Have a personal or library account? Click to login
Effects of diet quantity on growth performance of juvenile sea cucumbers Holothuria scabra Cover

Effects of diet quantity on growth performance of juvenile sea cucumbers Holothuria scabra

Open Access
|Jul 2022

Full Article

1. Introduction

Sea cucumbers (Phylum: Echinodermata; Class: Holothuroidea) have been consumed for centuries for their medicinal properties (Hamel et al. 2001). They are considered highly nutritious due to the presence of essential elements, vitamins, polysaccharides (such as chondroitin sulfate) and saponin glycosides. Sea cucumbers are mainly used to treat arthritis pain, constipation, fatigue, and excessive urination (Hamel & Mercier 2004). Further, sea cucumbers are used to prepare the highly desirable popular food commodity beche-de-mer (Purcell 2014). Due to their nutritional and medicinal properties, the demand for sea cucumbers is growing in many regions of the world (Lane & Limbong 2015). The increase in demand leads to the overexploitation of natural marine populations (Yasoda et al. 2006). Aquaculture of sea cucumbers may provide a solution to the problem of dwindling natural stocks and increasing supply needs of Asian markets for beche-de-mer (Giraspy & Walsalam 2010). Sustainable sea cucumber farming practices have been developed in many countries using modern hatchery techniques (Yasoda et al. 2006).

Sea cucumber aquaculture is growing in several regions of the world and is mostly focused on the commercially important species Apostichopus japonicus. Further, feasibility studies for sea cucumber farming have been conducted in countries such as Australia, Saudi Arabia, India, the Maldives, Indonesia, the Philippines, Madagascar and Vietnam (Purcell et al. 2012). Among the sea cucumber species, Holothuria scabra (common name: sandfish) is considered a potential species for aquaculture in tropical regions due to some salient features that make it suitable for hatchery production (Broom 2021a). Many studies have been conducted to understand the fishery status, ecology and biology of H. scabra (reviewed by Raison 2008). H. scabra is a common species widely distributed in the soft-bottom habitats in shallow waters throughout the Indo-Pacific region (Hamel et al. 2001). H. scabra is mainly found in lagoons, seagrass meadows, seaweed beds and coral reefs (Floren et al. 2021). Further, H. scabra is the only sea cucumber species in the tropical region used for mass production in hatcheries (Hamel et al. 2001).

An experimental attempt of hatchery production of H. scabra juveniles was initially conducted by James (1999). After that, many studies reported hatchery techniques for producing H. scabra juveniles (Pitt & Duy 2004; Agudo 2006; Hair 2012; Militz et al. 2018). However, survival and growth performance of H. scabra in the juvenile stage is very low (Indriana et al. 2017) and remains a challenging task for hatchery production. Diet, changes in environmental conditions, stocking density and periphyton abundance in the culture ponds are some of the important factors affecting the growth and survival of H. scabra (Gorospe et al. 2019; Altamirano and Noran-Baylon 2020; Broom et al. 2021b; Magcanta et al. 2021). Of the environmental factors, water temperature and salinity play a key role in the biology of sea cucumbers (Purcell and Kirby, 2005; Magcanta et al. 2021).

Diet plays an important role in the aquaculture production of sea cucumbers. Knowledge of feeding habits and nutritional requirements is necessary for the successful farming of sea cucumbers (Slater et al. 2009). Under natural conditions, the species H. scabra is a deposit feeder, found mainly near seagrass beds and mangrove habitats (Hamel et al. 2001). Microorganisms, foraminiferans, blue-green algae, benthic diatoms and detritus waste derived from organisms are the major sources of food for deposit-feeding sea cucumbers (Uthicke & Klumpp 1998; Kang et al. 2003). In aquaculture, artificial diets are essential for economically viable productivity (Qin et al. 2009). However, only a few previous studies have evaluated the effects of formulated feeds on sea cucumber farming (Yuan et al. 2006; Giraspy & Ivy 2008; Liu et al. 2010; Broom et al. 2021a). Experiments conducted using different feed types indicated a higher growth of H. scabra juveniles fed with seaweed extract (Magcanta et al. 2021). In addition, Broom et al. (2021a) showed a higher growth rate in H. scabra juveniles fed with a formulated feed. In this study, the growth performance of sea cucumber juveniles was evaluated using a commercial diet and formulated diet. The main objective of this study was to formulate an appropriate feed percentage to achieve a higher growth rate in the sea cucumber H. scabra.

2. Materials and methods
2.1. Collection and acclimation of H. scabra juveniles

H. scabra juveniles were obtained from the National Aquaculture Group, Alith, Saudi Arabia. They were transported to the Obhur campus fish farm of the Faculty of Marine Sciences, King Abdulaziz University according to the method described by Broom et al. (2021a). At the fish farm, juveniles were kept for acclimatization (for 7 days) in fiberglass tanks filled with sand at the bottom (5 cm). A continuous re-circulating water supply was provided to the tanks and the animals were fed with a commercial diet once daily (Broom et al. 2021a).

2.2. Experimental diets

The animals were fed with two types of diets in different ratios to test their effects on animal growth. Feed-A was a commercially available diet produced by Laizhou Baishengd Technology Co. Ltd, China. Feed-B was formulated in a fish farming facility of the Faculty of Marine Sciences, King Abdulaziz University for sea cucumber culture studies (Broom et al. 2021a). Feed-B was prepared from fish meal (5%), wheat bran (15%), soybean (4.75%), barley (10%), fish feed powder (15%) and essential minerals and vitamins (Broom et al. 2021a). The proximate composition of feed-A and feed-B was reported by Broom et al. (2021a). In brief, the proximate composition of feed-A includes 9.8% moisture, 57.2% crude ash, 7.5% crude protein, 24.7% carbohydrate, 1.2% nitrogen, 0.8% crude fat, 4.4% crude fiber and 19.1% organic carbon. Similarly, the proximate composition of feed-B includes 8.4% moisture, 38% crude ash, 14.5% crude protein, 34.8% carbohydrate, 2.3% nitrogen, 4.3% crude fat, 31.16% organic carbon and 2.2% crude fiber. Both commercial and formulated feeds were soaked in water for 12 h before being fed to the animals.

2.3. Experimental design

H. scabra juveniles were fed both commercial and formulated feeds at 2, 4, 6 and 8% of the total body weight (wet weight). The animals were kept in a soft mesh bag inside the acclimation tank to remove the gut contents and to determine body weight. The juveniles were then weighed on an electronic balance (resolution = 0.01 g). They were kept in fiberglass tanks. Each tank contained six individuals and three tanks were maintained for each treatment group. The bottom of the tanks was filled (to a height of 5 cm) with dune sand (sand grain particles of 0.15 – 0.25 mm). The experimental animals were fed twice daily (8.00 a.m. and 8.00 p.m.) at the feed ratio mentioned above. Seawater in the tanks was completely replaced at 7.00 a.m. and 7.00 p.m. daily using a 10 micron filter bag. Water quality parameters maintained during the study period were as follows: salinity – 40 PSU, dissolved oxygen (DO) – above 5 mg l-1 and photoperiod – 12 L:12 D. The seawater was continuously aerated to maintain the desired DO levels and the photoperiod was achieved through fluorescent light. The growth experiment was conducted for 30 days in replicates (n = 3).

2.4. Sample collection and measurement of growth performance

After 30 days of the experiment, animals from the tanks were eviscerated and weighed on a digital balance (resolution = 0.01 g). The average body weight (wet weight) for each treatment group was used to calculate the specific growth rate (SGR), weight increment and weight gain after being fed with different feed ratios. The SGR (% d-1) was calculated using the following formula: SGR (% d-1) = (lnFw - lnWi) × 100/t ${\rm{SGR (\% d}}^{{\rm{ - 1}}} {\rm{) = (}}ln{\rm{Fw - }}ln{\rm{Wi) \times 100/t}}$

where Wf and Wi are final and initial body weight (g) of the animals, and ‘t’ is the duration of the experiment in days.

2.5. Analysis of water quality and sediment parameters

Parameters such as DO, temperature and pH of seawater were monitored daily prior to water change to identify possible changes due to different feed ratios. These parameters were measured using a multiparameter probe (YSI Pro 1020). The quality of the bottom sand layer was monitored weekly based on the oxic-anoxic interface. The oxic-anoxic interface depth in each tank was measured according to the method described by Broom et al. (2021a). In brief, the sediment core was collected using a syringe and the color change due to oxic-anoxic conditions was measured using a ruler. The color change from yellow/ light brown (oxic) to gray (anoxic) was considered for the measurement of oxic-anoxic conditions.

2.6. Statistical analysis

The data obtained for SGR and weight gain (%) were analyzed by two-way ANOVA (analysis of variance) using feed types and feed ratios as factors. Additionally, one-way ANOVA was carried out between different feed ratios in each feed type. Pairwise differences in the growth of sea cucumbers receiving different amounts of feed were analyzed using post-hoc Tukey’s test (for variables that showed significant variation in one-way ANOVA). One-way ANOVA was also used to analyze anoxic conditions in the experimental tanks, resulting from the application of different feed ratios. The data were initially checked for homogeneity using Levene’s test and used for ANOVA without transformation. The statistical analysis was carried out using Statistica (ver.13).

3. Results

The results revealed significant variations in the weight gain of sea cucumbers H. scabra fed with different feed ratios. In feed-A treated groups, the maximum weight gain of 40.64% was observed at 8% feed (Table 1). Similarly, the maximum weight gain of 62.52% was observed in 8% feed-B (formulated feed) treated animals (Table 1). The maximum specific growth rate for feed-A and feed-B treated groups was also observed at 8% diet. Animals fed with 2% diet in the feed-A group showed a negative growth rate (–41.3%) during the experiment. While feed-A treated animals showed a gradual increase in the growth rate with increase in the diet ratio, feed-B treated sea cucumbers showed a reduction in the growth rate at 6% diet (Table 1). Two-way ANOVA results indicated a significant variation in SGR and total weight gain of sea cucumbers in relation to the type of feed and feed ratios (Table 2). While one-way ANOVA results showed significant variation in SGR (F = 14.27; df = 3.8; P < 0.05) and weight gain (F = 18.47; df = 3.8; P < 0.05) of sea cucumbers treated with feed-A in different ratios, feed-B treated groups did not show significant variation between feed ratios (SGR: F = 0.327; df = 3.8; P = P > 0.05; weight gain: F = 4.03; df = 3.8; P > 0.05). Further, post-hoc Tukey’s test revealed significant variation between 2% and other feed percentage treated groups in sea cucumbers fed with feed-A (Table 3).

Table 1

Growth performance indices of sea cucumbers H. scabra fed with different feed percentages. Values presented in the table are mean ± SD, n = 3.

Growth performance indicatorsFeed treatment groups
Feed-AFeed-B
2%4%6%8%2%4%6%8%
Initial weight (g)2.33 ± 0.341.89 ± 0.141.77 ± 0.081.59 ± 0.23.67 ± 0.353.71 ± 0.313.42 ± 0.163.05 ± 0.28
Final weight1.67 ± 0.322.15 ± 0.212.15 ± 0.132.77 ± 0.535.98 ± 0.829.57 ± 2.475.54 ± 1.028.46 ± 1.62
Total weight gain (g)–0.66 ± 0.270.25 ± 0.110.37 ± 0.161.18 ± 0.652.3 ± 1.185.85 ± 2.32.11 ± 1.165.41 ± 1.9
Total weight gain (%)–41.3 ± 19.7811.71 ± 4.8837.33 ± 16.540.64 ± 15.6337.26 ± 13.6259.73 ± 8.436.38 ± 14.3562.52 ± 11.26
Specific growth rate (% d-1)-1.12 ± 0.480.41 ± 0.180.63 ± 0.271.82 ± 0.941.61 ± 0.783.08 ± 0.731.56 ± 0.733.36 ± 0.97
Table 2

Two-way ANOVA results for the total weight gain (%) and specific growth rate of sea cucumbers fed with different feed percentages. Feed percentage and feed type were used as factors for ANOVA (P < 0.05 = significant).

 Weight gain (%)SGR
EffectDfFPFP
Feed type142.922< 0.0547.680< 0.05
Feed ratio316.510< 0.0512.212< 0.05
Feed type*Feed ratio39.251< 0.052.392> 0.05
Error16    
Table 3

Tukey’s post-hoc HSD test results (approximate probabilities) for SGR and weight gain (%) of sea cucumbers fed with feed-A (P < 0.05 = significant)

Factor 1 (feed percentage)Factor 2 (feed percentage)SGR (Between MS = .30944, df = 8)Weight gain (%) (Between MS = 232.98, df = 8)
24< 0.05< 0.05
6
8
46> 0.05> 0.05
8
68

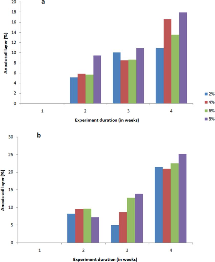
The pH, temperature and dissolved oxygen content of the tank water during the experiment are presented in Figs 1 & 2. The water quality parameters of the experimental tanks during the experiment did not show much variation between different diet ratio treatments. The soil anoxic layer showed an increase with the duration of the experiment in all feed percentage treatments (Fig. 3). While the anoxic layer was above 20% in feed-B treated tanks during week 4, the maximum anoxic layer in feed-A treated tanks was 17.91% with the 8% feed treatment. One-way ANOVA results did not show significant differences in soil anoxic conditions between tanks with treatments of different feed ratios in either feed-A (F = 0.18; df = 3.12; P > 0.05) and feed-B (F = 0.07; df = 3.12; P > 0.05) groups.

Figure 1

Water quality parameters in the tanks used for culturing sea cucumbers with feed-A: a) temperature, b) dissolved oxygen content, c) pH.

Figure 2

Water quality parameters in the tanks used for culturing sea cucumbers with feed-B: a) temperature, b) dissolved oxygen content, c) pH.

Figure 3

Anoxic soil conditions at the bottom of the culture tanks during the experiment: a) culture tanks with sea cucumbers treated with feed-A; b) culture tanks with sea cucumbers treated with feed-B.

4. Discussion

Food is one of the limiting factors for the growth of marine invertebrates in their early stages (Roberts et al. 2001; Zheng et al. 2005). This study showed significant effects of the feed ratio on the growth of juvenile sea cucumbers H. scabra fed with feed-A (commercial feed). The negative growth rate observed in these animals fed with 2% of feed-A indicates that at least 4% of feed-A (based on wet weight of sea cucumbers) is necessary for their normal growth (Table 1). The negative growth at 2% of feed-A clearly indicates that this feed percentage is not sufficient for the growth of H. scabra. While an increase in growth was observed in animals fed with 4% and 8% of the formulated feed (feed-B), the differences were not significant between 2, 4, 6 and 8% of the diet. Of the two feeds, the results showed a higher growth rate in formulated feed (feed-B) treated animals.

In the present study, the best feed percentage for achieving the optimum growth performance was inconsistent between feed-A and feed-B (Table 1). This inconsistency may be due to the proportion of the feed composition used for the experiment. Specifically, the formulated feed (feed-B) had a higher content of proteins (14.5%) compared to feed-A (7.5%) (Broom et al. 2021a). This high protein content may be one of the possible reasons for the best growth performance achieved in the sea cucumbers treated with feed-B even at 2%. Previously, many studies have reported the effect of protein content on growth performance and enzyme activities in sea cucumbers (Seo & Lee 2011; Liao et al. 2014; Liao et al. 2015). In general, feed composition, ratio, feeding frequency and stocking density are important factors affecting the growth of sea cucumbers (Xia et al. 2017; Broom et al. 2021a, b). Previous studies indicated that the growth and physiological activities of aquatic organisms can be improved by increasing feeding frequency (Wang et al. 2007; Cárcamo et al. 2015; Xia et al. 2017; Broom et al. 2021b). An increase in feeding frequency will ultimately provide larger amounts of food compared to regular feeding regimes of once or twice a day. Further, a study conducted by Singh et al. (1998) revealed a higher growth rate of sea cucumbers fed with high concentrations of algal diet.

The oxic-anoxic interface is one of the critical sediment quality parameters that affects the growth of sea cucumbers (Robinson et al. 2015). Therefore, it is important to maintain optimum anoxic soil conditions when increasing the feeding rate. The results of this study indicate that the anoxic soil layer in the tanks did not increase as a result of an increased feed percentage (Fig. 3). The anoxic layer showed an increasing trend with the duration of the experiment. A stratified oxic-anoxic layer is necessary for the optimum growth in the culture as this layer supports more bacterial communities (Robinson et al. 2016). Therefore, a slight increase in the anoxic layer in the tanks during week 4 may not be detrimental to the animals.

Abiotic factors such as salinity and temperature of water may affect the growth rate of sea cucumbers (Seeruttun et al. 2008). In this study, water temperature in the culture tanks was above 27°C throughout the experiment (except a minor drop in the first week for the 8% feed-A treatment) and did not show large differences between different diet percentages (Fig. 1). Many previous studies indicated an optimum temperature range between 27°C and 30°C for the growth of larvae of tropical sea cucumbers (James et al. 1994; Ramofafia et al. 1995; Battaglene 1999). The pH of water varied between 7.3 and 8.72 during the experiment in both feed treatments. In most of the weeks, the values were above 7.8. Changes in pH may be due to the feed types and percentages used in this study. Though changes in pH are one of the critical factors for the growth of sea cucumbers, a previous study by Asha and Muthiah (2005) reported the highest growth rate of sea cucumber larvae at pH 7.8. Therefore, the higher pH range observed in this study after feeding may affect the growth of H. scabra juveniles, which needs further evaluation. Further, the dissolved oxygen content of water was not affected by the higher percentage of diets. Metabolic wastes and uneaten food are the main sources affecting the water quality in aquaculture systems (Axler et al. 1996). In general, water quality and soil anoxic conditions of the experimental tanks during this study indicated that left-over feed was not a major issue when using a larger food quantity for sea cucumber culture.

In conclusion, this study showed that the diet percentage is an important factor for the optimum growth of sea cucumbers. In general, an increase in the feed percentage resulted in good growth performance. Animals fed with 8% diet exhibited a higher growth rate than others. Therefore, maintaining a high feed percentage may provide the best growth rates in sea cucumbers. However, it is necessary to determine the optimum feed percentage by evaluating other critical parameters. The difference in growth performance between the feed types indicate that the proximate composition of feeds should be considered when selecting the correct diet percentage. Further research involving more types of diets, such as seaweeds and other plant-based formulated feeds, will be useful in determining correct diet quantity and proportion for the best growth performance of sea cucumbers.

DOI: https://doi.org/10.26881/oandhs-2022.2.04 | Journal eISSN: 1897-3191 | Journal ISSN: 1730-413X
Language: English
Page range: 158 - 166
Submitted on: Dec 24, 2021
Accepted on: Apr 4, 2022
Published on: Jul 7, 2022
Published by: University of Gdańsk
In partnership with: Paradigm Publishing Services
Publication frequency: 4 issues per year

© 2022 Mamdouh Al-Harbi, published by University of Gdańsk
This work is licensed under the Creative Commons Attribution-NonCommercial-NoDerivatives 4.0 License.