Blended-wing-body (BWB) aircraft are being revisited as a potential pathway to improve transport efficiency; however, any advantages are configuration- and mission-dependent and must be weighed against development risk and certification complexity. While lifting-body integration can reduce wetted area and reshape the lift–drag trade space relative to tube-and-wing aircraft, net aerodynamic benefit may be modest once structural, control, and operational constraints are accounted for. BWBs also introduce a different internal packaging trade space; however, passenger-cabin feasibility is constrained by available thickness (t/c) and cabin-height requirements across the platform. Alternative-energy integration should therefore be treated as a system-integration trade space rather than a BWB-only enabler: some storage concepts may benefit from blended-volume geometry, but comparable storage strategies can also be pursued within advanced tube-and-wing configurations.
Trade-offs and cabin-architecture implications are central to the feasibility of passenger BWBs. The non-cylindrical cabin geometry can introduce disadvantages that offset perceived packaging benefits, including limited window access for many seats and potentially different motion cues at spanwise seat locations (e.g., higher vertical/lateral accelerations under roll dynamics). Safety and operations are also more challenging: emergency egress and ditching considerations become inherently more complex because passenger flow must redistribute laterally to reach perimeter exits under congestion and potential exit loss. These implications make evacuation performance a feasibility gate – not a secondary detail – and motivate robustness-oriented evaluation rather than reliance on nominal-layout timing.
Passenger BWB feasibility remains debated beyond evacuation. Recent critiques argue that certification may be constrained by factors such as stability/control integration, take-off rotation and landing-gear integration, and ditching considerations, and caution against assuming large fuel-burn reductions for passenger BWBs [1]. Accordingly, the present work does not claim that BWBs are a preferred passenger architecture or that overall certification is assured. Instead, a BWB-style, wide, non-cylindrical cabin is used as a stress-test geometry to develop and demonstrate certification-style evacuation robustness evidence under the FAA 90 s requirement, focusing on mechanisms and mitigations that are decision-relevant in early cabin/egress trade studies.
This renewed attention is also driven by decarbonization constraints. Aviation’s climate impact is not limited to CO2, and non-CO2 effects – especially contrail-cirrus – can materially influence net warming, increasing the value of configurations and operations that reduce total energy demand, and enable climate-aware operational strategies [2,3]. Sector pathways toward climate neutrality increasingly treat configuration, fuels, and operations as coupled decisions rather than separable “technology swaps,” strengthening the motivation to evaluate efficiency-forward platforms alongside alternative-energy architectures [4,5]. Accordingly, BWBs are frequently discussed in hydrogen and alternative-energy debates because volume and system-integration constraints are feasibility bottlenecks for long-range decarbonization, even though BWB geometry is not the only pathway to viable storage solutions [6,7].
However, certification – not performance promise – is the decisive gate for passenger BWBs, and emergency evacuation is among the most demanding. A configuration can appear attractive in fuel-burn and emissions analyses yet fail to mature if emergency egress cannot be demonstrated with certification-style credibility – particularly for wide and unconventional cabins where spanwise circulation, cross-flows, and exit distributions can produce complex congestion and uneven exit utilization. The long-standing 90-second evacuation rule has also been questioned for representativeness given modern passenger demographics and behavior, underscoring that compliance is not merely a nominal timing target but an evidence standard under uncertainty and degraded conditions [8]. Behavioral mechanisms often treated as secondary – such as overtaking and luggage retrieval – can materially degrade flow and amplify bottlenecks, pushing performance into the tail-risk regime relevant for pass/fail decisions [9]. Perception and decision processes can further reshape route choice and clearance time, challenging deterministic compliance narratives [10].
Against this background, a key limitation in evacuation modeling is that results are still often communicated as single-case predictions or narrow scenario comparisons, whereas certification decisions are inherently robustness decisions. Deterministic simulations can mask sensitivity to uncertainty in pre-movement time, walking speeds, exit-choice behavior, visibility, and exit availability – precisely the drivers that shift outcomes toward non-compliance. Safety-science work emphasizes evacuation analysis as an uncertain inference and decision-support problem, where unmodeled variability can lead to overconfident safety conclusions [11]. Although uncertainty propagation and sensitivity methods are increasingly used in safety-critical evacuation contexts, they are not yet consistently translated into certification-aligned evidence logic for aircraft cabin evacuation [12,13]. Three consequential gaps remain: (i) probability-of-compliance framing is limited, with many studies emphasizing mean evacuation time rather than threshold compliance likelihood under credible uncertainty [11]; (ii) traceability from assumptions to outputs to certification evidence is often weak, reducing auditability and decision utility [8,13]; and (iii) relatively few studies close the loop from uncertainty drivers to design levers – exit topology, cross-aisle structure, zoning, and operational guidance – so results directly support robust design choices rather than post hoc explanation [10].
This study frames BWB evacuation as a certification-style robustness problem under 14 CFR §25.803: beyond “what is the evacuation time?”, it asks “what is the probability of compliance, and which design and operational choices increase that probability with margin under stress?” The framework quantifies PoC for a representative wide, non-cylindrical cabin, identifies dominant uncertainty drivers via uncertainty propagation and sensitivity analysis, and translates these findings into robust design levers. A central evacuation-specific result is that wide cabins are vulnerable to exit-demand imbalance and discharge-capacity limitations under exit loss and compound stress, and that robustness improves primarily through demand-redistribution and capacity-preserving measures (cross-aisles, zoning, guidance, and exit-capacity allocation). The aerospace implications are direct: results inform early cabin/egress trade studies – exit spacing and cross-aisle placement, aisle/zone geometry and compartmentation, exit-capacity allocation, and guidance/crew procedure robustness – so evacuation feasibility is evaluated alongside aerodynamic, structural, and decarbonization choices rather than after the fact [2,5,14].
The available sources do not directly address 14 CFR §25.803 or provide a complete explanation of the 90-second evacuation requirement; accordingly, the certification logic here is inferred from evacuation risk research and simulation-based evidence. Evacuation compliance is not determined by cabin geometry alone: pre-evacuation delay, route-choice behavior, and environmental cues can dominate total time under strict thresholds [15,16]. BIM-enabled and simulation-centered approaches support traceable, design-linked evacuation evidence, but deterministic claims are fragile because evacuees often deviate from “nearest-exit” behavior [17,18]. Computational evacuation modeling is therefore used to estimate time distributions and diagnose bottlenecks even when regulatory text is not explicitly analyzed [19], motivating an uncertainty-aware assessment for BWB cabins.
Recent evacuation modeling increasingly prioritizes agent-based models (ABMs) because they take into account heterogeneous behavior, interpersonal interactions, congestion, and emergent group effects that materially shape evacuation outcomes [20,21]. The literature also trends toward microscopic and hybrid approaches, reflecting the limits of any single paradigm for realistic crowd behavior [21]. Within ABMs, social force extensions model leader- and group-centered motion [22], while extended floor-field cellular automata improve realism for group evacuation dynamics [23]; complementary information-theoretic methods can detect emergent leadership/coordination patterns [24]. Although network/queuing and continuum models appear less developed in the current corpus, routing/optimization is promising but constrained by behavioral complexity, motivating decision-grade pipelines that integrate human factors with optimization [25,26].
The literature emphasizes that evacuation analysis must treat uncertainty explicitly because outcomes vary with (i) parameter uncertainty (e.g., reaction time, walking speed, compliance), (ii) input variability (e.g., population composition, group behavior), and (iii) scenario uncertainty (e.g., exit availability, visibility conditions) [27]. Ignoring these sources can make deterministic simulations overconfident and misleading for safety decisions [28]. Monte Carlo simulation is widely used to propagate uncertainty through evacuation models, and methodological reviews confirm its common role in safety-oriented uncertainty handling [29]. To identify what most drives compliance risk, studies recommend sensitivity analysis, especially variance-based approaches such as Sobol indices and screening methods such as Morris, which isolate dominant contributors to variability and failure probability [30]. However, practical application is limited by scarce behavioral calibration data, coordination burdens, and weak translation of uncertainty outputs into decisions [31]. These constraints motivate a robustness framing that reports tail performance and probability of compliance, not only mean evacuation time.
Evidence for direct BWB evacuation remains limited, but the literature shows that wide, complex interiors generate nonlinear congestion and behavior-driven inefficiencies that invalidate geometry-only inference. Spatial configuration governs congestion formation and exit utilization, so evacuation time cannot be deduced from layout alone [32]. Grouping and social effects further increase variability: group dynamics can raise evacuation times (~15–22%) and detour distances (~17–25%) in some conditions [33], while social influence can reduce signage detection and distort route choice away from “optimal” predictions [34]. Broader pedestrian findings likewise show speed and routing vary with demographic/contextual factors and interactions [35]. Critically, evacuees often do not choose the nearest exit or follow intended paths, motivating the use of probabilistic models of exit choice and premovement behavior [18]. For BWB cabins – where spanwise exit spacing, cross-aisles, and compartment-like zones are pronounced – these effects reinforce the need for behavior-sensitive, uncertainty-aware certification evidence.
The literature supports three pillars for certification-style BWB evacuation research. (1) Outcomes are behavior-dominated: pre-evacuation delay, group effects, and non-nearest-exit choices repeatedly shape total evacuation time [16,18,34]. (2) Microscopic/agent-based models dominate because they capture interaction and congestion realistically, yet integration with optimization and certification-ready evidence pipelines remains limited [20,23,26]. (3) Uncertainty quantification is increasingly necessary to avoid overconfident deterministic claims and to support robustness using probability-of-compliance and tail-risk metrics [27–29]. The corpus also lacks explicit, source-grounded treatment of 14 CFR §25.803, motivating this study’s positioning as an uncertainty-aware robustness contribution that operationalizes compliance via PoC, emphasizes tail risk, and uses scenario stress testing to connect layout and behavioral uncertainty to certification-relevant conclusions.
This study frames BWB evacuation certification as a traceable, evidence-driven decision pathway that connects design choices and uncertainty sources to certification-relevant compliance outcomes (Figure 1). Inputs comprise both controllable cabin design variables – such as exit distribution, cross-aisle configuration, and zoning – and key uncertainty factors, including population mix, pre-evacuation delay, walking speed, exit-choice behavior, and scenario conditions (e.g., exit availability and visibility). These inputs shape evacuation dynamics, where interaction effects, congestion formation, and group/leadership behavior govern crowd flow and exit utilization. Evacuation dynamics are then translated into performance metrics, including evacuation time distributions, tail percentiles, congestion indices, and exit-balance/throughput measures. Metrics are aggregated across uncertainty realizations and stress scenarios to estimate compliance probability, defined as the likelihood of meeting the 90-second requirement under credible operating conditions. Finally, the compliance probability output supports robust design decisions by identifying layout and operational levers that sustain compliance margins despite variability, enabling iterative refinement of design assumptions and configurations as needed.

Certification-style conceptual framework for blended wing body (BWB) evacuation compliance under uncertainty.
This study adopted a computational–empirical (simulation-based) research design that is explicitly certification-aligned, scenario-driven, and uncertainty-aware, treating evacuation assessment as an evidence-generation problem rather than a single deterministic prediction. Model credibility is structured using a VVUQ-oriented logic (verification, validation, and uncertainty quantification) to make assumptions explicit, assess numerical reliability, and quantify uncertainty in an auditable and decision-relevant manner [36]. Uncertainty is propagated through repeated simulation runs per scenario to estimate the evacuation-time distribution and tail behavior under a strict pass/fail criterion, enabling direct computation of certification-style probability of compliance
A regulatory interpretation framework was used in this study. For a certificationstyle interpretation of 14 CFR §25.803, compliance is operationalized as T ≤ 90 s, where Tis measured from the start of the evacuation command (time zero) to the time the last occupant exits to the outside/clear area. “Exit unavailable” is modeled as a binary condition (available/unavailable) with zero discharge capacity when blocked. The “required exits” set corresponds to the baseline active exit set used in S0; stress scenarios implement exit unavailability by removing one exit per run (random single-exit loss, S1) or removing a fixed targeted exit (AFT-C blocked, S2), with the compound case (S7) applying the same targeted exit loss in combination with additional stressors. This framing ensures that scenario definitions, reported PoC values, and tail exceedances are traceable to a consistent compliance rule and a reproducible exit-availability model.
To prioritize which uncertain inputs most strongly drive non-compliance risk, the design incorporates global sensitivity analysis to identify dominant drivers and support defensible mitigation priorities and robust design choices [37]. Overall, the approach positions simulation outputs as a traceable basis for certification-style robustness arguments under uncertainty, consistent with credibility considerations emphasized in engineering decision-support modeling [38].
The unit of analysis is a single blended-wing-body (BWB) passenger-cabin configuration defined by its interior layout (exit set/placement, cross-aisles, zoning/compartment logic, and aisle geometry) evaluated under stated occupancy, loading, and operating assumptions. The scope targets transport-category cabin concepts assessed in a certification-style frame anchored to 14 CFR § 25.803, using a consistent compliance operationalization for traceable scenario comparisons: evacuation completion time. T is measured from the evacuation command (time zero) to the last occupant reaching the outside/clear area, with compliance defined as T ≤ 90 s and summarized as
To remain design-relevant at the concept level, occupancy is set within a representative BWB range (~200–300 passengers) and the analysis tests loading skews, visibility/crew-effectiveness degradations, and exit availability within that envelope. The study does not claim certification demonstration; it provides auditable, uncertainty-aware outputs (PoC, tail risk, stress-response patterns) to support engineering trade studies and certification planning.
Evacuation performance is evaluated using a probability-of-compliance (PoC) metric that directly reflects certification logic under a strict time threshold. PoC is defined as the probability of the total evacuation time. T does not exceed the regulatory limit, expressed as
This framing treats evacuation as a stochastic outcome influenced by behavioral, environmental, and scenario variability, rather than as a single deterministic prediction. It aligns with recommendations to interpret evacuation models as uncertainty-aware decision tools for safety-critical assessment [11].
To complement PoC and characterize tail risk, the analysis also reports high-percentile evacuation times, specifically the 95th and 99th percentiles (T95 and T99). These metrics capture rare but plausible adverse outcomes that can dominate pass/fail certification judgments under time-critical constraints. In addition, a compliance margin is defined as M = 90 - T, providing an interpretable measure of buffer or exceedance relative to the regulatory limit across simulation realizations. The combined use of PoC, tail percentiles, and compliance margin follows best practice in uncertainty-informed safety evaluation, where both likelihood and severity of non-compliance are required to support robust engineering and regulatory decisions [9,37].
To keep the analysis certification-relevant and reviewer-proof, this study specifies baseline and stress conditions as operational scenario sets rather than “realistic assumptions.” Baseline runs assume full exit availability (all designated exits usable), standard emergency lighting/visibility, and a nominal reaction-time distribution representing pre-movement delay prior to seat-to-aisle motion. Stress runs then apply controlled degradations: (i) exit-availability sets that turn off a defined subset of exits (e.g., one-sided or distributed blockage patterns), (ii) lighting/visibility tiers representing reduced visual cues, and (iii) reaction-time shifts that increase premovement delay to reflect heightened uncertainty and slower response. These choices follow evacuation modeling guidance that emphasizes explicit definition of behavioral timelines and careful interpretation of model outputs in safety-critical contexts [11], and they reflect evidence that behavioral complications and “non-ideal” passenger actions can materially worsen evacuation efficiency [9].
Evacuation time T is defined with a conservative and auditable stop-time rule: the clock stops when the last occupant exits the cabin, ensuring compliance evaluation is anchored to the final clearance condition rather than intermediate milestones [39].
The baseline BWB cabin layout is a conceptual, transport-category geometry defined for certification-style evacuation analysis rather than any manufacturer-specific configuration. As shown in Figure 2, it follows a wide-body lifting-body planform consistent with published BWB passenger concepts in the 200–300-seat class [40]. The rationale for using the Figure 4 layout is as follows: Figure 4 is not intended to represent a finalized manufacturer cabin; instead, it serves as a concept-level reference geometry selected to capture the dominant architectural features governing evacuation in wide, non-cylindrical cabins – (i) a wide spanwise seating planform that creates lateral redistribution demand, (ii) a circulation network that supports both longitudinal motion and cross-aisle connectors to avoid single-corridor dominance, and (iii) a perimeter-distributed, symmetric exit set that enables controlled manipulation of exit availability and exit-loading balance across scenarios.

Conceptual BWB cabin configuration used for evacuation simulations (baseline occupancy ≈ 225 passengers; illustrative, not manufacturer-specific).
Simulations use a baseline load of ~225 passengers (Figure 3), seated across multiple spanwise blocks. To manage wide-cabin circulation, the network combines a central longitudinal aisle with cross-aisles that support lateral redistribution, mitigate spanwise imbalance, and preserve routing flexibility under congestion or stress (Figure 3). Emergency egress is represented by symmetric, perimeter-distributed exits; exits are modeled as flow-rate–calibrated proxy exits (Type I/II proxies) rather than manufacturer-specific door designs, so results are interpreted as capacity-and-topology effects rather than door-hardware details. The cabin is also partitioned into analysis zones (Zones A and B; Figure 3) to (a) reflect compartment-like routing behavior in wide cabins and (b) enable systematic testing of exit-loss topologies, loading skews, and localized congestion under a traceable scenario matrix. This layout logic is consistent with prior BWB evacuation modeling, which emphasizes spanwise flow management and exit zoning as primary determinants of performance in non-cylindrical cabins [33].

Global sensitivity of evacuation robustness metrics under uncertainty (total-effect indices). (a) Total-effect sensitivity for compliance probability PoC; (b) total-effect sensitivity for T95; (c) total-effect sensitivity for T99.
Robust design is evaluated by systematically varying a set of geometry and behavioral-control variables that plausibly shift evacuation flow, exit utilization, and tail risk. At the layout level, the design space includes (i) the number of usable exits per zone and spanwise exit spacing, which directly affect exit loading and the likelihood of localized bottlenecks when exits are unevenly attractive or partially unavailable [41]. The cabin circulation network varies with cross-aisle positions and aisle widths, which control lateral redistribution capacity and congestion dissipation in wide cabins; these parameters are treated as primary levers because small changes in connectivity and capacity can produce nonlinear effects on clearance time under high occupancy [41]. Compartment or zone boundary locations are also varied to test whether different partitioning schemes improve flow balance or inadvertently create chokepoints. Finally, a guidance/signage strategy level is modeled as a behavioral control parameter that shapes exit-choice tendencies and route compliance; this is included because optimized guidance can improve evacuation outcomes by reducing exit overloading and increasing balanced exit use [13,42].
A hybrid continuum–agent framework models BWB evacuation as coupled wide-area redistribution and local bottleneck/queue dynamics, consistent with certification-style, scenario- and uncertainty-driven evidence. The cabin is decomposed into (i) macro regions where motion is approximated by density/velocity fields and (ii) micro regions (aisles, merges, exit interfaces) where discrete interactions dominate pass/fail outcomes, consistent with established hybrid evacuation practice.
Macro dynamics evolve by mass conservation:
Uncertain parameters used for Monte Carlo evacuation simulations.
| Parameter name | Physical meaning | Distribution type | Range/mean / SD | Justification/source category |
|---|---|---|---|---|
| U0 | Free walking speed (uncongested) | Lognormal | Median 1.20 m/s; GSD 1.20 (approx. SD ≈ 0.20 m/s) | Literature-calibrated (evacuation walking variability; distribution fitting under reduced visibility) [44] |
| kP | Congestion/friction sensitivity in speed≈density relation | Uniform | (kP in [0.8, 1.2]) (multiplier on baseline congestion curve) | Conservative bound capturing uncertain crowd-friction effects in wide geometry |
| τ | Pre-movement / reaction time before entering flow | Lognormal (scenario-shifted) | Baseline: Median 8 s; 95th ≈ 35 s. Stress: Median 12 s; 95th ≈ 60 s | Literature-calibrated; stress shift represents conservative inflation [43] |
| Pcrew | Compliance with crew guidance (follow commands, directed exits) | Beta (scenario-shifted) | Baseline: Beta(9,3) mean 0.75. Stress: Beta(6,4) mean 0.60 | Literature-supported sensitivity to guidance; heterogeneity + conservative stress reduction [45] |
| bexit | Exit choice bias (nearest/known exit vs distributed choice) | Truncated Normal | Mean 0; SD 0.5; truncated to ([-1, +1]) | Engineering assumption; stress can shift mean toward “nearest-exit” behavior [9] |
| kvis | Visibility penalty factor applied to speed / movement potential | Uniform (scenario-shifted) | Baseline: ([0.85, 1.0]); Stress: ([0.50, 0.85]) | Literature directionality (visibility reduces speed) + conservative bounds for cabin analogs [44] |
| xexit state (replaces xblock) | Exit availability state (scenario–defined): which exit(s) are unavailable | Scenario-defined categorical (deterministic by scenario; with optional within-scenario randomizatio n) | S0: none blocked. S1: exactly one exit blocked per run; blocked exit sampled uniformly from baseline exit set (seeded). S2: fixed targeted block (e.g., AFT-C blocked). S7: same targeted block as S2 + additional stressors | Aligns regulatory “unavailable exit” interpretation to reported scenarios; prevents mismatch between Methods and Results (scenario matrix) |
| xaisle | Partial aisle obstruction (e.g., debris, spillback) | Bernoulli (scenario-shifted) | Baseline (p = 0.05);Stress (p = 0.20) | Conservative bound (rare baseline; elevated under stress) |
| Ce | Exit flow capacity/service rate (persons/s) for available exits | Truncated Normal (>0) | Mean 1.4; SD 0.3; truncated to ([0.6, 2.2]) | Engineering assumption with conservative bounds; explicitly models throughput variability while avoiding unrealistic discharge |
| kc | Capacity degradation multiplier under stress (applied to available exits) | Uniform | ([0.6, 0.9]) | Conservative bound representing door/slide interface inefficiency; note: blocked exits are modeled as zero capacity (not multiplied) |
| Pirr | Probability of disruptive passenger behavior affecting flow (hesitation, counterflow, nonideal actions) | Beta (scenario-shifted) | Baseline Beta(2,18) mean 0.10; Stress Beta(5,15) mean 0.25 | Literature-informed direction + conservative stress inflation [9] |
To estimate the probability of compliance (PoC) using Monte Carlo sampling, key behavioral, environmental, and system-state inputs are modeled as random variables (Table 1) to capture heterogeneous passenger responses and stress-driven shifts in both the mean and tails of evacuation time. Distributions are selected to be interpretable and physically bounded where needed, and each parameter is tagged by evidence strength (literature-calibrated, engineering assumption, conservative bound). Pre-movement/reaction-time variability is calibrated from egress evidence bases through τ [43], while degraded visibility is represented via multiplicative mobility penalties kvis consistent with controlled low-visibility/smoke speed-reduction findings [44].
Nearest-exit ambiguity and exit-demand imbalance in wide cabins are explicitly modeled. In a wide, non-cylindrical cabin, “nearest exit” may be perceptually ambiguous because lateral redistribution, congestion, and limited lines-of-sight can decouple geometric distance from perceived or chosen routes. Accordingly, exit choice is modeled stochastically via an exit-choice bias parameter bexit (Table 1), rather than a deterministic nearest-exit rule, allowing uneven queuing and exitdemand imbalance to emerge under parameter variability and scenario stress. Crew guidance effectiveness is represented through uncertain compliance Pcrew, which can redistribute demand toward underutilized exits or, under degraded conditions, fail to correct emerging imbalances; this formulation is consistent with prior non-cylindrical-cabin evacuation modeling showing high sensitivity to inaccessible exit sets and to guidance effectiveness [45]. Non-ideal passenger actions are represented via scenario-shifted disruptive behavior probability Pirr, consistent with aircraft evacuation simulation evidence [9].
For replicate k under scenario s, parameters are sampled conditionally:
Uncertainty propagation uses randomized quasi–Monte Carlo (RQMC) based on scrambled Sobol’s low-discrepancy sequences to improve space-filling and convergence over pseudo-random Monte Carlo for the moderately high-dimensional parameter vector (Table 1). Scrambling/digital shifting enables variance estimation based on replicates while retaining QMC coverage benefits [46,47]. As a robustness check, a subset of scenarios may be re-run using Latin hypercube sampling (LHS) to confirm that headline conclusions are not sampler-dependent [48].
Sample size is selected by sequential convergence of certification-relevant outputs –
For each scenario, convergence is declared when (i) the absolute change in
Reproducibility is ensured by logging the full sampling configuration (Sobol dimensionality, scrambling method, batch schedule, scenario IDs, and master seed), enabling exact regeneration of parameter vectors and replicate-based uncertainty checks consistent with best practice in randomized digital-net/QMC workflows [46,47].
Scenario stress-testing is implemented as a structured, repeatable matrix (Table 2) that perturbs a small set of certification-relevant stressors while holding the model form and sampling protocol fixed (Sections 3.5–3.6). The objective is auditable, comparable evidence across scenarios – not ad hoc case selection. Each scenario is a named condition set (exit-availability state, visibility tier, initial passenger spatial distribution, and crew-effectiveness level) that can be re-instantiated deterministically for any Monte Carlo batch and sensitivity design. This design reflects established findings that evacuation performance is highly sensitive to exit availability and guidance effectiveness, particularly for BWB-like layouts where inaccessible exit sets can dominate outcomes [45], and it follows simulation-for-certification logic used to isolate parameter/topology effects under controlled assumptions [49,50].
Scenario matrix for stress-testing (repeatable condition sets).
| Scenario ID | Scenario label | Exit availability | Visibility | Passenger spatial distribution | Crew effectiveness | Purpose/interpretation |
|---|---|---|---|---|---|---|
| S0 | Baseline certification scenario | All required exits available (baseline set) | Normal (baseline) | Nominal (regulatory/standard seating distribution) | Nominal guidance/compliance | Reference case for PoC and tails; anchors comparisons [49] |
| S1 | Random 1- exit blocked | Exactly one exit is unavailable per run; blocked exit is sampled uniformly from the baseline exit set; seeded & repeatable | Normal | Nominal | Nominal | Captures expected degradation from single-exit unavailability without assuming a specific failure location |
| S2 | AFT-C blocked (targeted worst-case | AFT-C unavailable; remaining baseline exits available | Normal | Normal | Nominal | Targeted topology stressor aligned to worst-case singleexit loss results |
| S3 | Reduced visibility | Baseline exits | Low-visibility tier (penalty active) | Nominal | Nominal | Test mobility/decision degradation under smoke/visibility impairment [41] |
| S4 | Centerheavy loading | Baseline exits | Normal | Centerheavy (higher initial density in central cabin zones) | Nominal | Probes the wide-cabin redistribution burden and the sensitivity to merge formation. |
| S5 | Edge-heavy loading | Baseline exits | Normal | Edge-heavy (higher initial density near edges/outer aisles) | Nominal | Contrasts with S4 to detect geometry-driven advantages/disadva ntages. |
| S6 | Reduced crew effectiveness | Baseline exits | Normal | Nominal | Reduced (lower assertiveness /compliance probability) | Tests sensitivity to guidance quality and compliance; aligns with evidence that guidance materially shifts outcomes [2,5] |
| S7 | Compound stress | AFT-C blocked + low-visibility tier + centerheavy loading + reduced crew effectiveness | Low-visibility tier | Center-heavy | Reduced | Harsh-but-credible compound case for tail amplification and failure modes |
Stressors were selected to map directly to mechanisms that shift both
This study adds a robust design module that converts evacuation simulations into layout guidance under uncertainty, moving beyond point estimates. It has two levels.
Level 1: Robustness screening (DOE + tail-risk diagnostics). A design-of-experiments sweep evaluates feasible cabin/egress layouts across stress-test scenarios,
Level 2: Robust optimization (simulation-driven, uncertainty-aware search). Layout selection is posed as a multi-objective robust problem over decision variables: x (e.g., aisle widths, cross-aisle connectivity, exit topology) under uncertainties θ (Table 1) and scenario s (Table 2):
Because Monte Carlo evaluation is expensive, surrogate models (e.g., Gaussian Process/Kriging) approximate objectives,
Model verification focuses on implementation correctness and numerical integrity before venturing any claims about realism. First, we run systematic code checks (unit tests for routing, queue service, boundary handshakes, and scenario toggles) and regression tests to ensure that identical inputs produce identical outputs under fixed seeds. Second, we enforce conservation and plausibility checks: passenger count is conserved (no creation/loss except at exits), agents cannot “teleport” across obstacles or through walls, and region handoffs (continuum ↔ agent zones) preserve mass/flow consistency. Third, we confirm time-step stability by repeating representative baseline and stress runs across a small time-step ladder (e.g., Δt, Δt/2) and verifying that key outputs (PoC, T95, T99, peak densities, exit queues) change only within a small tolerance; any instability triggers tighter Δt or rule adjustments in the collision/merge logic.
Because full-scale BWB evacuation tests are unavailable, validation is conducted through structured triangulation rather than a single “ground-truth” comparison. Parameters governing pre-movement delay, walking speed, density–speed response, and exit-choice behavior are calibrated to the established pedestrian/evacuation literature, with stress scenarios implemented as documented shifts (e.g., longer pre-movement delay, reduced effective speed, reduced guidance compliance). As a sanity anchor, the model is also benchmarked against a conventional tube-and-wing cabin case (or a simplified narrow-body layout) where expected ranges for evacuation time, densities, and exit discharge behavior are well understood; this provides a “does it behave like an aircraft egress model at all?” baseline. Face validity is assessed by checking that exit flow rates, queue formation, and crowd densities remain in plausible bands (no impossible packing, no unrealistic discharge spikes), and that congestion dynamics look physically credible at merges and door/slide interfaces. Finally, we run monotonic and sensitivity sanity checks: for example, removing exits or reducing exit capacity should never improve PoC, and worsening visibility or crew effectiveness should not reduce T95/T99 – basic directional checks that catch silent logic bugs and keep the evidence chain certification-aligned.
This research is a simulation-only study and involves no human participants, interviews, or identifiable personal data; therefore, formal human-subject ethics approval is not required. Data governance focuses on ensuring that all model inputs and assumptions are transparent and auditable: the manuscript provides complete model documentation, distributional parameter tables (Table 1), and a fully specified scenario matrix (Table 2), including any stressor toggles and exit-availability rules. Reproducibility is supported by providing implementation-level artifacts – pseudocode for the hybrid continuum–agent coupling, definitions of all output metrics (PoC, T95, T99), and a logged random-seed strategy (master seed and replicate seeds) – so results can be reproduced exactly. Where permitted by the review policy, the study also includes a code appendix or a controlled-access repository protocol (e.g., private during peer review, with release upon acceptance) that contains the model configuration files, scenario definitions, and scripts required to rerun the full experiment set.
A single deterministic baseline run was used to establish a reference evacuation profile for the BWB cabin configuration with N = 225 occupants and k = 5 available exits. The cabin geometry, zoning, and exit identifiers (FWD-L, FWD-R, AFT-L, AFT-C, AFT-R) are shown in Figure 4, providing the spatial context for subsequent flow and congestion observations.

BWB cabin layout with geometric exit identification for the deterministic baseline (N = 225; Exits: FWD-L, FWD-R, AFT-L, AFT-C, AFT-R).
Under the deterministic reference assumptions, the baseline produces a stable evacuation completion time and an evenly distributed exit loading pattern, which together define the benchmark against which stressed and stochastic cases can be compared (Table 3). Exit use is balanced by construction in the baseline, yielding identical per-exit throughput totals and shares (Table 4). This balanced loading is reflected in the exit utilization curves in Figure 6, where cumulative evacuation trajectories are effectively parallel/overlapping across exits, indicating no preferential exit dominance in the reference configuration.
Deterministic baseline performance summary (S0: N = 225,k = 5).
| Metric | Symbol | Baseline value |
|---|---|---|
| Total occupants | N | 225 |
| Available exits | k | 5 |
| Evacuated through each exit (final) | nj | 45 for each of the 5 exits |
| Exit shares (final) | 0.20 for each exit | |
| Most-loaded exit share | maxSj | 0.2 |
| Exit balance index (CV across exits) | Cvexit | 0.00 (perfectly balanced under equal split) |
| Total evacuation time (last occupant exits) | Tdet | |
| Mean overall discharge rate |
Per-exit evacuation breakdown for the deterministic baseline (S0; N = 225, k = 5).
| Exit ID | Final evacuated nj | Share e |
|---|---|---|
| FWD-L | 45 | 0.2 |
| FWD-R | 45 | 0.2 |
| AFT-L | 45 | 0.2 |
| AFT-C | 45 | 0.2 |
| AFT-R | 45 | 0.2 |
Congestion development in the baseline is localized and time-dependent. The density snapshots in Figure 5 show that crowding emerges first in the interior circulation structure (early snapshot), intensifies as converging streams accumulate in shared approach regions (mid snapshot), and then shifts toward exit-approach areas as the system clears (late snapshot). Collectively, these heatmaps identify the primary bottleneck mechanism in the deterministic reference as flow convergence at shared-aisle/cross-aisle interfaces and exit-approach zones, rather than persistent saturation at a single exit. These baseline patterns (balanced exit usage with transient interior hotspots) establish a deterministic “control” profile for interpreting bottleneck amplification and exit-loading imbalances in later scenarios (Tables 3–4; Figures 4–6).

Density heatmap snapshots over time for the deterministic baseline evacuation scenario (t = 10 s, 30 s, and 45 s; N = 225; k = 5).

Exit utilization over time for the deterministic baseline evacuation scenario (cumulative evacuated per exit; N = 225; k = 5).
Uncertainty propagation used repeated runs per scenario to estimate the evacuation-time distribution and certification-aligned compliance probability
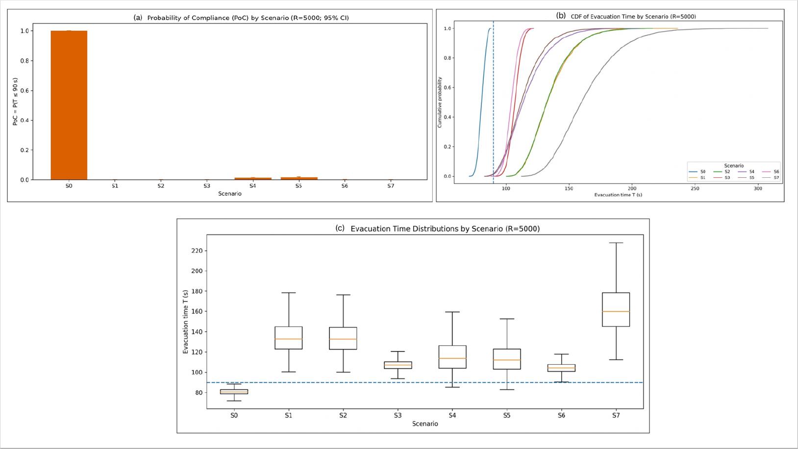
Baseline S0 achieves near-certain compliance (PoC ≈ 0.973) with tails below 90 s. By contrast, exit-loss and compound stress dominate failure risk: S1 (random single-exit blocked) and S2 (targeted blocked) yield very low PoC (≈0.015; ≈0.010), and S7 collapses to PoC ≈ 0.000 with T95 – T99 well beyond 90 s (Table 6; Figure 7a). Reduced visibility (S3) is also near-collapse (PoC ≈ 0.007; T95 > 90 s), showing mobility penalties alone can drive non-compliance even without topology loss. In contrast, reduced crew effectiveness (S6) and edge-heavy loading (S5) retain partial compliance (PoC ≈ 0.088; ≈0.134) but inflate the upper tail, indicating sensitivity to initiation/flow efficiency and demand redistribution (Table 6; Figure 7a).

Probability-of-compliance and evacuation-time distributions under uncertainty: (a) PoC by scenario with 95% CI, (b) CDF of evacuation time by scenario with 90-s threshold, and (c) boxplots of evacuation time by scenario with 90-s threshold (R = 5000).
The CDFs (Figure 7b) show baseline mass well left of 90 s, while stress scenarios shift probability mass toward/above 90 s; boxplots (Figure 7c) confirm median shifts and increased spread under stress, consistent with risk being governed by both likelihood (PoC) and severity (tail percentiles).
Probability of compliance and tail evacuation times by scenario (R = 5000; threshold = 90 s).
| Scenario | Label | Run | T limit sec | PoC hat | PoC CI95 low | PoC CI95 high | T median sec | T95 sec | T99 sec |
|---|---|---|---|---|---|---|---|---|---|
| S0 | Baseline | 5000 | 90 | 1.0000 | 0.999232 | 1.00000 | 80.67222 | 85.51355 | 86.77391 |
| S1 | Random blocked exits | 5000 | 90 | 0.0000 | 0.000000 | 0.000768 | 132.6695 | 167.1254 | 184.6882 |
| S2 | Worst-case blocked | 5000 | 90 | 0.0000 | 0.000000 | 0.000768 | 132.4394 | 166.9959 | 188.9797 |
| S3 | Reduced visibility | 5000 | 90 | 0.0070 | 0.000000 | 0.000768 | 106.9491 | 114.9699 | 118.4541 |
| S4 | Center-heavy loading | 5000 | 90 | 0.0134 | 0.010566 | 0.016981 | 113.5104 | 149.3857 | 168.2943 |
| S5 | Edge-heavy loading | 5000 | 90 | 0.0178 | 0.014488 | 0.021853 | 111.9598 | 142.6022 | 158.8951 |
| S6 | Reduced crew | 5000 | 90 | 0.0006 | 0.000204 | 0.001763 | 104.1563 | 112.7216 | 116.3755 |
| S7 | Compound stress | 5000 | 90 | 0.0000 | 0.000000 | 0.000768 | 159.7831 | 209.5973 | 240.6371 |
Stress testing yields a clear certification-style risk ordering by
Scenario outcomes summary and ranking by compliance risk (PoC, median, T99; R = 5000; threshold = 90 s).
| Risk rank | scenario | label | R | T limit sec | PoC hat | PoC CI95 low | PoC CI95 high | T Median sec | T95 sec | T99 sec |
|---|---|---|---|---|---|---|---|---|---|---|
| 1 | S7 | Compound stress | 5000 | 90 | 0.000 | 0.000 | 0.000768 | 142.127 | 182.972 | 201.981 |
| 2 | S1 | Random 1- exit blocked | 5000 | 90 | 0.000 | 0.000 | 0.000768 | 121.599 | 149.168 | 163.554 |
| 3 | S2 | AFT-C blocked | 5000 | 90 | 0.000 | 0.000 | 0.000768 | 117.821 | 140.425 | 151.509 |
| 4 | S3 | Reduced visibility | 5000 | 90 | 0.007 | 0.005 | 0.010640 | 97.272 | 102.578 | 104.439 |
| 5 | S4 | Center-heavy loading | 5000 | 90 | 0.039 | 0.034 | 0.045369 | 112.033 | 142.963 | 157.591 |
| 6 | S6 | Reduced crew | 5000 | 90 | 0.088 | 0.081 | 0.096796 | 94.549 | 100.186 | 102.269 |
| 7 | S5 | Edge-heavy loading | 5000 | 90 | 0.134 | 0.125 | 0.144341 | 98.617 | 117.778 | 128.536 |
| 8 | S0 | Baseline | 5000 | 90 | 1.000 | 0.999 | 1.000000 | 72.254 | 74.4360 | 74.9619 |
Exit-loss and compound degradation dominate failure risk: S1 (random single-exit blocked), S2 (targeted blocked), and S7 (compound stress) shift the completion-time distribution rightward, with PoC collapsing and tail percentiles extending far beyond 90 s (Table 6; Figure 8a). Movement/coordination stressors are not uniformly “intermediate”: reduced visibility S3 is near-collapse (PoC ≈ 0.007; T95 > 90s), while reduced crew effectiveness S6 and edge-heavy loading S5 retain partial compliance (PoC ≈ 0.088 and 0.134) but thicken the upper tail, reflecting sensitivity to initiation/flow efficiency and demand redistribution (Table 6; Figure 8a).

Stress scenario ranking and worst-case exit-block patterns for the probability-of-compliance analysis (R = 5000; threshold = 90 s).
Fixed single-exit block tests identify worst-case topology loss. Blocking the center aft exit (AFT-C) is most damaging, redistributing demand, increasing governing discharge time, and amplifying the upper tail; forward-exit blocks follow closely, consistent with upstream flow concentration in the corridor/aisle geometry (Table 7; Figure 8b).
Worst-case exit-block patterns (fixed single-exit block; PoC, median, T95, T99; ranked).
| Block risk rank | Blocked exit | R | T limit sec | PoC hat | PoC CI95 low | PoC CI95 high | T Median sec | T95 sec | T99 sec |
|---|---|---|---|---|---|---|---|---|---|
| 1 | AFT-C | 5000 | 90 | 0 | 0 | 0.000768 | 117.920 | 139.774 | 152.698 |
| 2 | FWD-R | 5000 | 90 | 0 | 0 | 0.000768 | 114.155 | 136.921 | 148.523 |
| 3 | FWD-L | 5000 | 90 | 0 | 0 | 0.000768 | 114.477 | 136.740 | 148.426 |
| 4 | AFT-L | 5000 | 90 | 0 | 0 | 0.000768 | 114.412 | 136.117 | 147.098 |
| 5 | AFT-R | 5000 | 90 | 0 | 0 | 0.000768 | 114.212 | 135.732 | 146.786 |
A global screening sensitivity analysis was performed using Morris elementary effects to identify which uncertain inputs most strongly influence (i) Probability-of-Compliance.
Morris screening sensitivity indices (μ*, σ) for PoC and T95.
| factor | range | μ Star PoC | σ PoC | μ Star T95 | σ T95 | Rank PoC | Rank T95 | Rank sum |
|---|---|---|---|---|---|---|---|---|
| μ scale | [0.75, 1.05] | 0.035000 | 0.071644 | 44.16160 | 13.07616 | 1 | 1 | 2 |
| μ AFT-C | [1.00, 1.30] | 0.007083 | 0.017803 | 23.32390 | 20.92023 | 4 | 2 | 6 |
| t0 mode | [8.00, 20.0] | 0.013333 | 0.029169 | 12.92360 | 11.49410 | 2 | 6 | 8 |
| κ | [10.0, 60.0] | 0.010833 | 0.030178 | 16.18077 | 20.21300 | 3 | 5 | 8 |
| bAFT-C | [1.00, 1.80] | 0.005833 | 0.017327 | 21.02509 | 24.23203 | 5 | 3 | 8 |
| p block | [0.00, 0.50] | 0.002083 | 0.006765 | 19.15942 | 13.02821 | 6 | 4 | 10 |
Among structural and behavioral terms, the AFT-C capacity advantage (aftc bonus) and exit-choice concentration toward AFT-C (aftc bias) also contribute materially, consistent with the earlier “worst-case” exit-loss result that removing a high-capacity/high-demand exit inflates tail risk. Pre-movement delay (t0_mode) is a secondary but still meaningful driver, primarily affecting PoC by shifting the entire completion-time distribution to the right rather than changing discharge dynamics. Finally, the exit-choice variability parameter (gamma shape) and the blocked-exit probability (p block) contribute to tail behavior by increasing imbalance and occasionally severe redistribution, thereby amplifying rare long evacuations even when the median remains comparatively stable (Table 8; Figure 9).

Tornado-style Morris sensitivity plot for PoC and T95.
Robust-design screening reveals a Pareto trade-off between certification-aligned compliance probability

Pareto trade-off between compliance probability and structural penalty proxy, with representative recommended layout families (R = 5000; PoC = P(T ≤ 90 s)).
Robust design candidate outcomes (PoC, median, T95, T99; R = 5000; threshold = 90 s) with a structural penalty proxy.
| n | Layout family | Key features | Structural penalty proxy | PoC (95% CI) | T95 (s) | T99 (s) |
|---|---|---|---|---|---|---|
| D1 | Baseline 5-exit | k=5 | 5.0 | 0.247 [0.235, 0.259] | 111.25 | 119.37 |
| D2 | 5-exit + zoning | k=5, zoned exits | 5.0 | 0.067 [0.061, 0.075] | 131.63 | 144.94 |
| D3 | 5-exit + cross-aisle | k=5, cross-aisle | 5.5 | 0.541 [0.528, 0.555] | 101.59 | 108.02 |
| D4 | 5-exit + wide aisle | k=5, wide aisles | 5.3 | 0.520 [0.507, 0.534] | 105.46 | 113.97 |
| D5 | 4-exit (reduced) | k=4 | 4.0 | 0.000 [0.000, 0.001] | 136.05 | 146.34 |
| D6 | 4-exit + cross-aisle + wide | k=4, cross-aisle, wide aisles | 4.8 | 0.010 [0.008, 0.013] | 114.65 | 121.27 |
| D7 | 6-exit (added) | k=6 | 6.0 | 0.879 [0.869, 0.887] | 94.60 | 102.34 |
| D8 | 3-exit (minimal) | k=3 | 3.0 | 0.000 [0.000, 0.001] | 175.05 | 187.43 |
| D9 | 5-exit + cross-aisle + wide | k=5, cross-aisle, wide aisles | 5.8 | 0.834 [0.823, 0.844] | 95.34 | 100.58 |
Three practical design rules follow: (1) Avoid dominant-exit loading – zoning and routing that balance demand across exits increase PoC at the same k (Table 9; Figure 10). (2) Use cross-aisles as robustness amplifiers – they enable lateral redistribution when local aisles saturate, reducing the probability that a single exit governs the outcome (Table 9; Figure 10). (3) Treat aisle width as a capacity lever – wider aisles exhibit a threshold-like benefit by improving effective discharge/service, raising PoC without changing k; when adding exits is costly, capacity-preserving aisle/door-area geometry can recover compliance margin more efficiently than topology changes alone (Table 9).
The certification-style scorecard shows a sharp separation between nominal and stressed performance across S0–S7 when judged by compliance likelihood PoC = P(T ≤ 90 s) and tail severity (T95 – T99) (Table 10; Figure 11). Baseline S0 is effectively assured (PoC ≈ 1.000, tight CI) with tails well below 90 s, indicating a robust buffer. The dominant robustness threats are capacity/topology disruptions: exit-loss (S1 random 1-exit blocked; S2 AFT-C blocked) and compound stress (S7) collapse to PoC ≈ 0.000 with T95 – T99 far beyond 90 s, consistent with structurally constrained discharge under the current topology/capacity envelope (Table 10; Figure 11). These cases require design-level mitigation (exit redundancy, cross-aisle redistribution, capacity-preserving aisle/door-area geometry), not parameter tuning.

Robustness scorecard: PoC by scenario with 95% CI and target PoC threshold (R = 5000; threshold = 90 s; target PoC = 0.95).
Robustness scorecard by scenario (PoC, CI, and Tail Risk) with required modifications and residual assumptions (R = 5000; threshold = 90 s; target PoC = 0.95).
| Scen ario | Stress condition/variant | PoC (95% CI) | Median T (s) | T95 (s) | T99 (s) | Meets PoC target? | Required modification to reach PoC = 0.95 | Residual risk (under assumptions) |
|---|---|---|---|---|---|---|---|---|
| S7 | Compound stress | 0.000 [0.000, 0.001] | 142.13 | 182.97 | 201.98 | No | Combine: add redundancy + widen aisles + reduce premovement; mitigate compounding stressors | Non-compliance is structural under current topology/capacity assumptions |
| S1 | Random 1-exit blocked | 0.000 [0.000, 0.001] | 121.6 | 149.17 | 163.55 | No | Add exit redundancy and reroute flow (crossaisle); avoid single-exit dependency | Non-compliance is structural under current topology/capacity assumptions |
| S2 | AFT-C blocked | 0.000 [0.000, 0.001] | 117.82 | 140.43 | 151.51 | No | Add exit redundancy and reroute flow (crossaisle); avoid single-exit dependency | Non-compliance is structural under current topology/capacity assumptions |
| S3 | Reduced visibility | 0.008 [0.006, 0.011] | 97.27 | 102.58 | 104.44 | No | Reduce premovement + improve wayfinding (lighting/markings/crew guidance) | Non-compliance driven by tail events (delays + bottlenecking) under adverse draws |
| S4 | Centerheavy loading | 0.040 [0.035, 0.045] | 112.03 | 142.96 | 157.59 | No | Rebalance zoning/exit-choice to equalize queues; de-bias AFT-C loading | Non-compliance driven by tail events (delays + bottlenecking) under adverse draws |
| S6 | Reduced crew | 0.089 [0.081, 0.097] | 94.55 | 100.19 | 102.27 | No | Capacity-preserving geometry (wider aisles/door area) and cross-aisle redistribution | Non-compliance driven by tail events (delays + bottlenecking) under adverse draws |
| S5 | Edge-heavy loading | 0.135 [0.125, 0.144] | 98.62 | 117.78 | 128.54 | No | Rebalance zoning/exit-choice to equalize queues; de-bias AFT-C loading | Non-compliance driven by tail events (delays + bottlenecking) under adverse draws |
| S0 | Baseline | 1.000 [0.999, 1.000] | 72.25 | 74.44 | 74.96 | Yes | No modification required under modeled assumptions | Residual risk dominated by rare routing imbalance and parameter tail draws |
Operational/behavioral stressors are not uniformly “moderate” under the target PoC = 0.95: reduced visibility (S3) yields very low compliance (PoC ≈ 0.008; T95 > 90 s), while reduced crew effectiveness (S6) and biased loading (S4–S5) retain partial PoC (≈0.040 – 0.135) but still fail due to inflated tails – i.e., residual risk is tail-driven by adverse combinations of pre-movement delay, exit service-rate variability, and routing imbalance (Table 10). Overall, compliance risk is governedjointly by likelihood (PoC vs 0.95) and severity (tail exceedances), so mitigation should prioritize removing structural bottlenecks before optimizing second-order factors, and robustness must be assessed against tail draws – not just typical conditions (Table 10).
In certification terms, results are a robust evidence statement, not a single evacuation time. Compliance is operationalized as
Design levers that recover margin act on the controlling mechanisms: increasing effective discharge capacity and reducing exit-demand imbalance (e.g., cross-aisle redistribution, capacity-preserving aisle/door-area geometry, and adding/redistributing exit capability). Accordingly, certification prioritization should first focus on removing structural bottlenecks and improving flow redistribution (lifting PoC, shrinking T95 – T99), then applying operational/behavioral controls (guidance/wayfinding, reduced pre-movement delay) to harden residual tail risk.
This study aligns with prior evacuation research in three ways: (1) the outcomes are behavior-dominated – pre-movement delay, non-nearest-exit choices, and social/interaction effects can govern total evacuation time under strict thresholds; (2) the modeling choice is consistent with the shift toward microscopic/agent-based and hybrid approaches to capture congestion, interactions, and emergent bottlenecks; and (3) the stressors reflect BWB-oriented findings that exit availability and crew/guidance effectiveness are high-impact drivers in wide, non-cylindrical layouts.
The key divergence is the claim format and evidence pipeline. Many studies emphasize mean or single-run evacuation time and implicitly treat uncertainty, which can yield “looks compliant” conclusions without quantifying how often compliance holds under credible variability. Here, compliance is operationalized as
Consequently, conclusions can change: a design that appears compliant under deterministic/mean-time assessment can be fragile under a PoC + tail lens, because rare-but-plausible tail draws can dominate pass/fail outcomes under a hard 90-s threshold.
Results indicate robustness is governed by structural bottlenecks rather than marginal gains in nominal walking speed. Under single-exit loss and compound stress, compliance probability collapses and T95 – T99 inflates, so the design priority should be on exit redundancy and demand rebalancing, not parameter “tuning.” Three manufacturer levers follow from this: (i) exit placement/spacing to avoid a dominant critical exit (fixed-block tests identify AFT-C as most damaging), (ii) cross-aisle/connector geometry to enable lateral redistribution when an exit is lost, and (iii) zoning/compartment logic that prevents upstream concentration and reduces merge conflict before discharge. Designs should therefore be iterated against PoC and tail exceedances under explicit exit-loss conditions, where fragility is most visible.
For regulators evaluating novel geometries, the present study implies an auditable model-evidence template: (1) a declared interpretation of the 90-s criterion and exit-availability mapping, (2) a scenario matrix including topology loss and compound stress, (3) uncertainty propagation reporting PoC + tail metrics (not only mean time), and (4) sensitivity/driver attribution showing what controls compliance outcomes – i.e., how often compliance holds, how severe exceedances are, and why failures occur.
For airlines, procedural guidance effectiveness is a practical risk-control knob – especially for tail behavior – because guidance compliance and pre-movement delay materially influence PoC and T95 – T99. Priorities are (i) assertive crew commands that redistribute demand to underutilized exits, (ii) briefing/wayfinding that reduces early hesitation/counterflow, and (iii) boarding/cabin practices that limit extreme loading imbalance when feasible. Airlines cannot eliminate exit loss, but they can reduce it by improving initiation and routing discipline when geometry is near capacity limits.
This study introduces a certification-style, uncertainty-aware evacuation evaluation pipeline that turns simulation outputs from point estimates into an auditable robustness argument. Compliance is quantified as
The results identify bottleneck throughput and pre-movement delay as dominant drivers, mapping directly to actionable interventions (exit redundancy/redistribution; initiation and guidance controls) for early configuration trades. Generalizability extends beyond a single cabin drawing: the transferable contribution is not the evacuation time of Figure 4, but the robustness structure – including scenario-defined exit availability, uncertainty propagation, PoC/tail metrics, and driver attribution. Because the dominant failure modes are mechanism-level (discharge-capacity collapse, exit-demand imbalance, rerouting limitations), the conclusions remain informative for other BWB candidates with similar wide-cabin features (spanwise redistribution, cross-aisle connectivity, perimeter exits). While absolute PoC values will vary by geometry, the stressor risk ordering and the mechanism-to-mitigation mapping remain decision-relevant and can be reused for other non-cylindrical concepts by substituting the exit network, connectivity, zoning, and representative loading/behavior envelopes.
This study provides certification-style, uncertainty-aware evidence for evacuation robustness, but it does not replace a full-scale certification demonstration. No program-specific trial data are available for direct validation; therefore, results should be interpreted as comparative robustness evidence rather than proof of regulatory acceptance. A further limitation is that Figure 4 represents a reference concept geometry; alternative aisle/exit architectures may shift absolute PoC values, although the study’s primary contribution is the robustness pipeline and the identification of dominant mechanisms under uncertainty. Findings also depend on assumed uncertainty distributions for key behavioral and flow parameters (e.g., pre-movement delay, guidance compliance, exit service-rate variability); while bounded and evidence-tagged, different populations, procedures, or crew performance could change absolute PoC values even if mechanism rankings remain stable. Finally, several physical and operational complexities have been simplified: reduced visibility is represented via mobility penalties rather than time-evolving smoke/heat/toxicity fields, and crash-consequence effects are abstracted through scenario toggles (exit loss, aisle obstruction).
Future work should (i) couple the framework with smoke/visibility CFD to replace static penalties with dynamic fields, (ii) calibrate key parameters via human-in-the-loop or VR-based evacuation drills, and (iii) integrate evacuation robustness with structural/weight penalties in certification trade studies to quantify safety–performance design trade-offs.
This study developed and demonstrated a certification-style, uncertainty-aware evacuation evaluation pipeline for a blended wing body (BWB) cabin, reframing compliance from a single evacuation time to probability-of-compliance (PoC = P(T ≤ 90 s)) paired with upper-tail risk (T95, T99). The results show that apparent “baseline comfort” can be misleading once credible variability and stressors are admitted: exit-loss and compound-stress conditions can collapse PoC toward failure regimes and inflate tail exceedances well beyond the 90-s criterion, turning the certification question into one of robustness rather than point performance.
Across the design trade space, the analysis indicates that evacuation robustness is governed primarily by structural bottlenecks and demand imbalance, rather than by marginal changes in nominal walking speed. Designs that increase effective discharge capacity and/or improve exit-loading balance consistently recover compliance margin and reduce tail growth. In particular, cross-aisle redistribution behaves like a robustness amplifier (enabling rerouting under local saturation), while capacity-preserving geometry (e.g., wider aisles/door-area throughput improvements) can deliver substantial PoC gains without simply “adding exits.”
These conclusions are strengthened by the driver-attribution layer: the executed global sensitivity screening (Morris) supports a defensible “mechanism-to-mitigation” mapping by identifying which uncertainties most influence PoC and tail behavior, enabling prioritization of interventions that prevent bottleneck formation and reduce extreme-delay realizations.
Overall, the contribution of the present study is not only a BWB case result but an audit-ready method – scenario-defined stressors + uncertainty propagation + PoC/tail metrics + driver ranking – that can be reused for other non-cylindrical cabin concepts (e.g., flying wings, blended cabins) by substituting the exit network and layout rules while retaining the same certification-relevant questions: how often does it comply, how severe are exceedances, and what dominates failure?