The urinary tract infections (UTIs) caused by various Candida spp. have been recognized by clinicians to be a growingly extensive and pervasive nosocomial issue (Bukhary 2008). It has been estimated that Candida spp. are in charge of about 10–15% of nosocomial UTIs (Alkilani et al. 2017). The presence of Candida in urine, a medical condition known as candiduria (Alkilani et al. 2017), if not correctly treated, might result in considerable morbidity and mortality rates (Goyal et al. 2016). Observational studies have particularized Candida albicans to be the most prevalent etiologic agent detected in more than 51% of candiduria cases, followed by Candida glabrata as well as Candida tropicalis (Bukhary 2008). Many risk factors predispose to the occurrence of candiduria, for instance, immunosuppressive therapy, extremes of age, underlying genitourinary abnormality, female sex, prior surgeries, indwelling urinary catheters, diabetes mellitus, recent use of broad-spectrum antibiotics, as well as the prolonged hospital stay (Bukhary 2008; Alhussaini et al. 2013; Hassaneen et al. 2014).
In Egypt, the contribution of Candida spp. to UTIs is alarmingly increasing reflecting a problem that might be described as nationwide. In Alexandria, located on the Mediterranean coast in North Egypt, a study measuring the incidence rate of catheter-associated urinary tract infections (CAUTIs) in four intensive care units (ICUs) in Alexandria University hospitals from 2007 to 2008 encountered Candida spp. in 51% of the examined urine cultures (Talaat et al. 2010). In the capital and southern governorates, 20% of renal failure patients visiting the University hospitals of Cairo, Assiut and Sohag in 2012 were suffering from candiduria (Alhussaini et al. 2013). In the eastern part of the Nile delta, a study conducted on 300 hospitalized patients in Zagazig University hospitals, from 2012 to 2013, revealed a candiduria prevalence of 14% in these patients (Hassaneen et al. 2014). The situation in Menofia, another Delta governorate, was almost similar where candiduria infection was reported among 19% of catheterized ICU patients in its University hospitals, from 2013 to 2014 (Alkilani et al. 2017). As the resistance of different Candida spp. towards different antifungal agents is proceeding to develop and expand, new treatment trends are extensively necessitated (Spampinato and Leonardi 2013). Unfortunately, developing novel antifungal agents is an extremely complicated and difficult task. Thus, an alternative approach nowadays focuses on the combination of conventional antifungal agents with non-antifungals (Lu et al. 2018).
Aminoglycosides are natural or semisynthetic antimicrobials and are one of the first agents to be used for routine clinical practice (Krause et al. 2016). They are bactericidal agents exerting their effect during the translation process through the interference with the correct decoding of the mRNA (Chiem et al. 2016). They are active against Gram-negative bacteria like Pseudomonas spp., members of the Enterobacteriaceae family, and could be combined with beta-lactams to treat Gram-positives infections (Chiem et al. 2016). Amikacin is the most widely used semisynthetic aminoglycoside that can be used alone or with other antibiotics to treat infections caused by aerobic Gram-negative bacteria, Nocardia species, and Mycobacterium tuberculosis, and has a particular significance in the treatment of several life-threatening infections disseminated among neonates (Ramirez and Tolmasky 2017).
Over the past decades, substantial attempts have been made to explore novel antimicrobial activities of aminoglycosides, for example, their antifungal effect (Lu et al. 2018). However, until now, the data concerning the enhancement of conventional antifungal agents’ activity in combination with amikacin against Candida spp. has not been reported.
The current study aimed at the investigation of the activity of amikacin against Candida spp. isolates causing UTIs in the patients admitted to the Alexandria Main University Hospital (AMUH) in Egypt. It also focused on elucidating the role of amikacin as a resistance-modifying agent that might help in increasing the susceptibility of resistant strains to one of the most frequently used antifungal agents, fluconazole. Moreover, the underlying mechanisms of amikacin sensitization of Candida isolates to fluconazole were studied.
Clinical isolates and culture conditions. Twenty-eight non-replicated clinical isolates of Candida spp. were collected from the urine culture of patients submitted to “AMUH” through the hospital’s routine laboratory facility during October 2018. These isolates were numbered from C1 to C28. In addition, the standard strain of C. albicans ATCC 231GI was included in this study.
All isolates were preserved as frozen stocks in 15% glycerol at –20°C. A fresh culture was obtained by subculturing the isolates on Sabouraud dextrose agar (SDA) (LAB M, UK) for 48 h at 37°C before use.
Antimicrobial agents. Amikacin (Advomikacin® 500 mg/2 ml, Advocure, Egypt) was purchased from community pharmacies, while fluconazole was obtained from Sigma Aldrich, USA. Stock solutions of both amikacin and fluconazole were prepared in sterile distilled water.
Identification of Candida spp. isolates to the species level. The Tween 80 opacity test. For the preparation of the Tween 80 opacity test medium, 10 g of bacteriological peptone (LAB M, UK), 0.1 g of CaCl2, 5 g of NaCl, and 15 g of agar were added to 1,000 ml of distilled water. After autoclaving, the medium was allowed to cool to approximately 50°C; then, 5 ml of previously autoclaved Tween 80 (Guangzhou Jinhuada Chemical Reagent Co., China) was added. Few colonies of an overnight culture of each of the tested isolates grown on SDA were subcultured to the Tween 80 opacity test medium, using sterile cotton swabs, to form an inoculation site of about 10 mm in diameter. The plates were incubated for up to 10 days at 37°C. The isolates tested were inoculated in duplicate. The detection of a halo around the site of the inoculation was recognized as a positive result that indicated the capability of Candida isolates to produce an esterase (Aktas et al. 2002).
Germ tube formation test. Two or three colonies of each of the isolates tested were inoculated into 0.5 ml of sterile trypticase soy broth (HIMEDIA, India), dispensed in a sterile Eppendorf, and then, incubated at 37°C for 2–3 hours. After incubation, few drops of the suspension were transferred to a clean microscopic slide for examination under a magnification of 100 × for the detection of germ tube (Deorukhkar et al. 2012). A positive control (C. albicans ATCC 231GI) was included in the experiment.
Identification of non-albicans Candida isolates using the Vitek-2 system. The Vitek-2 system (Kaur et al. 2016) (Vitek® 2 Compact, BioMerieux, France) was used to confirm the identity of the non-albicans Candida isolates according to the manufacturer’s instructions.
Determination of virulence determinants among Candida spp. isolates. Biofilm formation. Biofilm formation was assayed according to Pongracz et al. (2016) with some modifications. Candida spp. isolates were grown on SDA plates at 37°C for 24 h. A suspension of each isolate at a density of 2 × 106 cells/ml was prepared in sterile saline. Then, 100 μl of the cell suspension was placed in each well containing 100 μl of sterile double strength RPMI 1640 medium (Sigma Aldrich, USA) buffered with morpholine propane sulfonic acid (MOPS) (Sigma Aldrich, USA). After 48 h incubation at 37°C, the planktonic cells were discarded and the wells were properly washed twice with saline. Biofilms were stained with 100 μl of crystal violet dye (0.2%) for about 15 min. The excess dye was washed and 100 μl of ethanol was added to each well to solubilize the bound dye (Pongracz et al. 2016). The absorbance was measured at 630 nm. Each isolate was tested in triplicate. The optical density of each strain (ODs) was calculated as the mean value of the absorbance of 3 wells and this value was then compared with the absorbance of negative control (ODnc) (containing 100 μl of saline instead of bacterial inoculum). The results were interpreted as follows: strong biofilm formation (4 ODnc < ODs), moderate biofilm formation (2 ODnc < ODs ≤ 4 ODnc), weak biofilm formation (ODnc < ODs ≤ 2 ODnc) and no biofilm formation (ODs ≤ ODnc) (Rodrigues et al. 2010).
Production of proteinase enzymes. The production of proteinase enzymes was detected using bovine serum albumin medium (2% dextrose, 0.05% MgSO4, 0.1% KH2PO4 and agar 2% mixed after autoclaving and cooling to 50°C with bovine serum albumin (MP Biomedicals, USA) at a concentration of 1%). Aliquots of 20 μl of each of the Candida isolate’s suspension (at a density of 108 cells/ml) were inoculated into previously punched cups in the serum medium. The plates were incubated for six days at 37°C. The precipitation zone (Pz) value was calculated as the ratio of the diameter of the cup to the total diameter of the cup plus the precipitation zone. The results expressing the enzymatic activity were interpreted as follows: Pz value = 1 (negative); Pz value = 0.75 – 0.9 (low producers); Pz value = 0.51 – 0.74 (moderate producers); and Pz value = 0.35 – 0.5 (high producers). The test was performed in duplicate and the average of two measurements was recorded (Mohan Das and Ballal 2008; Mattei et al. 2013).
Production of the phospholipase enzyme. Phospholipase activity was tested using egg yolk agar medium consisting of SDA, 0.005 mol CaCl2, 1 mol NaCl and 8% sterile egg yolk emulsion (HIMEDIA, India). The egg yolk emulsion was centrifuged; the supernatant was completed to its initial volume with sterile distilled water and added to the sterilized medium (Fotedar and Al-Hedaithy 2005). Aliquots of 20 μl of each of the Candida isolate’s suspensions (at a density of 106 cells/ml) were inoculated into previously punched wells in the solid medium. The plates were incubated for 48 h at 37°C. The results expressing the enzyme activity were interpreted as follows: Pz = 1 (no enzyme activity), 0.63 < Pz < 1.0 (moderate enzyme activity), and Pz < 0.63 (strong enzymatic activity) (Wiebusch et al. 2017).
Determination of the minimum inhibitory concentrations (MICs) of fluconazole and amikacin against Candida spp. isolates. The MICs of both amikacin and fluconazole against all the isolates tested were determined by the broth microdilution method using RPMI buffered with MOPS. For the preparation of a suitable inoculum, each isolate was subcultured on SDA plates and incubated at 37°C, and then, adjusted to 0.5 McFarland standard. A working suspension was prepared by a 1:100 dilution of the stock Candida isolate’s suspension (Schwalbe et al. 2007). The growth control and sterilized medium control wells were included in each experiment. MICs of fluconazole was defined as the concentration resulting in 50% growth inhibition, while MICs of amikacin was defined as the concentration resulting in 100% growth inhibition. Isolates with fluconazole MICs of ≥ 64 μg/ml were interpreted as resistant (CLSI 2008).
The antibiotic resistance-modifying activity of amikacin against fluconazole-resistant Candida clinical isolates. To assess the role of amikacin as a resistance-modifying agent against 12 fluconazole-resistant Candida clinical isolates, the MIC of fluconazole alone was compared to its MIC in the presence of 4,000 μg/ml of amikacin to test the capability of amikacin to sensitize the Candida isolates resistant to fluconazole. Modulation factor (MF), calculated as MICfluconazole alone/MICfluconazole + amikacin, was used to express the modulating effect of amikacin (Fankam et al. 2015).
Rhodamine efflux assay. A rhodamine efflux assay was performed according to Lu et al. (2018) with minor modifications. This assay was conducted to determine whether amikacin affected the efflux pump activity in three fluconazole-resistant Candida spp. isolates: C6, C8, and C21. Briefly, each of the selected isolates was subcultured on SDA plates. A loopful from each isolate culture was subcultured in yeast extract-peptone-dextrose (YPD) broth and incubated overnight at 35°C in a shaking incubator at 200 rpm. The overnight culture was collected into a sterile falcon, washed with glucose-free PBS and the concentration was adjusted to 1 × 107 CFU/ml. Next, the ethanolic rhodamine solution (Rhodamine B, Loba Chemie, India) was added to the cell suspension to reach a final concentration of 10 μM. The culture was incubated with rhodamine at 37°C for 50 min, followed by incubation on an ice water-bath for 10 min. Cells were collected, washed properly with glucose-free PBS and resuspended in glucose/PBS (5%). Amikacin was added to a final concentration of 4,000 μg/ml and, at the same time, the rhodamine-alone group (containing no amikacin) served as a control group. The fluorescence intensity of the extracellular rhodamine was recorded every 30 min, at time intervals of 0, 30, 60, 90 and 120 min, using a spectrofluorometer (Shimadzu, Japan) with excitation at 485 nm and emission at 530 nm. All results were represented as an average of three biological samples.
Molecular quantification of the Candida efflux pump genes MDR1, CDR1, and CDR2 using quantitative real-time PCR. Quantitative real-time PCR was applied for two isolates C6 and C21 whose efflux pump activity was more prominently affected by amikacin using the Applied Biosystems 7500 Real-Time PCR System (Thermo Fisher Scientific Inc., USA). This was employed to assess the localized expression of the MDR1 (multidrug resistance 1), CDR1 (Candida drug-resistant 1), and CDR2 (Candida drug-resistant 2) genes before and after 48-hour treatment with 4,000 μg/ml of amikacin. The data were normalized against the housekeeping gene ACT1. Gene-specific primer pairs were synthesized in Willowfort, UK, relying on the previously published sequences (Chau et al. 2004). The primers of the ACT1, MDR1, CDR1, and CDR2 genes for the RT-PCR amplification of cDNA are shown in Table I.
Sequences of primers for the genes selected for transcript analysis using quantitative RT-PCR.
| Gene | Orientation | Sequence (5′–3′) | Reference |
|---|---|---|---|
| ACT1 | F | TTGGTGATGAAGCCCAATCC | Chau et al. 2004 |
| R | CATATCGTCCCAGTTGGAAACA | ||
| MDR1 | F | TTACCTGAAACTTTTGGCAAAACA | Chau et al. 2004 |
| R | ACTTGTGATTCTGTCGTTACCG | ||
| CDR1 | F | TTTAGCCAGAACTTTCACTCATGATT | Chau et al. 2004 |
| R | TATTTATTTCTTCATGTTCATATGGATTGA | ||
| CDR2 | F | GGTATTGGCTGGTCCTAATGTGA | Chau et al. 2004 |
| R | GCTTGAATCAAATAAGTGAATGGATTAC |
RNA isolation and reverse transcription. For both selected isolates, the total RNA was extracted, according to the manufacturer’s instructions, from the overnight subculture using the TRIzol® MaxTM Bacterial RNA Isolation Kit (Ambion by Life Technologies). Then, the quantification of RNA was carried out using Jenway Genova Nano, Keison Products, UK.
Using the TOPreal™ One step RT qPCR Kit (Enzynomics), the step of reverse transcription was accomplished. The composition of the real-time PCR mixture was as follows: 1 μl of TOPreal™ One step RT qPCR Enzyme Mix, 10 μl of 2X TOPreal™ One step RT qPCR Reaction Mix, 1 μl of each primer, 1 μl of total RNA, and sterile DNase-free water to reach to a total reaction volume of 20 μl.
After applying a preliminary holding step at 50°C for 30 min, the cycling conditions for the PCR reaction were as follows: an initial denaturation step at 95°C for 10 min, then 40 cycles of denaturation at 95°C for 5 sec, followed by annealing/extension at 60°C for 30 sec. In every RT-PCR run, negative control containing sterile DNase-free water instead of the RNA template was involved. Samples were tested in triplicate.
To ensure the absence of the primer-dimers or any other artifacts, analysis of the melting curves was done in one cycle of 94°C, 53°C and 94°C, one minute each. The amplification curves, as well as the values of the cycle threshold (Ct) were established using the Stratagene MX3005P software.
The levels of the expression of each of the MDR1, CDR1 and CDR2 genes were normalized to the expression level of the house keeping gene ACT1 and compared to the corresponding expression levels in the control untreated isolates. For the calculation of the transcripts of each of the target genes, the Pfaffl method or ΔΔCt method was applied (Pfaffl 2001).
Statistical analysis. Data were expressed as means ± S.D. In the case of multi-variable comparisons, one-way ANOVA and Bonferroni testing were performed with the Prism 3 GraphPad software. Differences were recognized to be significant at p-value < 0.05. The included data were the mean of three biological replicates.
Demographic profile of candiduric patients. The demographic characteristics of 28 candiduric patients included in this study are shown in Table II. Infection with C. albicans isolates was more prevalent in males (61.1%) when compared to females (38.9%). However, the incidence of non-albicans Candida isolates was equally detected in both sexes. The frequency of both C. albicans and non-albicans isolates was higher among elderly patients (61 – > 70 years) in comparison with younger adults, and showed a focused predominance in patients reaching extremes of age (61.1, and 50%, respectively).
Demographic profile of candiduric patients.
| Demographic variables | ||||||||||||
|---|---|---|---|---|---|---|---|---|---|---|---|---|
| Sex | Age group (years) | |||||||||||
| Male | Female | 30–40 | 41–50 | 51–60 | 61– > 70 | |||||||
| n | % | n | % | n | % | n | % | n | % | n | % | |
| Candida albicans (n = 18) | 11 | 61.1 | 7 | 38.9 | 0 | 0 | 6 | 33.3 | 1 | 5.6 | 11 | 61.1 |
| Non-albicans Candida isolates (n = 10) | 5 | 50 | 5 | 50 | 1 | 10 | 3 | 30 | 1 | 10 | 5 | 50 |
| Total (n = 28) | 16 | 57.1 | 12 | 42.9 | 1 | 3.6 | 9 | 32.1 | 2 | 7.1 | 16 | 57.1 |
Identification of Candida spp. isolates. The applied phenotypic tests (the germ tube formation and the Tween 80 opacity test), as well as the Vitek-2 system, segregated the Candida isolates tested into: 18 C. albicans, 7 C. glabrata, 2 C. tropicalis, and 1 C. famata (Table III; Fig. S1).
Identification, virulence determinants, and the minimum inhibitory concentration (MIC) of fluconazole against the Candida spp. isolates tested.
| Isolate code | Candida species | Virulence determinants | MIC of Fluconazole (μg/ml) c | ||
|---|---|---|---|---|---|
| Biofilm formation | Proteases production Pz value a | Phospholipase production Pz value b | |||
| C1 | C. tropicalis | Strong | 0.26 | 0.33 | 128 |
| C2 | C. albicans | Strong | 0.4 | 0.48 | 16 |
| C3 | C. albicans | Strong | 0.16 | 0.29 | 8 |
| C4 | C. albicans | Strong | 0.19 | 0.29 | 32 |
| C5 | C. albicans | Strong | 0.2 | 1 | 8 |
| C6 | C. albicans | Strong | 0.2 | 0.3 | 1024 |
| C7 | C. tropicalis | Strong | 0.22 | 0.23 | 128 |
| C8 | C. glabrata | Weak | 0.18 | 0.21 | 1024 |
| C9 | C. glabrata | Weak | 0.67 | 0.22 | 1024 |
| C10 | C. glabrata | Moderate | 0.5 | 0.2 | 32 |
| C11 | C. albicans | Strong | 0.26 | 0.26 | 16 |
| C12 | C. glabrata | Moderate | 0.43 | 0.23 | 32 |
| C13 | C. albicans | Strong | 0.4 | 0.2 | 8 |
| C14 | C. albicans | Strong | 0.26 | 0.3 | 256 |
| C15 | C. albicans | Strong | 0.24 | 0.24 | 16 |
| C16 | C. albicans | Strong | 0.24 | 0.24 | 8 |
| C17 | C. albicans | Strong | 0.15 | 0.27 | 1024 |
| C18 | C. glabrata | Moderate | 0.25 | 0.21 | 8 |
| C19 | C. albicans | Weak | 0.15 | 0.67 | 2 |
| C20 | C. albicans | Strong | 0.14 | 0.31 | 1024 |
| C21 | C. albicans | Strong | 0.17 | 0.4 | 1024 |
| C22 | C. albicans | Weak | 0.15 | 0.39 | 1 |
| C23 | C. albicans | Strong | 0.18 | 0.32 | 1024 |
| C24 | C. albicans | Strong | 0.17 | 0.41 | 8 |
| C25 | C. glabrata | Weak | 0.17 | 0.23 | 8 |
| C26 | C. glabrata | Moderate | 0.2 | 0.16 | 256 |
| C27 | C. albicans | Strong | 0.16 | 0.32 | 16 |
| C28 | C. famata | Strong | 0.16 | 0.4 | 128 |
The Pz (precipitation zone) value: 1 (negative), 0.75–0.9 (low producers), 0.51–0.74 (moderate producers) and 0.35–0.5 (high producers)
The Pz value: 1 (negative), < 1 – > 0.63 (moderate), and < 0.63 (strong)
CLSI breakpoint for fluconazole is 64 μg/ml
Determination of the MIC of fluconazole against Candida spp. isolates. Among Candida isolates, 12 isolates (42.9%) were resistant to fluconazole with MICs ranging from 128 to 1,024 μg/ml. The percentage of the resistant non-albicans Candida spp. isolates reached about 60% when compared to fluconazole-resistant C. albicans (33%). About 43% of C. glabrata isolates were resistant to fluconazole. Both isolated strains of C. tropicalis were resistant to fluconazole, as well as a single C. famata isolated strain in this study (Tables III and IV).
Fluconazole susceptibility of different Candida spp.
| Candida species | Fluconazole susceptibility n (%) | MIC50 | MIC90 | MIC range (μg/ml) | |
|---|---|---|---|---|---|
| S | R | ||||
| Candida albicans (n = 18) | 12 (66.7%) | 6 (33.3%) | 16 | 1024 | 1–1024 |
| Non-albicans Candida isolates (n = 10) | 4 (40%) | 6 (60%) | 128 | 1024 | 8–1024 |
| Candida glabrata (n = 7) | 4 (57.1%) a | 3 (42.9%) | 32 | 1024 | 8–1024 |
| Candida tropicalis (n = 2) | 0 (0%) a | 2 (100%) | 128 b | ND c | ND |
| Candida famata (n = 1) | 0 (0%) a | 1 (100%) | ND | ND | ND |
The percentage was calculated relative to the total number of non-albicans Candida isolates collected in this study
MIC50 is calculated here as the arithmetic mean of the MIC values for both Candida tropicalis strains
ND – not determined
Relationship between the virulence determinants in Candida spp. isolates and their susceptibility to fluconazole. Out of the 28 tested isolates, 19 isolates (67.9%) were strong biofilm formers. Among these, three isolates (15.8%) were non-albicans Candida isolates (2 C. tropicalis, and 1 C. famata) that showed resistance to fluconazole (MIC = 128 μg/ml). The remaining 16 strong biofilm formers (84.2%) were C. albicans, out of which six isolates were resistant to fluconazole (MICs ranging from 256 to 1,024 μg/ml). The moderate biofilm formation was detected among four C. glabrata isolates, where only one of these was resistant to fluconazole (MIC = 256 μg/ml). Five isolates (17.9% of the total number of the isolates tested) were defined as weak biofilm formers, and this group comprised two fluconazole-susceptible C. albicans, one fluconazole-susceptible C. glabrata, and two fluconazole-resistant C. glabrata isolates (MIC = 1,024 μg/ml) (Table III).
Production of proteinase enzymes was high among 27 isolates (96.4% of the tested isolates), among which 11 isolates (40.7%) were resistant to fluconazole. These high producers of proteinases were classified as 18 C. albicans and nine non-albicans Candida isolates. Only one C. glabrata isolate showed moderate production of proteinases, however, it was resistant to fluconazole (MIC = 1,024 μg/ml) (Table III).
A total of 26/28 isolates (92.9%) were strong producers of phospholipase, out of which 12 isolates (46.2%) were resistant to fluconazole. One isolate was a moderate producer, while the second showed a negative result for phospholipase production. Both isolates were fluconazole-susceptible C. albicans (Table III; Fig. S2).
Determination of the MIC of amikacin against Candida spp. Isolates. The MIC of amikacin determined by the broth microtiter dilution method was > 4,096 against 27 isolates (96.4 % of the tested isolates), while isolate C28 had a MIC of 2,048 μg/ml.
The antibiotic-resistance modifying activity of amikacin against fluconazole-resistant Candida clinical isolates. The antibiotic-resistance modifying activity of amikacin (4,000 μg/ml) was tested against 12 fluconazole-resistant Candida clinical isolates. As illustrated in Table V, amikacin potentially sensitized the antimicrobial activity of fluconazole against 11 tested isolates with an MF ranging between 32 and 256. The MF calculated for the majority of fluconazole-resistant C. albicans isolates (with exception of one strain showing an MF of 64) reached very high values equivalent to 256. The MIC of fluconazole was reduced by 32-fold in the presence of 4,000 μg/ml of amikacin when tested against fluconazole-resistant isolates of C. tropicalis, C. glabrata, and C. famata. A single isolate of C. glabrata, C26, was not sensitized to fluconazole in the presence of amikacin.
Resistance-modulating effect of amikacin (4000 μg/ml) on fluconazole-resistant Candida clinical isolates.
| Isolate code | Candida species | MIC of fluconazole alone (μg/ml) | MIC of fluconazole (μg/ml) in the presence of amikacin | Modulation factor (MF) a |
|---|---|---|---|---|
| C1 | C. tropicalis | 128 | 4 | 32 |
| C6 | C. albicans | 1024 | 4 | 256 |
| C7 | C. tropicalis | 128 | 4 | 32 |
| C8 | C. glabrata | 1024 | 32 | 32 |
| C9 | C. glabrata | 1024 | 32 | 32 |
| C14 | C. albicans | 256 | 4 | 64 |
| C17 | C. albicans | 1024 | 4 | 256 |
| C20 | C. albicans | 1024 | 4 | 256 |
| C21 | C. albicans | 1024 | 4 | 256 |
| C23 | C. albicans | 1024 | 4 | 256 |
| C26 | C. glabrata | 256 | 256 | 1 |
| C28 | C. famata | 128 | 4 | 32 |
Modulation factor (MF) was calculated as MICfluconazole alone/MICfluconazole + amikacin
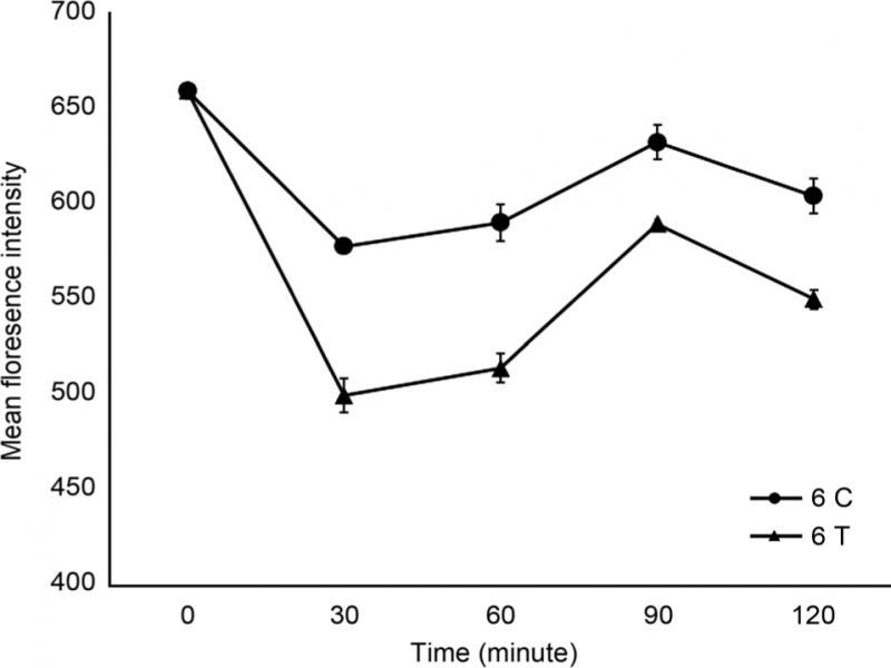
Rhodamine efflux assay. To illustrate the mechanism of amikacin sensitization to fluconazole, the efflux pump activity of two C. albicans isolates C6 and C21, as well as one C. glabrata, C8, was studied in the absence and presence of amikacin (4,000 μg/ml) using the rhodamine efflux assay (Fig. 1–3). Both C. albicans isolates, C6 and C21, showed a decline in the fluorescence intensity with percentages of reduction varying over time. The fluorescence intensity dropped promptly during the first 30 and 60 minutes of contact of isolate C6 with amikacin with percentages of reduction in the fluorescence intensity reaching 13.4 and 12.9%, respectively. After 90 and 120 minutes of treatment, those percentages began to decrease although still being considerable (Fig. 1). The pattern of fluorescence intensity reduction for isolate C21 displayed dissimilarity over time, where the effect of amikacin on the efflux pump activity for the first 30 minutes was weak resulting in a percentage of reduction of merely 3.7%. However, a time-gradient remarkable effect was established and percentages of reduction in the fluorescence intensity reached 7.3, 8.5, and 8.9% at 60, 90, and 120 minutes, respectively (Fig. 3). The isolate of C. glabrata, C8, didn’t show any prominent decrease in the fluorescence intensity for the amikacin-treated cells when compared to the control where the percentages of reduction in the fluorescence intensity over the tested time intervals ranged from 0.4 to 1.5% (Fig. 3).

Inhibitory effect of amikacin (4,000 μg/ml) on the efflux of rhodamine in fluconazole-resistant Candida albicans (C6).

Inhibitory effect of amikacin (4,000 μg/ml) on the efflux of rhodamine in fluconazole-resistant Candida glabrata (C8).

Inhibitory effect of amikacin (4,000 μg/ml) on the efflux of rhodamine in fluconazole-resistant Candida albicans (C21).
Comparing the effect of amikacin (4,000 μg/ml) on the efflux of rhodamine among the three tested isolates C6, C8, and C21 after 120 minutes of treatment, a statistically significant effect (p-value < 0.05) was observed for C6 and C21 with percentage of reduction in the fluorescence intensity of 8.9% for both isolates. However, the effect of amikacin treatment was statistically non-significant (p-value > 0.05) for isolate C8 where the percentage of reduction in the fluorescence intensity reached hardly 1.5% after 120 minutes of treatment (Fig. 4).

Percentage of reduction in the rhodamine fluorescence intensity after 120 minutes of amikacin (4,000 μg/ml) treatment of C6, C21 and C8 Candida isolates.
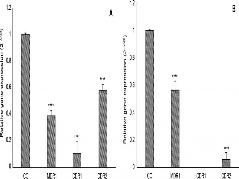
Molecular quantification of the Candida efflux pump genes MDR1, CDR1, and CDR2 using real-time PCR. For two C. albicans isolates, C6 and C21, the effects of 48-hour treatment with 4,000 μg/ml amikacin on the expression of the Candida efflux pump genes MDR1, CDR1 and CDR2 was studied using the quantitative RT-PCR. Representative amplification curves and melting curve analysis for each of the housekeeping gene ACT1 and the three efflux pump genes MDR1, CDR1, and CDR2 for C6 isolate are provided in the supplementary material (Fig. S3A and S3B).
The downregulatory effect of amikacin on the expression of the efflux pump genes of isolate C6 was exerted most prominently on the gene CDR1, followed by the gene MDR1, and lastly on the gene CDR2 with percentages of reduction in the level of expression equivalent to 89.4, 61, and 42.1%, respectively. Amikacin treatment of isolate C21 resulted in a profound downregulatory effect of the gene CDR2 with a percentage of reduction in the level of expression equivalent to 94%. This was observed to a lower extent for the gene MDR1, the expression of which was reduced by 43.5%. Concerning the gene CDR1, it has not been originally detected in the control untreated isolate C21. A highly significant reduction in the expression levels of the target genes, with a p-value of < 0.0001 compared to the control, was detected for both tested isolates C6 and C21. The relative gene expression levels of the efflux pump genes MDR1, CDR1, and CDR2 compared to control cells for isolates C6 and C21 are illustrated in Figures 5A and 5B, respectively.

Relative gene expression levels of the efflux pump mediated genes MDR1, CDR1, and CDR2 in (A) Candida albicans C6 and (B) Candida albicans C21 as measured by the quantitative real-time PCR. Total RNAs were prepared from both selected isolates after 48-hour treatment with 4,000 μg/ml amikacin. The levels of transcripts were normalized to the level of the ACT1 gene expression and then compared to the level of expression in the untreated control cells. The level of gene transcript in control untreated cells (CO) was set as 1. Results were expressed as the means and standard deviations of three independent determinations. The error bars represent SDs.
Candida spp. are responsible for 10–15% of UTIs worldwide and are categorized as the fourth most common cause of UTIs, especially in hospitalized and ICU patients (Yashavanth et al. 2013). In Egypt, a study carried out in Alexandria University Students Hospital, a hospital providing services to more than 50,000 people per year, identified C. albicans to be the causative organism of 36.7% of UTI cases in 2005 (Sallam et al. 2005). In AMUH in 2008, Candida spp. were isolated from 63 out of 161 patients with UTIs (Talaat et al. 2010). In the current study, 28 Candida spp. isolates from the urine culture of patients admitted to AMUH with UTIs were subjected to species characterization using two phenotypic tests; the germ tube formation and the Tween 80 opacity tests. Non-albicans Candida spp., the identity of which was confirmed by the automated Vitek-2 system (Fig. S1), were less prevalent (35.7%) than C. albicans that were encountered in 18 (64.3%) of total isolates. Among non-albicans Candida isolates, C. glabrata was the most predominant (25%), followed by C. tropicalis (7.1%), and C. famata (3.6%), respectively (Table III). Hassaneen et al. reported similar incidence rates of C. glabrata (21.4%) and C. tropicalis (7.1%) isolated from the urine of patients admitted with UTIs to the Zagazig University Hospitals in Egypt (Hassaneen et al. 2014). The situation in the Middle East seems to be analogous, and C. albicans was the most encountered in diabetic patients with candiduria in Arar, the northern area of Saudi Arabia, followed by C. glabrata, and C. tropicalis (Alenezy 2014). In Kuwait, C. albicans was the most prominent species recovered from urine cultures from candiduric patients in a tertiary care hospital (Alfouzan 2015). Although non-albicans Candida spp. are emerging nowadays as potential pathogens responsible for candiduria (Kauffman 2005), C. albicans is still being reported as the dominant species infecting the urinary tract of not only Egyptian patients but also patients in several Arabic countries (Sallam et al. 2005; Bukhary 2008; Omar et al. 2008; Alhussaini et al. 2013; Awad and Mohamad 2014; Alkilani et al. 2017). Demographically, in this study, a higher prevalence of candiduria was recorded in males (57.1%) as compared to females (42.9%) (Table II). Although females are known to be at a higher risk of developing candiduria owing to the frequent colonization of their vulvo-vestibular area with Candida spp. (Bukhary 2008), other observers found that it was more common in males (Jain et al. 2011). This could be attributed to the involvement of other risk factors not approached in the current study. Older age is a classical risk factor for candiduria and the high incidence of cases observed at this age group (57%) (Table II) is explained by the attenuated host defense mechanisms in patients reaching extremes of age. This finding is supported by the results of other researchers (Jain et al. 2011).
Aggravating the problem is the fact of the dissemination of resistance among urinary Candida spp. isolates to different antifungal agents, especially to the azole group. Azoles, other than fluconazole, are poorly excreted in urine and, thus, are less effective in the treatment of candiduria (Alfouzan 2015). Therefore, the present study focused on determining the susceptibility of the tested isolates to fluconazole. Totally, 42.9% of the isolates tested were resistant to fluconazole. About 67% and 40% of C. albicans and non-albicans Candida spp., respectively, were susceptible to fluconazole (Tables III and IV). With the increased use of fluconazole, numerous studies have become concerned with the emergence of fluconazole-resistant non-albicans Candida spp., especially C. tropicalis, which showed not only a better adaptation to the kidney but also possessed a reduced susceptibility to this azole (Kashid et al. 2012; Toner et al. 2016). Although the C. tropicalis prevalence was not high in this study (n = 2), both of the isolates were resistant to fluconazole (Tables III and IV).
The observed fluconazole resistance in Candida spp. and its relationship to the organism’s ability to shift from commensalism to pathogenesis has drawn an increasing attention in recent years because of resultant serious infections and failure of treatment (Mayer et al. 2013). This capability is attributable to various virulence determinants; adhesion to surfaces and secretion of extracellular hydrolases, proteinases and phospholipases are among these mechanisms of pathogenesis (Höfs et al. 2016). The majority of Candida strains in this study were capable of producing proteinases and phospholipase (about 96 and 93%, respectively) (Table III; Fig. S2). A high rate of proteinases (91.4%) and a moderately high rate of phospholipase (68.6%) production amongst C. albicans clinical isolates were reported earlier in the study conducted on 200 candiduric patients admitted to the ICU of the Theodor Bilharz Research Institute Hospital in Egypt (Ashour et al. 2015). When the extracellular enzyme production potential of Candida isolates investigated in this study was related to their fluconazole resistance pattern, it was noted that roughly half of these enzyme-producing isolates (40–46%) were resistant to fluconazole (Table III). The previous reports demonstrated that fluconazole resistance was associated with the acquisition of superior virulence traits by Candida spp., phospholipase and proteinases secretion being among these traits (Fekete-Forgacs et al. 2000; Ying and Chunyang 2012). Biofilms are complex communities of surface-aggregated microorganisms, trapped in an exopolysaccharide matrix, and growing on surfaces such as medical devices (Jabra-Rizk et al. 2004). Almost 68% of the isolates tested in the current study were strong biofilm producers, the majority of which belonged to C. albicans species (84.2%) (Table III). Kuhn et al. and Hasan et al. showed that C. albicans produces quantitatively more biofilms compared with the non-albicans Candida isolates (Kuhn et al. 2002; Hasan et al. 2009). Scanning electron microscopy studies on biofilm architectures succeeded in relating the strength and integrity of these biofilms to the higher number of hyphal elements in C. albicans than in the other species (Tellapragada et al. 2014). The fluconazole resistance was detected in 47.4% of the strong biofilm producers in this study but, no statistical correlation between the biofilm formation and fluconazole susceptibility was established (p-value > 0.05) (data not shown).
Since the treatment of candiduric patients infected with fluconazole-resistant Candida spp. with fluconazole alone is not an available option for health practitioners anymore, the combination of fluconazole with non-antifungal agents has been explored to increase the susceptibility of fluconazole-resistant Candida spp. (da Silva et al. 2013; Li et al. 2015; Jia et al. 2016). Some of the antibiotic derivatives, such as aminoglycoside analogs obtained by structural modifications of kanamycin A and B, tobramycin, and gentamicin were reported to have antifungal activities and to synergize with azoles against Candida spp. (Lu et al. 2018). However, studies emphasizing the sensitizing effect of amikacin on fluconazole against drug-resistant Candida spp. are lacking in the literature. In the present study, we investigated the antibiotic resistance-modifying activity of amikacin against 12 fluconazole-resistant Candida spp. isolates. Although amikacin showed no antifungal activity (it didn’t cause any inhibition of the growth of Candida isolates at the concentrations exceeding 4,000 μg/ml), it potentially sensitized 91.7% of the isolates. The MIC of fluconazole in the presence of amikacin (4,000 μg/ml) against the majority of resistant C. albicans decreased from 1,024 μg/ml to 4 μg/ml, against C. glabrata from 1,024 μg/ml to 32 μg/ml, and against C. tropicalis as well as C. famata the value of the MIC against fluconazole dropped from 128 μg/ml to 4 μg/ml (Table V). In their study, Lu et al. speculated that gentamicin/fluconazole synergism could be mediated by suppressing the efflux pumps of C. albicans (Lu et al. 2018). To test this hypothesis and to give an insight into the mechanism of amikacin sensitization of Candida to fluconazole, the rhodamine efflux assay in the absence and presence of amikacin (4,000 μg/ml), was performed on the three isolates; two isolates of C. albicans and one C. glabrata (Fig. 1–3). Amikacin suppressed the efflux pumps of resistant C. albicans isolates, C6 and C21, with percentages of reduction in the fluorescence intensity of 8.9% after 120 minutes of contact (Fig. 4). The inhibiting effect of amikacin on the function of efflux pumps of C. glabrata isolate was not noticeable when compared to the control samples indicating that the impact of amikacin might be strain-dependent (Fig. 4).
Further confirmation on the sensitizing effect of amikacin was investigated by quantifying the gene expression level of three genes responsible for the fluconazole efflux which are CDR1, CDR2 (belonging to ATP-binding cassette, ABC transporter), and MDR1 (a member of major facilitator superfamily, MFS). It was done using the quantitative RT-PCR for two selected fluconazole-resistant C. albicans isolates, C6 and C21 (Fig. 5A and 5B). The levels of expression of the housekeeping gene ACT1 did not change after treatment of the cells with 4,000 μg/ml of amikacin. It indicated that vital cellular functions were not impaired by amikacin treatment. However, amikacin exerted a significant inhibitory effect (p-value < 0.0001) on the genes encoding the multidrug efflux pumps. The expression of the CDR1, MDR1 and CDR2 genes was downregulated in C. albicans isolate C6 with reduction equivalent to 89.4, 61.0, and 42.1%, respectively (Fig. 5A). While in C. albicans isolate C21, amikacin downregulated the expression of CDR2 and MDR1 by 94% and 43.5%, respectively (Fig. 5B). In conclusion, amikacin restored the fluconazole antifungal activity against resistant Candida spp. isolates. The putative mechanism of this sensitizing effect of amikacin may be the suppression of multidrug efflux pumps. Taken together, these findings indicate that amikacin may be regarded as a potential sensitizer of Candida isolates to fluconazole that can be used in combination in the treatment of candiduria with a higher efficiency or at lower administration doses. Further in vivo and clinical studies are necessitated to consolidate these conclusions.