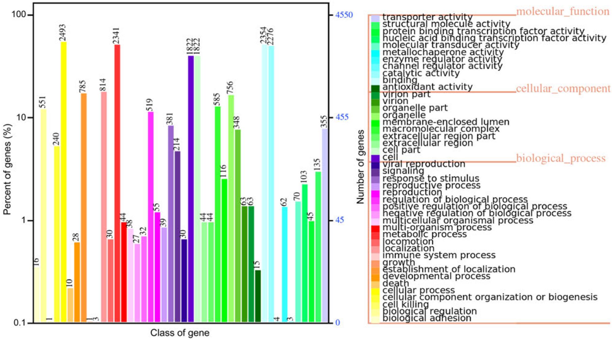
Fig. 1.

Fig. 2.

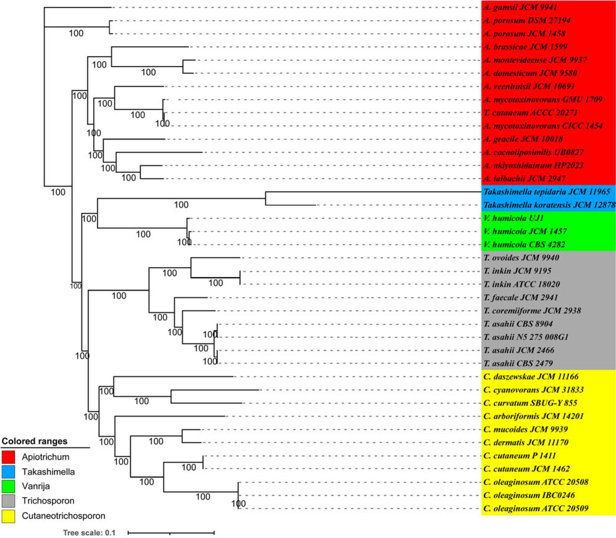
Fig. 3.

Fig. 4.

Fig. 5.

Fig. 6.


Antifungal susceptibility of Apiotrichum cacaoliposimilis UB0827_
| Antifungal susceptibility (MICs, μg/ml) | ||||||||
|---|---|---|---|---|---|---|---|---|
| 5FC | AMB | FLU | POS | VOR | ITZ | ANID | MICA | CASP |
| 2 | 0.5 | 2 | 0.06 | 0.06 | 0.12 | 8 | 8 | 8 |
The following are the different/important biochemical reactions between strains Apiotrichum cacaoliposimilis UB0827, ATCC® 20505™ and Apiotrichum mycotoxinovorans GMU1709_
| Biochemical reaction | Strain | ||
|---|---|---|---|
| UB0827 | ATCC® 20505™ | GMU1709 | |
| L-lysine-arylamidase | − | + | − |
| Erythritol assimilation | − | − | − |
| Glycerol assimilation | − | + | + |
| β-N-Acetyl-glucosaminidase | − | + | + |
| Arbutin assimilation | − | + | − |
| Methyl-α-D-glucopyranoside assimilation | − | + | − |
| D-Raffinose assimilation | − | − | + |
| PNP-N-acetyl-β-D-galactosaminidase 1 | − | − | + |
| D-Melibiose assimilation | − | D | + |
| D-Melezitose assimilation | − | + | − |
| L-Sorbose assimilation | − | + | − |
| Xylitol assimilation | − | + | − |
| D-Sorbitol assimilation | − | / | + |
| Urease | + | + | + |
| D-Trehalose assimilation | + | + | + |
| Nitrate assimilation | − | + | + |
| D-Galacturonate assimilation | + | − | + |
| Esculin hydrolysis | − | / | + |
| DL-Lactate assimilation | + | − | + |
| Citrate (sodium) assimilation | − | D/W | + |