Wahoo Acanthocybium solandri is a pelagic species of the Scombridae family, widely distributed in tropical and subtropical oceanic waters worldwide (Hogarth 1976; Zischke et al. 2015). Previous studies suggest that wahoo is a fast-growing, large and short-lived pelagic species (McBride et al. 2008; Kishore et al. 2001; Zischke et al. 2013). The world record weight of wahoo is 96.4 kg and a fork length of more than 210 cm (Zischke et al. 2013; Theisen et al. 2008). Wahoo, like many other pelagic species such as tunas, billfishes and dolphinfish, has several morphological and physiological adaptations associated with fast burst swimming (Collette et al. 1983; Zischke et al. 2015). Due to its size structure and high food value in most coastal countries, wahoo tops byproduct species landed in many commercial fisheries, especially longline and purse-seine fisheries operating in the Atlantic and Pacific Oceans (McBride et al. 2008; Zischke et al. 2015; Zischke 2012). Although wahoo is typically not the main target of these commercial fisheries, it supports targeted recreational and artisanal fisheries and is a valuable byproduct in both purse seine and longline fisheries (Oxenford et al. 2003; Viana et al. 2008; Viana et al. 2013). Global wahoo catches have steadily increased over the past three decades as it has become an important bycatch species in many commercial fisheries (McBride et al. 2008; Zischke et al. 2015; ICCAT 2019 ; Fredou et al. 2021). Notwithstanding the growing importance of wahoo in global fisheries, concern has recently been expressed over the lack of basic biological and fisheries information on wahoo, particularly in the West African Tropical Atlantic region (ICCAT 2019; Pons et al. 2019 a,b; Fredou et al. 2021). This is largely due to the paucity of data available to carry out conventional stock assessments, which in the future may pose a problem for ensuring the long-term sustainability of fisheries targeting wahoo at current exploitation levels in this region.
For most bycatch, such as wahoo, and for data-limited fisheries, readily available data are often species length-frequency information (Hordyk et al. 2015; Froese et al. 2018; Kindong et al. 2019Kindong et al. 2020). Length-frequency analysis (LFA), where estimates of von Bertalanffy growth parameters are generated from length distributions of sample stocks, has been applied to commercially important fish species and invertebrates for many years (Bjorndal et al. 1995; Carbonara et al. 2018). Few studies have applied length-frequency analysis to wahoo to estimate some of its life history parameters (Murray et al. 1987; Murray et al. 1996; Lee 2008). Murray et al. (1987, 1996) used ELEFAN to estimate growth parameters of wahoo in the West Central Atlantic. Lee (2008) applied LFA (using MULTIFAN) to a wahoo population in Taiwanese waters to estimate age distributions from length composition data. His study estimated a maximum age of 10 years, which is comparable to estimates obtained in the Northwest Atlantic using otolith samples (McBride et al. 2008). A growing number of assessment methods are currently being developed to be used in data-limited fisheries (Hordyk et al. 2015; Froese et al. 2017Froese et al. 2018; Rudd and Thorson 2018), and many of these methods are also tailored to provide some initial life history parameters for fisheries with limited data. However, prior understanding of the biology and fishery aspects of species is necessary before applying these approaches. Hence, the need for independently estimated life history parameters, including growth parameters, which can then be used to determine mortality rates, as well as to evaluate reference points before applying them on any assessment platform.
These models, used in data-limited fisheries, mostly require only length or catch data; their performance has been tested for fisheries with different life histories (Prince et al. 2015; Nadon et al. 2015; Pons et al. 2019 a,b, 2020; Chong et al. 2019). Pons et al. (2019b) applied two catch-based models (Depletion Based Stock Reduction Analysis, DBSRA, and Simple Stock Synthesis, SSS) to assess the wahoo stock in the Northwest Atlantic Ocean. In cases where only length composition data are available (a case observed in many developing coastal countries), length-based methods can be used. LBSPR (Length Based Spawning Potential Ratio; Pons et al. 2019 a,b), the length-based Bayesian biomass estimator LBB (Pons et al. 2019b) and the integrated assessment model LIME (length-based integrated mixed effects; Pons et al. 2019 a,b) were used to assess wahoo in the Northwest Atlantic. Few studies from the Eastern Atlantic focused on the assessment of wahoo (Kindong et al. 2020; LBB). LBB, recently developed by Froese et al. (2018), can be applied to analyze length-frequency data (LFD) for exploited fishery populations, where all relevant parameters are estimated through the Bayesian Monte Carlo Markov Chain (MCMC). This approach assumes constant recruitment, growth, and mortality, and can provide the best available information if the LFD is representative of the exploited stock, including data-limited fisheries. Thus, this method could be valuable in estimating proxies for data-limited fisheries.
For such fisheries, however, it is often problematic to find a single approach yielding the ‘best’ estimation of a given parameter. Therefore, it is important to use a suite of methods that combine their results to produce a range of values that can provide reliable parameter estimates to be used in assessment methods. This process, in turn, may provide reliable information important to fisheries management, the objective of which is to provide measures that enable more sustainable fishery harvesting. For the purpose of this study, a suit of length frequency packages and software was used to estimate growth parameters of wahoo and thus determine mortality parameters based on different approaches and reference points. The reproductive biology and size at maturity were also estimated for this species. Furthermore, the LBB method was applied to compare the estimated life history parameters and to propose stock status proxies for wahoo, which would provide an insight into the current stock status of the species for its management in the Tropical Eastern Atlantic.
Wahoo specimens were collected from longline vessels as part of the Chinese Longline Fishery Observer program operating in the Tropical Eastern Atlantic Ocean (Fig. 1) between November 2010 and May 2020 and targeting tuna and swordfish (3.16°S–14.03°N; 18.32°W–37.28°W). Trained observers deployed aboard these vessels by the Chinese Longline Fisheries Observer program were tasked with recording catch and biological data for targeted species as well as some major bycatch species. During the data collection period, fork length (FL) of captured wahoo was measured to the nearest mm. All fish were weighed (whole weight, WW) to the nearest gram (g) and sex of most specimens caught was also recorded.
Figure 1
Locations where wahoo specimens were sampled by the Chinese Longline Fishery Observer in the Eastern Atlantic Ocean between November 2010 and May 2020.

Fork lengths were grouped into 5 cm class intervals and a similar range was set for VBGP to be estimated in all approaches used. Weight at length was described using the power function:
We assumed that the length data are representative of the wahoo population that spawns regularly throughout the season; spawning periods are short and individuals from the same cohort grow faster and at similar rates. The length-frequency data collected for this species were grouped as monthly catches, assuming that the obtained sample represents the monthly length distribution of all catches. Methods available in four length-frequency analysis packages were used to estimate growth parameters of the wahoo (Fig. 2). FiSAT II (Gayanilo et al. 2005), LFDA version 5 (Kirkwood and Zara 2001), TropFishR package (Mildenberger 2017), and fishboot (Mildenberger et al. 2017; Schwamborn et al. 2018) were used, and the best method was selected for subsequent analysis. The first two methods are old and may be useful in small-scale, data-poor fisheries, mostly in underdeveloped coastal countries where advanced methods may not be available. These four length-frequency analysis packages (LFAP) applied the von Bertalanffy growth function (1938) to the length-frequency data (LFD) to estimate von Bertalanffy growth parameters (VBGP). The von Bertalanffy growth function (1938) is expressed as:
Figure 2
Framework process showing methods used to estimate wahoo’s life history parameters and to provide proxies for the stock status in the Tropical Eastern Atlantic.

The Electronic Length Frequency Analysis (ELEFAN) and Shepherd’s methods estimate growth parameters using the von Bertalanffy growth function based on the progression of length-frequency modes over time (Pauly 1980). Shepherd’s method in the FiSAT II and LFDA v 5 packages is conceptually similar to ELEFAN I in that it is designed to maximize a non-parametric scoring function, and the user interface of this routine is very similar to that of ELEFAN I (Shepherd, 1987). However, this method differs from ELEFAN I in that it cannot deal with seasonal growth oscillations. Furthermore, its score function (Rn) is standardized to 1, unlike that of ELEFAN I, which varies with changes in growth parameters. In general, ELEFAN requires a vector with mid-lengths of defined length classes, a matrix with catches in numbers per length class (rows) and per sampling time (columns), and a vector with sampling dates. ELEFAN I restructures the LFD crests by assigning positive values to size classes with the largest number of species and vice versa (Pauly and David 1981). The fit scores (Rn) are then estimated by summing the values of size classes through which each growth curve passed. The growth curve with the highest score is considered the best estimate, and is the curve with a high fit score passing through size classes with a large number of species.
Two other fitting methods (ELEFAN_SA and ELEFAN_GA) from the TropFishR package were also used in this study. These methods use the same curve fitting principle based on ELEFAN I as stated previously (Pauly and David 1981; Taylor et al. 2017; Mildenberger 2017). They use the same length-frequency curve fitting function to estimate Rn, but the differences between these methods relative to ELEFAN I are in the way the growth models are adjusted. ELEFAN_GA (Mildenberger 2017) is fitted based on the genetic algorithm GA (Scrucca, 2013), more complex than ELEFAN_SA (Mildenberger 2017), which applies simulated annealing SA (Xiang et al. 2013). In ELEFAN within TropFishR, the parameter tanchor is normally used instead of to to designate the fraction of the year where the VBGF crosses a length equal to zero for a given cohort (Taylor et al. 2017; Mildenberger 2017).
The last two approaches applied in this study are bootstrapped ELEFAN with the genetic algorithm and simulated annealing optimization functions (bootstrapped ELEFAN_GA and bootstrapped ELEFAN_SA) from the fishboot package (Schwamborn et al. 2018). These approaches were applied to the length-frequency data, permitting the calculation of uncertainties around the growth parameter estimates.
The selected methods required the identification of a range of expected initial K values and a range of expected Linf values. For all these methods, we specified the initial K range of 0.1–1.5, and the initial Linf range of 130–220 cm FL based on previous studies on wahoo (McBride et al. 2008; Zischke et al. 2015; Kindong et al. 2020) and our guestimates. The same initial ranges of K and Linf were used to run 1000 resamples of bootstrapped ELEFAN approaches, and the additional parameter tanchor had their search space spanned over the whole interval of their bounds (0 to 1). Maximum density estimates and 95% confidence intervals for all VBGPs were also estimated using the bootstrapped ELEFAN methods.
The age slice method, which applies the von Bertalanffy parameters in the VBGF, was used to assign age classes to size classes and to transform length distributions to age distributions. The parameters Linf and K were first estimated as explained above for each method. In this way, a common non-linear VBGF was developed, including growth parameters estimated earlier. Using the fork lengths of all specimens and the estimated von Bertalanffy parameters: Linf, K, and to, obtained by each method, length distributions were transformed to age using the VBGF. The Akaike information criterion (AIC) and the Bayesian Information Criterion (BIC) were used to compare and select the best performing method. These criteria identify the model that is a good fit when the values are the lowest. The best-selected model (lowest AIC and BIC values) was later used to determine better-fitted growth parameters, and used in the subsequent analyses. For this, all methods were fitted using nonlinear least-squares regression analysis (nls) in the R environment (Vienna 2020).
Using the estimated growth parameters, a set of nine different methods and formulae were used to estimate natural mortality (M) values (Table 1), because it is generally known that M is a difficult parameter to evaluate, which can ultimately have a great impact on understanding the status of fisheries stocks (Kenchington 2014). Six methods provided empirical scalar values (Alverson and Carney 1975; Pauly 1980; Hoenig 1983; Hewitt and Hoenig 2005; Then et al. 2014).
Natural mortality (M) methods and equations used. L∞, K and t0 are von Bertalanffy growth function parameters, Tmax is the maximum observed age, a and b are length–weight relationship parameters. L50 is length at first maturation, L is the observed length, T is temperature (°C), and t is age. In this study, the temperature was T = 18.43°C.
| Acronym | Equations | M by age | References |
|---|---|---|---|
| Gislason | ln (M )=0.55−1.61 ln (L)+1.44 ln (L)+ln (K ) | Yes | Gislason et al. 2010 |
| ChenWatanabe | Yes | Chen and Watanabe 1989 | |
| Brodziak_K | Yes | Brodziak et al. 2011 | |
| Pauly_Linf | No | Pauly, 1980 | |
| Alverson_Carney | No | Alverson and Carney, 1975 | |
| Then_1 | M = 4.899 *Tmax0.916 | No | Then et al. 2014 |
| Then_2 | M = 4.118 *K0.73*L∞−0.33 | No | Then et al. 2014 |
| Hewitt Hoenig | M = e1.44−0.98*ln (Tmax) | No | Hewitt and Hoenig 2005 |
| Hoenig | M = e1.46−0.101* ln (Tmax) | No | Hoenig 1983 |
Three more methods produced natural mortality vectors by age (Chen and Watanabe 1989; Gislason et al. 2010; Brodziak et al. 2011). The estimated VBGF parameters were used to convert the maximum FL observed in the catch into age. For each of the M vectors by age, the mean of the range between age 0 and the maximum observed age was computed to obtain the corresponding scalar value.
Using the estimated VBGF parameters, the length at which 50% of the cumulative catch is caught (Lc) and total mortality (Z) were estimated. Z was computed using:
Length Converted Catch Curve LCCC (Pauly 1990)
Beverton and Holt (B&H) formula (Beverton and Holt 1956).
LCCC estimates Z by plotting the natural logarithm (loge) of the number of specimens in the sample (N) against the relative age corresponding to the midrange of the length class in question [Δt is the time needed to grow from the lower (t1) to the upper (t2) limit of a given length class]:
In the second case (Beverton and Holt 1956), the Z value is calculated as follows:
A total of nine different M scalar values were calculated and then subtracted from the two Z values calculated using the LCCC and BH equations to provide a set of 18 different fishing mortality (F) values (Fig. 2) using the equation:
Gonads were removed, washed and weighed (gonad weight GW, to the nearest 0.01 g), macroscopically analyzed on board, then stored and transported to the Shanghai Ocean University laboratory for histological analysis. Gonads were assigned a macroscopic phase and sexed based on physical appearance and size following Brown-Peterson et al. (2011). We determined spawning season timing using a sex-specific gonadosomatic index (GSI) for mature fish. In this study, monthly mean GSI values were determined only for wahoo females as there were not sufficient data to report the GSI for male specimens. The GSI is a measure of temporal gonadal development and is calculated as follows:
The distribution of reproductive phases by month was also used to estimate the spawning season for female wahoo specimens, with the presence of fish in the mature-active phase indicating the spawning season. Females were assigned to a reproductive phase following the classification terminology described by Brown-Peterson et al. (2011) and were coded as immature (0) or mature (1). Maturity classification was determined either by the presence of cortical alveolar oocytes in reproductively active females or by the presence of atresia in reproductively inactive females. With this definition, a four-stage maturity classification (Jenkins et al. 2009; González-Gómeza et al. 2020) was established for female wahoo specimens: I (immature), II (maturing), III (mature-active) and IV (mature-inactive).
Mean length at 50% maturity was estimated for female wahoo collected in the Eastern Atlantic using a two-parameter logistic model:
Yield-Per-Recruit analysis known to compute reference points suitable for providing fisheries management recommendations (Beverton and Holt 1957) was adopted in this study. For the Eastern Atlantic wahoo stock, two reference points (F0.1 and E0.5) were adopted and proposed to be used for exploitation levels. Fishing mortality level F0.1 is the rate of F at which the slope of the yield per recruit curve is 10% of its original value (Gulland and Boerema 1973). E0.5 comes from Gulland (1971) who suggested a reference point in terms of the exploitation rate (E), particularly for pelagic stocks, with a value of E = F/Z = 0.5. The estimated parameter E was then compared with the reference value of 0.5 recommended as a threshold for sustainable exploitation for many fish species (Gulland 1971).
A total of 18 different YPR analyses, corresponding to 18 estimates of F, were conducted to extract respective F0.1 values. For all scenarios, Lc of selectivity was set as the length of 50% of the cumulative catch. The status of exploitation was estimated according to the ratio: current F/F0.1, for which values over 1 and current E > 0.5 indicate overfishing. The table summarizes the results obtained from the 18 scenarios (exploitation status), as well as their mean and median values. The stock status for each scenario was indicated with different colors based on E and F/F0.1 ratios. The points in green indicate the F/F0.1 ratio below or equal to 1 and E below or equal to 0.5. Points in red show that both references are over 1 and 0.5, while points in yellow indicate that one of the two references was over 1 (F/F0.1) or over 0.5 (E).
The Length-Based Bayesian biomass (LBB) method is a simple and fast approach that uses the Bayesian Monte Carlo Markov Chain (MCMC) method to provide a proxy of the relative stock size using only length-frequency data LFD (Froese et al. 2018). This approach provides estimates of Linf, length at first capture, relative natural mortality (M/K), and fishing mortality relative to natural mortality (F/M). LBB also estimates an approximation of current exploited biomass relative to unexploited biomass (B/B0) and the current relative stock size (B/BMSY). Our monthly LFDs were aggregated to an annual sample to perform analysis with LBB. The Linf prior was set equal to our best estimation from ELEFAN. In assigning M/K priors, K was set equal to our best estimation from ELEFAN, while the length at sexual maturity (FL50%) was set according to the values obtained in the “reproduction” section. The upper, lower, and median values of M were changed according to the nine methods previously used to estimate M. All other input parameters were set to the default values as mentioned by Froese et al. (2018).
Analyses for this study were performed using FiSAT II (Gayaillo et al. 2005), LFDA v 5, TropFishR and fishboot in R environment version 3.6.1 (Vienna 2020) and Microsoft Excel 2016.
As presented in Figure 2, we first estimated some biological parameters such as those of the weight–length equation. Scaling coefficient a and exponential coefficient b were estimated for all specimens, males and females. Growth was allometrically negative (b < 3) for combined sex and female specimens, whereas for male specimens the growth was isometric (b 3). Significant differences were observed in parameters a and b when comparing sexes (a, T = 3.23, p = 0.026; b, T = 4.11, p = 0.042).
Lengths ranged from 60 to 175 cm FL for male specimens and from 72 to 177 cm FL for female specimens. The smallest species recorded was 43 cm FL and was caught in March 2019, but its sex was not reported. When length data were aggregated, male and female wahoo specimens could be observed throughout sampling months, except for September where no female was recorded (Fig. 3). The heaviest wahoo specimen weighing 49.5 kg WW was a male, while the heaviest female wahoo captured during this study weighed 41 kg WW. The overall sex ratio of our sample was 1.53:1 in favor of female wahoo. The sex ratio obtained in this study differed significantly from 1:1 (χ2 = 4.63, p = 0.041). No significant differences in size parameters were observed between sexes (permutation test, p > 0.05).
Figure 3
Length frequency distribution (by sex) of wahoo in the Eastern Atlantic.

The specified initial ranges of K values from 0.1 to 1.5 and Linf values from 130 to 220 cm FL were implemented for the analyses in all packages and software tested in this study. Response surface procedures were used in both ELEFAN and SHEPHERD; those with parameters with the highest score (Rn) were ultimately selected as the best fit. The initial parameter search ranges for all methods represented values that fell within the pre-initial range (Table 2). The growth parameter estimates identified as the best fit for each method were used in the non-linear VBG equation to facilitate conversion from length to age distributions. AIC and BIC were then used to evaluate the results from each converted age distribution between the methods, hence the method with the lowest AIC and BIC values was the best performing method (Table 2). The selected method, which for this case study was the ELEFAN GA bootstrap, was then used to estimate the main growth parameters of wahoo. The main parameters obtained from this method and their confident intervals: Linf = 161.21 cm, FL 157.34–194.68; K = 0.47/year (0.14–0.65; Table 2).
Von Bertalanffy growth parameter (VBGP) estimates generated by various length-frequency analysis programs for the wahoo stock sampled in the Eastern Atlantic. Parameter estimates by different methods are presented with AIC and BIC values. NB: ELEFAN-FI and SHEPHERD (ELEFAN and Shepherd methods in FiSAT II), ELEFAN-LFDA (ELEFAN method in LFDA v 5), ELEFAN-GA, ELEFAN-SA (TropFishR package) and ELEFAN-GA-Bootstrap, ELEFAN-SA-Bootstrap (fishboot package).
| Methods | Parameter | Mean parameter estimate | AIC Score | BIC Score |
|---|---|---|---|---|
| ELEFAN-FI | L∞(cm) | 183.75 | −10602 | −10617 |
| k(year−1) | 0.69 | |||
| t0(years) | −0.518 | |||
| SHEPHERD | L∞(cm) | 175 | 987 | 965 |
| k(year−1) | 0.12 | |||
| t0(years) | −3.22 | |||
| ELEFAN-LFDA | L∞(cm) | 163.3 | −10583 | 10598 |
| k(year−1) | 0.57 | |||
| t0(years) | −0.652 | |||
| ELEFAN-G.A. | L∞(cm) | 159.94 | 805 | 790 |
| k(year−1) | 0.49 | |||
| tanchor(months) | 0.68 | |||
| ELEFAN-S.A. | L∞(cm) | 194.51 | −10309 | −10324 |
| k(year−1) | 0.08 | |||
| tanchor(months) | 0.54 | |||
| ELEFAN-SA-Bootstrap* | L∞(cm) | 201.56 | −10648 | −10663 |
| k(year−1) | 0.12 | |||
| tanchor(months) | 0.64 | |||
| ELEFAN-GA-Bootstrap* | L∞(cm) | 161.21 | −11407 | −11422 |
| k(year−1) | 0.47 | |||
| tanchor(months) | 0.64 |
The estimated maximum age recorded for combined sexes of this species was 10 years using the selected ELEFAN GA Bootstrap method (Table 3).
Estimated values for VBGP resulting from bootstrapped ELEFAN GA analysis, estimated length (cm) at age (from 0 to 10) and Φ’ by sex, previous results from different geographical areas and age estimation methods (LFDA – length frequency distribution analysis; otolith). F – female; M – male; CS – combined sex.
| Methods | Area | Growth parameters | Mean parameter estimate | Sex | Longevity (years) |
|---|---|---|---|---|---|
| LFDA: ELEFAN-GA-Bootstrap (this study) | Eastern Atlantic | L∞(cm) | 161.2 (CS); 166.5 (M); 164.9 (F) | CS | 10 |
| k(year)−1 | 0.47 (CS); 0.31 (M); 0.33 (F) | ||||
| Φ′ | 3.97 (CS); 3.34 (M); 3.76 (F) | ||||
| tanchor(months) | 0.64 (CS); 0.62 (M); 0.71 (F) | ||||
| Sectioned Otoliths (McBride et al. 2008) | Northwest Atlantic | L∞(cm) | 170.1 (CS); 155.5 (M); 179.7 (F) | CS | 9 |
| k(year)−1 | 0.381 (CS); 0.44 (M); 0.32 (F) | ||||
| Φ′ | CS (4.04) | ||||
| t0(years) | –1.63 (CS); –1.64 (M); –1.91 (F) | ||||
| Whole Otoliths (Zischke et al. 2013) | Coral Sea off eastern Australia | L∞(cm) | 149.9 (CS); 141.7 (M); 155.4 (F) | CS | 7 |
| k(year)−1 | 1.58 (CS); 2.31 (M); 1.18 (F) | ||||
| Φ′ | CS (4.55) | ||||
| t0(years) | –0.17 (CS); 0.002 (M); –0.37 (F) | ||||
| Whole Otoliths (Hogarth 1976) | West Central Atlantic | L∞(cm) | 215.1 (CS) | CS | 4 |
| k(year)−1 | 0.152 (CS) | ||||
| Φ′ | 3.21 (CS) | ||||
| t0(years) | –3.67 (CS) | ||||
| Whole Otoliths (Kishore & Chin 2001) | West Central Atlantic | L∞(cm) | 153.97 (CS) | CS | 10 |
| k(year)−1 | 0.34 (CS) | ||||
| Φ′ | 3.76 (CS) | ||||
| t0(years) | –1.54 (CS) | ||||
| LFDA: MULTIFAN (Lee T.M. 2008) | waters off eastern Taiwan | L∞(cm) | 156.8 (CS) | CS | 9 |
| k(year)−1 | 0.245 (CS) | ||||
| Φ′ | 3.43 (CS) | ||||
| t0(years) | –1.63 (CS) |
Table 3 shows that the estimates obtained in the present study did not significantly differ from other methods used in studies elsewhere.
The estimated VBGP and CIs (Table 3) using the ELEFAN GA bootstrapping method were obtained based on 1000 resamples. The range covered by the estimated CIs was wider, showing that uncertainty estimates for VBGP were sufficiently high. We could observe a larger deviation from the estimated value obtained for Linf and the upper CI bounds than the lower bounds for the case of Linf : Linf = 161.21 cm, FL (157.34–194.68); K = 0.47/year (0.14–0.65; Figure 4).
Figure 4
Uncertainty in growth parameters L∞ and K for wahoo in the Eastern Atlantic based on length-frequency analysis using the ELEFAN GA-Bootstrap method; N = 1000 bootstrap runs; outer contour – 95% confidence envelope; grey lines – Φ′ isopleths; marginal histograms show univariate density for both parameters.

As mentioned in the methods section, nine different methods used for M produced values ranging from 0.33 y−1 (Alverson_Carney) to 0.67 y−1 (Chen_Watanabe; Table 4). Z was estimated as 0.75 y−1 by the LCCC method and 0.80 y−1 by the Beverton and Holt formula. The combination of the two values of Z with nine values of M produced 18 different values for F, ranging from 0.08 y−1 (Chen_Watanabe) to 0.47 y−1 (Alverson_Carney; Table 4).
Estimated values of fishing mortality obtained from the equation: fishing mortality rate (F), total mortality rate (Z), and natural mortality rate (M).
| Method used to estimate M | Natural mortality | Method used to estimate Z | |||
|---|---|---|---|---|---|
| LCCC | Beverton and Holt (BH) | ||||
| M | Z | F | Z | F | |
| Gislason | 0.36 | 0.75 | 0.39 | 0.80 | 0.44 |
| ChenWatanabe | 0.67 | 0.08 | 0.13 | ||
| Brodziak_K | 0.37 | 0.38 | 0.43 | ||
| Pauly_Linf | 0.65 | 0.10 | 0.15 | ||
| Alverson_Carney | 0.33 | 0.42 | 0.47 | ||
| Then_1 | 0.64 | 0.12 | 0.17 | ||
| Then_2 | 0.44 | 0.31 | 0.36 | ||
| Hewitt Hoenig | 0.47 | 0.28 | 0.33 | ||
| Hoenig | 0.45 | 0.30 | 0.35 | ||
The reproductive analysis focused primary on wahoo females. Initially, average monthly female GSI data were used, and then reproduction phase distribution was applied to describe spawning seasonality for wahoo in this region. The linear relationship between the GSI and gonad-free body weight (WW–GW) for sexually mature specimens was significant (p = 0.03), but did not explain much of the variance (r2 = 0.02). Therefore, the GSI can be a good indication of the reproductive development for female wahoo. The mean GSI for females was elevated from December to January and then decreased by November (Fig. 5). As shown by the Tukey HSD test (p < 0.05), mean GSI values were significantly higher in December and January compared to all other months.
Figure 5
Monthly mean (± SE) gonadosomatic index (GSI) for mature females collected from the Tropical Eastern Atlantic.

All four reproductive stages (I–IV) were represented in the catches. Most females were maturing (stage II; 53%), while 22% were mature-inactive (stage IV), 20% were mature-active (stage III) and 5% were immature (stage I). Maturing female wahoo dominated in all months, except October and August. No female wahoo was recorded in September. Most mature-active females were observed from December to August, with the largest number between December and January and decreasing numbers in the following months (Fig. 6). This result indicates that wahoo in this region may be spawning in winter (December–January). Mature-inactive females were recorded in all sampled months, with a peak in December; maturing female wahoo specimens peaked in January (Fig. 6).
Figure 6
Monthly percentages of the four wahoo maturity classes. Numbers on class bars indicate the number of females in a given monthly interval.

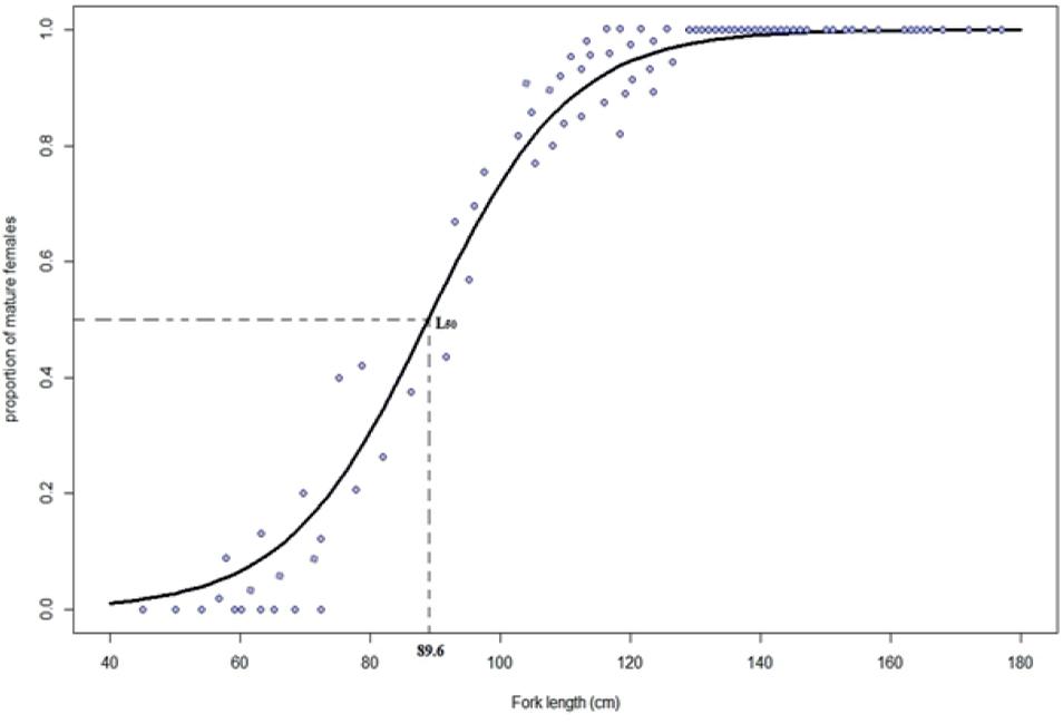
As reported in previous studies, wahoo grows faster at the early life stages, after birth. This was also demonstrated in this study, as larger wahoo specimens were also recorded at similar stages. The majority (95%) of female wahoo specimens sampled in our study were mature (including maturing, mature-active, and mature-inactive classes). The smallest mature female wahoo had a FL of 72 cm and weighed 10.2 kg WW, while the smallest mature-active female wahoo weighed 15.1 kg WW and had a FL of 105 cm. The fork length at 50% maturity (L50) for female wahoo estimated by the logistic regression was 89.6 cm (Fig. 7). This value corresponds to age at 50% maturity (A50) of approximately twelve months (≈ 1 year). This result indicates that more than 97% of female wahoo begins maturing at about 50% of their maximum fork length.
Figure 7
Percentage of mature female wahoo (n = 182) caught in the Eastern Atlantic was modeled using a logistic function. Length at maturity L50 represents the mean parameter estimate for FL at 50% maturity.

In total, eight out of the 18 estimates of the exploitation status indicated sustainable levels of fishing both in terms of F and E (Table 5). These included all four cases where the Then_2 and Hoenig methods were used and one case each where the Chen_Watanabe, Pauly_Linf, Then_1, and Hewitt Hoenig methods were used for the estimation of M from the BH-Z estimate. No estimate of the exploitation status simultaneously indicated overfishing, both in terms of F and E; four estimates of the exploitation status indicated overfishing in terms of F, and six in terms of E (Table 5). The mean and median stock status calculated using the LCCC method indicated slight overfishing and healthy condition, respectively, whereas both estimates of the mean and median stock status using the BH method indicated healthy condition (Table 5). Overall, our reference points indicate that the stock of wahoo in the Tropical Eastern Atlantic Ocean is not under any fishing pressure.
Per-recruit results. Current F/F0.1 and Current E references obtained for different Z and M parameters. Stock state indication per M method; green color indicates healthy state, red indicates overfished state, and yellow indicates one of the two references indicating overfished state.
| Z-M | Current F | F0.1 | Fmax | Current F/F0.1 | Current E | Stock state indication | |
|---|---|---|---|---|---|---|---|
| LCCC-Gislason | F1 | 0.36 | 0.47 | 0.53 | 0.77 | 0.52 | Overfished in terms of E |
| LCCC-ChenWatanabe | F2 | 0.67 | 0.49 | 0.59 | 1.37 | 0.11 | Overfished in terms of F |
| LCCC-Brodziak_K | F3 | 0.37 | 0.46 | 0.53 | 0.80 | 0.51 | Overfished in terms of E |
| LCCC-Pauly_Linf | F4 | 0.65 | 0.49 | 0.59 | 1.33 | 0.14 | Overfished in terms of F |
| LCCC-Alverson_Carney | F5 | 0.33 | 0.47 | 0.53 | 0.70 | 0.56 | Overfished in terms of E |
| LCCC-Then_1 | F6 | 0.64 | 0.50 | 0.58 | 1.28 | 0.15 | Overfished in terms of F |
| LCCC-Then_2 | F7 | 0.44 | 0.46 | 0.53 | 0.96 | 0.41 | Healthy |
| LCCC-Hewitt Hoenig | F8 | 0.47 | 0.46 | 0.54 | 1.02 | 0.37 | Overfished in terms of F |
| LCCC-Hoenig | F9 | 0.45 | 0.46 | 0.54 | 0.98 | 0.39 | Healthy |
| BH-Gislason | F10 | 0.44 | 0.49 | 0.56 | 0.90 | 0.55 | Overfished in terms of E |
| BH-ChenWatanabe | F11 | 0.13 | 0.53 | 0.62 | 0.25 | 0.17 | Healthy |
| BH-Brodziak_K | F12 | 0.43 | 0.49 | 0.56 | 0.88 | 0.54 | Overfished in terms of E |
| BH-Pauly_Linf | F13 | 0.15 | 0.53 | 0.62 | 0.28 | 0.19 | Healthy |
| BH-Alverson_Carney | F14 | 0.47 | 0.49 | 0.56 | 0.96 | 0.59 | Overfished in terms of E |
| BH-Then_1 | F15 | 0.17 | 0.54 | 0.62 | 0.31 | 0.21 | Healthy |
| BH-Then_2 | F16 | 0.36 | 0.49 | 0.57 | 0.73 | 0.45 | Healthy |
| BH-Hewitt Hoenig | F17 | 0.33 | 0.49 | 0.58 | 0.67 | 0.41 | Healthy |
| BH-Hoenig | F18 | 0.35 | 0.49 | 0.58 | 0.71 | 0.43 | Healthy |
| Median-LCCC | 0.98 | 0.40 | Healthy | ||||
| Mean-LCCC | 1.02 | 0.35 | Overfished in terms of F | ||||
| Median-BH | 0.71 | 0.43 | Healthy | ||||
| Mean-BH | 0.63 | 0.39 | Healthy |
Exploitation ratios following the traditional approach: Ec = F/Z; Ecurrent > 0.5 indicates overfishing; Fcurrent > Fmax and Fcurent/F0.1 > 1 indicate overfishing.
The main results obtained from the LBB analyses are presented in Table 6. Linf ranged between 164 cm (Alverson_Carney) and 165 cm (Then_2 and Chen and Watanabe); M/K ranged from 0.73 (Alverson_Carney) to 1.3 (Chen and Watanabe) and F/M ranged from 0.40 (Chen and Watanabe) to 1.48 (Alverson_Carney). No significant differences in the estimated values were observed between values obtained by LBB and our main analysis (Tables 3 and 4). According to LBB, the wahoo stock status is healthy (all M scenarios tested; B/B0 0.56–0.76 and B/BMSY 1.3–1.9). The estimated Lc50 indicates that most specimens were captured at least after reaching the size at first maturity (FL50% = 89.6 cm; Table 6).
Wahoo fishery status in the Tropical Eastern Atlantic Ocean presented by LBB (Linf, Lc50, F/M, M/K, and B/B0 and B/BMSY and their respective 95% confidence intervals; numbers in parentheses) under different M scenarios.
| Scenarios | M/K* | Linf (CI) | M/K (CI) | F/M (CI) | Lc50 (CI) | B/BMSY (CI) | B/B0 (CI) | Stock status |
|---|---|---|---|---|---|---|---|---|
| M/K Median (Then_2) | 0.94 | 165 (164–167) | 0.89 (0.79–1.02) | 0.76 (0.48–1.1) | 115 (112–118) | 1.4 (0.38–3.1) | 0.58 (0.16–1.3) | Healthy |
| M/K Upper (Chen and Watanabe) | 1.42 | 165 (164–167) | 1.3 (1.17–1.44) | 0.4 (0.26–0.67) | 120 (116–124) | 1.9 (0.53–3.8) | 0.76 (0.21–1.6) | Healthy |
| M/K Lower (Alverson_Carney) | 0.70 | 164 (163–165) | 0.73 (0.57–0.86) | 1.48 (1–2.24) | 112 (109–115) | 1.3 (0.35–3.3) | 0.56 (0.15–1.4) | Healthy |
Wahoo Acanthocybium solandri has been fished in this region for the past three decades without any proper stock management or assessment, mainly due to lack of sufficient information on life history of this species, especially in the Eastern Atlantic Ocean. The International Commission for the Conservation of Atlantic Tunas ICCAT (2019) has recently introduced a data collection platform for small tunas, including wahoo (ICCAT Small Tuna Year Program, SMTYP), with objectives to assess these stocks later (SCRS 2017). ICCAT is concerned that this species may soon reach overfishing levels due to many increasing industrial and artisanal catches (ICCAT 2019). The present work used multiple methods to address the life history of this species. Biological reference points indicated that the stock was not exposed to any fishing pressure. The advanced LBB method used in this study to compare the results from the original analysis corroborates the findings from the reference points. Furthermore, the estimated growth parameters from LBB were not significantly different from those obtained in the original analysis. The results of the present study on the life history and reproduction of wahoo in the Tropical Eastern Atlantic Ocean may well contribute to our knowledge of the biological and fisheries aspects of this species. In addition, stock status proxies obtained in our analysis may contribute to improved resource management.
This study used a length-frequency multi-package approach to estimate different growth parameters of wahoo in the Tropical Eastern Atlantic Ocean. Moncrief et al. (2018) and Pantazi et al. (2020) showed that the application of many methods describes growth more accurately than just a single method. This approach also allows us to identify which LFA package is optimal for determining the growth of similar species. We chose to use packages such as FiSAT II, LFDA and TropFishR based on their frequent occurrences in the fisheries literature, as well as the recently released fishboot package. ELEFAN-GA-Bootstrap provided the lowest AIC and BIC score. This is not surprising as this method is fitted based on a more complex fitting routine, including bootstrapping and the genetic algorithm compared to others (Scrucca 2013; Schwamborn et al. 2019).
An advantage of the ELEFAN-GA-Bootstrap method is the ability to estimate growth parameters with confidence intervals, which greatly improves the precision of estimated parameters and consequently reduces uncertainty to a certain degree (Schwamborn et al. 2018; Herrón et al. 2018; Schwamborn et al. 2019). The estimated values of obtained in the present study were within the range of previously reported growth parameters (Table 2). This may be a result of setting our initial search ranges of K (0.1–1.5 year−1) and Linf (130–220 cm) used as input for the bootstrapped method, including values from the literature on the wahoo growth. No significant differences were observed in the size structure between male and female wahoo in this study. All individuals grew quite large, although females dominated in the sex ratio, which is apparent for wahoo species as previously reported by Hogarth (1976), Oxenford et al. (2003), McBride et al. (2008), Zischke et al. (2013a). Estimates of Linf were ~90% of the maximum wahoo sampled in this study, greater than values obtained by Zischke et al. (2013a) in the Coral Sea and smaller than Linf reported by McBride et al. (2008) from the Northwest Atlantic. However, the results obtained in these two wahoo studies were within the 95% CI that we obtained with our bootstrap method. The maximum recorded weight (WW = 49.5 kg) in this study was 51.3% of the maximum world record for wahoo from the Pacific Ocean (96.4 kg; Theisen et al. 2008). Our heaviest recorded fish was larger than those in previous reports from the Coral Sea (40.1 kg) and the Northwest Atlantic (46 kg). This suggests that wahoo may be characterized by rapid growth or that longlines were set in positions favorable to larger fish in the study area compared to reports on this species from other areas. Moreover, the weight recorded in this study is the heaviest ever reported from the Atlantic.
The estimated values of observed in this study were smaller than those from previous wahoo studies, but were within the confidence intervals estimated here (Table 3), except for high values reported by Zischke et al. (2013a). They recorded the highest values of both parameters ever observed for wahoo. Zischke et al. (2013a), with a sample size of 395 wahoo specimens, explained this high value by the fact that previous studies did not obtain small wahoo specimens and that ageing and modeling methods were unable to estimate growth at early life stages. Our results do not corroborate their rationale, because we had smaller wahoo specimens (< 70 cm FL) and our final model included these smaller species in the analysis. McBride et al. (2008) and Lee (2008) also had smaller wahoo individuals in their samples, but they obtained values relatively comparable to those observed in this study. We believe that sample size and geographical locations may account for the differences observed in our study and those in the study from the Coral Sea. Based on all these analyses of growth parameters in previous studies and in our study, we can cautiously conclude that many of the differences observed in wahoo studies worldwide may be due to differences in sampling locations, sampling years, sample size, and aging methods.
The range of outputs estimated from the present study underlines the necessity of using a multi-method/comprehensive approach to study data-limited fisheries. Previous studies on the biology of the wahoo stock used a single method to estimate life history parameters, but with much larger and balanced datasets, and thus their results were more reliable (Jenkins and McBride 2009; Zischke et al. 2013b). In our study, we used a multi-method approach through a stepwise process, with the most pronounced example being the estimation of the natural mortality rate (M), for which we used nine different methods. Such a parallel implementation of several methods for M is not usually applied (Kenchington 2014), and the M value is typically calculated using only one of a number of M equations. The wide range of our results demonstrates the great variability that exists across these nine approaches used and the complexity of identifying the most suitable one. The use of different M estimators is often recommended for reducing bias, errors, underestimations and uncertainties of the methods applied.
Spawning of wahoo in the Tropical Eastern Atlantic appears to occur at a different time from that observed in many previous studies. The average female GSI reported in the present study reached its peak in January and declined in the following months. Our results show that wahoo in this region may spawn in winter (starting from December to February). The presence of the largest number of mature and active specimens during this period confirms the spawning results from this region. Many previous studies reported wahoo spawning in summer (Brown-Peterson et al. 2000; Jenkins and McBride 2009; Viana et al. 2013). Zischke et al. (2013b) reported a spring spawning season for wahoo near the Bahamas. A report by Iversen and Yoshida (1957) corroborates our findings, as they reported that wahoo in the central Pacific Ocean spawns in both spring and winter, and Luan et al. (2017) reported peak spawning for wahoo in the southeastern Pacific in December. The decline in the GSI observed in the present study in March–November (no female wahoo was collected in September) could be attributed to fewer samples available, changes in regional temperatures or food availability.
The present study also reported the smallest ever observed length at maturity (Lmat = 72 cm FL). Brown-Peterson et al. (2000), Hogarth (1976), Jenkins and McBride (2009) reported higher Lmat in the Atlantic: 97.5, 102 and 88 cm FL, respectively. The length at first maturity (L50%) for female wahoo reported in this study is the same as that reported by Figuerola-Fernandez et al. (2008) for females in Puerto Rico (L50% = 89.6 cm FL). The L50% documented in our study was also the smallest in the Atlantic Ocean. Higher values of L50% were reported by Hogarth (1976), Brown-Peterson et al. (2000), Jenkins and McBride (2009), and Viana et al. (2013): 101, 102, 92.5, and 110 cm FL, respectively, for other areas in the Atlantic. Off the east coast of Australia, Zischke et al. (2013b) reported Lmat for female wahoo as 95 cm FL and estimated L50% of 104.6 cm FL. The main reasons for these differences between previous and our studies may be due to maturity group classification protocols. We followed the same maturity classification criteria (four groups) as Jenkins and McBride (2009), and perhaps this is why Lmat and L50 observed in our study differed less compared to other studies that used up to six or more maturity classification criteria. Moreover, our study used more samples of wahoo < 80 cm FL than other studies with mainly high proportions of adults in their samples. The length at first sexual maturity is an important parameter in adopting conservation and management measures for any fish stock, so this parameter is of utmost importance and should be effectively incorporated into stock assessments for this region. When the estimated L50% was fixed in the LBB model, the model presented length at first capture for all scenarios – Lc50 = (112–120 cm FL) – higher than L50% (89.6 cm FL), indicating that most of the species caught were mature.
The YPR analysis with respect to different M values suggested that the Eastern Atlantic stock was basically in healthy condition. The ratios of fishing mortality and exploitation level derived from the YPR analysis could well serve as important biological reference points (BRPs) for the management of stocks for which less information is available or data are insufficient, including bycatch/non-target species such as wahoo in the Eastern Atlantic. In addition, this analysis shows how M can affect BRP values and can lead to bias or uncertain outputs, consequently affecting management. Therefore, using a set of M equations (values), to serve as a range of priors in assessment models, would help account for the uncertainty of this complex parameter, as this study shows that different M values produce different values of BRPs. Furthermore, we compared the results by running the relevant data-limited LBB method, which also assessed that wahoo stock was in healthy condition in all scenarios tested in this study. Kindong et al. (2020) also reported that wahoo was not exposed to any fishing pressure in the Tropical Eastern Atlantic Ocean, although they used length composition data from only one year (June 2019 to May 2020) in their analysis.
This work provides updated and much needed biological and fishery information on wahoo in the Eastern Atlantic. The ELEFAN-GA-Bootstrap method provided the best growth estimates with confidence intervals. Nine natural mortality methods were used to obtain all possible M ranges for wahoo. Considering M ranges as priors is essential for subsequent analyses, since M is a difficult parameter to estimate. This study also estimated a spawning season and length-at-maturity of wahoo in the Eastern Atlantic. Wahoo in this region reached 50% maturity at ~12 months. This study shows that the wahoo stock in the Eastern Atlantic is in healthy condition, thus management plans may take this into consideration to provide management recommendations. The methodological process presented in this study shows the importance of applying numerous methods to estimate life history parameters as this reduces uncertainties in these parameters. Although the results provided by length-frequency analysis proved effective when compared to the results obtained using the LBB method and those from previous studies, we believe that caution should be exercised when implementing these methods for wahoo and other pelagic populations. It is possible to obtain erroneous results, as was the case with ELEFAN in FiSAT, LFDA, and Shepherd methods in this study. We also suggest that in the future, otolith-based aging methods be used to determine growth parameters for wahoo in this region to obtain reliable growth parameters as input for use in traditional stock assessment. Given the increase in wahoo catches worldwide, and their social and ecological importance to people living in coastal countries, we believe this species should be considered a priority for future management and assessment.