Figure 1

Figure 2

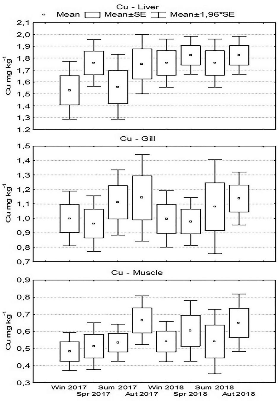
Figure 3

Figure 4

Figure 5

Levels of heavy metals in mullet species from different regions of the world (mean ± SE mg · kg−1 ww)_
| Tissue | Species | Study Area | Cd | Cu | Pb | Zn | Reference |
|---|---|---|---|---|---|---|---|
| Liver | L. aurata | Ca’diz Bay (Spain) | 0.14-0.51 | 13.7-64.0 | 0.25-0.48 | 30.6-81.8 | Usero et al. (2003) |
| L. aurata | *Caspian Sea (Iran) | 1.07 ±0.68 | 160.39 ± 40.01 | 2.60 ±0.76 | 78.97 ± 29.93 | Jelodar et al. (2011) | |
| L. aurata | Akyatan Lagoon (Türkiye) | 0.07 ±0.01 | 19.0 ±3.12 | 0.53 ±0.06 | 23.9 ± 1.88 | Türkmen et al. (2012) | |
| L. aurata | *Sfax Coast (Tunisia) | 0.55 ±0.01 | 7.28 ± 1.12 | 0.57 ±0.14 | 127.5 ±0.06 | Salem and Ayadi, (2016) | |
| L. aurata | Payas Coast, (Türkiye) | 0.66 ±0.14 | 21.11 ± 12.20 | 2.74 ± 1.50 | 46.09 ± 25.69 | Turan et al. (2022) | |
| Mugi? ceph al us | *Damietta Port (Egypt) | 1.08 ±0.15 | 1.90 ± 0.08 | 2.31 ±0.15 | 21.42 ± 1.56 | Monier et al. (2023) | |
| L. aurata | Bizerte Lagoon (Tunisia) | 1.44 ±0.27 | 47.88 ±4.66 | 2.04 ±0.27 | 127.29 ± 13.8 | Telahigue et al. (2024) | |
| L. aurata | Bardawil Lake (Egypt) | 0.48 ± 0.43 | 19.64 ± 17.12 | 0.43 ±0.37 | 9.I7± 5.51 | Zaghloul et al. (2024) | |
| Mullet | Rabat Estuary (Morocco) | 0.0439 | 0.1806 | 0.0272 | 3.586 | Aarabi et al. (2024) | |
| L. aurata | Urla, Izmir (Türkiye) | 0.896 ±0.02 | 1.721 ±0.038 | 1.892 ±0.006 | 23.266 ± 0.22 | This study | |
| Gill | L. aurata | *Caspian Sea (Iran) | 0.90 ±0.59 | 5.53 ± 1.01 | 3.61 ±0.70 | 60.14 ± 2 6.60 | Jelodar et al. (2011) |
| L. aurata | Akyatan Lagoon (Türkiye) | 0.08 ± 0.00 | 2.27 ±0.43 | 0.40 ±0.06 | 14.2 ± 1.45 | Türkmen et al. (2012) | |
| L. aurata | *Gasthani Estuary (India) | 0.7 | - | 1.8 | 252.7 | Gawade et al. (2013) | |
| L. aurata | *Sfax Coast (Tunisia) | 0.30 ±0.03 | 0.04 ± 0.00 | 1.97 ±0.35 | 171.2 ±0.02 | Salem and Ayadi (2016) | |
| L. aurata | Bizerte Lagoon (Tunisia) | 0.88 ± 0.07 | 8.92 ±0.76 | 1.94 ±0.31 | 117.44 ± 19.9 | Telahigue et al. (2024) | |
| Mullet | Rabat Estuary (Morocco) | 0.0064 | 0.0712 | 0.0193 | 2.506 | Aarabi et al. (2024) | |
| L. aurata | Urla, Izmir (Türkiye) | 0.741 ±0.043 | 1.050 ± 0.04 | 0.878 ±0.019 | 15.226 ± 0.41 | This study | |
| Muscle | L. aurata | Ca’diz Bay (Spain) | 0.013–0.030 | 0.20–0.60 | 0.03–0.05 | 3.10–8.41 | Usero et al. (2003) |
| L. aurata | *Caspian Sea (Iran) | 0.35 ±0.23 | 4.54 ± 1.07 | 1.50 ±0.53 | 13.69 ± 7.23 | Jelodar et al. (2011) | |
| L. aurata | Akyatan Lagoon (Türkiye) | 0.06 ± 0.00 | 0.80 ±0.13 | 0.41 ±0.05 | 7.16 ± 0.98 | Türkmen et al. (2012) | |
| L. aurata | *Gasthani Estuary (India) | 0.7 | - | 1.8 | 252.7 | Gawade et al. (2013) | |
| L. aurata | Tagus Estuary (Portugal) | 0.01-0.02 | <dl | 0.11–0.30 | 16–19 | Maulvault et al. (2015) | |
| L. aurata | Sinop (Türkiye) | <0.02 | <0.5 | <0.05 | 2.9 | Bat etal. (2015) | |
| L. aurata | *Sfax Coast (Tunisia) | 0.10 ±0.05 | nd | 0.17 ±0.05 | 106 ± 0.21 | Salem and Ayadi (2016) | |
| L. aurata | *Aegean Sea (Türkiye) | 0.001-0.004 | nd—0.058 | nd—0.039 | 0.138–0.555 | Aydin-Önen and Öztürk (2017) | |
| L. a u rota | Pa yas Coast, (Türkiye) | 0.091 ±0.05 | 1.553 ±0.31 | 0.579 ±0.25 | 20.18 ± 6.97 | Turan et al. (2022) | |
| L. ourata | Caspian Sea (Iran) | 0.036 | 1.87 | 0.971 | 7.41 | Hosseini et al. (2022) | |
| M. ceph al us | *Damietta Port (Egypt) | 0.64 ± 0.01 | 1.28 ±0.07 | 1.48 ±0.39 | 16.02 ± 1.01 | Monier et al. (2023) | |
| L. ourata | Bizerte lagoon (Tunisia) | 0.59 ± 0.09 | 9.44 ±0.85 | 1.15 ±0.13 | 70.98 ± 7.86 | Telahigue et al. (2024) | |
| L. ourata | Bardawil Lake (Egypt) | 0.38 ± 0.09 | 0.59 ±0.08 | 0.36 ±0.12 | 5.28 ±4.32 | Zaghloul et al. (2024) | |
| Mullet | Rabat Estuary (Morocco) | 0.0046 | 0.0103 | 0.0088 | 0.1648 | Aarabi et al. (2024) | |
| M. ceph al us | Manzala Lake (Egypt) | 0.12 ±0.02 | - | 0.87 ±0.15 | - | Abd-Elghany et al. (2024) | |
| L. ourata | Urla, Izmir (Türkiye) | 0.388 ±0.013 | 0.566 ±0.026 | 0.643 ±0.016 | 4.750 ±0.123 | This study |
Guideline-based estimated exposures and human health risks of heavy metals in muscle tissue of L_ aurata_
| Metals | ΣTHQh | |||||
|---|---|---|---|---|---|---|
| Cd | Cu | Pb | Zn | |||
| PTWIa | 0.007 | 3.5 | 0.025 | 7 | ||
| PTWIb | 0.49 | 245 | 1.75 | 490 | ||
| PTDIc | 0.07 | 35 | 0.25 | 70 | ||
| Mean. Cons. (mg · kg−1) | 2017 | 0.324 | 0.548 | 0.648 | 4.709 | |
| 2018 | 0.452 | 0.584 | 0.638 | 4.795 | ||
| EWId | 2017 | 0.648 | 1.096 | 1.296 | 9.418 | |
| 2018 | 0.904 | 1.168 | 1.276 | 9.590 | ||
| EDIe | 2017 | 0.092 | 0.156 | 0.185 | 1.345 | |
| 2018 | 0.129 | 0.166 | 0.182 | 1.370 | ||
| CRf | 2017 | 3.52 × 10−5 | - | 1.58 × 10−6 | - | |
| 2018 | 4.91 × 10−5 | - | 1.55 × 10−6 | - | ||
| THQg | 2017 | 0.092 | 0.004 | 0.044 | 0.004 | 0.144 |
| 2018 | 0.129 | 0.004 | 0.045 | 0.004 | 0.182 | |
Average concentrations of heavy metals in muscle, gill, and liver of L_ aurata (mg · kg−1 ww)_
| Tissue | Periods | Cd | Cu | Pb | Zn |
|---|---|---|---|---|---|
| (mean ± SE) | (mean ± SE) | (mean ± SE) | (mean ± SE) | ||
| Muscle | 2017 | 0.324 ± 0.019a | 0.548 ± 0.032a | 0.648 ± 0.019a | 4.709 ± 0.166a |
| 2018 | 0.452 ± 0.013b | 0.584 ± 0.041a | 0.638 ± 0.027a | 4.795 ± 0.185a | |
| Gill | 2017 | 0.591 ± 0.035a | 1.053 ± 0.057a | 0.844 ± 0.030a | 15.795 ± 0.673a |
| 2018 | 0.631 ± 0.023a | 1.047 ± 0.056a | 0.912 ± 0.022a | 14.658 ± 0.493a | |
| Liver | 2017 | 0.862 ± 0.029a | 1.650 ± 0.061a | 1.871 ± 0.111a | 23.133 ± 0.268a |
| 2018 | 0.930 ± 0.027a | 1.792 ± 0.044a | 1.913 ± 0.083a | 23.400 ± 0.364a |