The development of advanced civil aircraft engines is driven by the need to reduce fuel consumption and harmful emissions in accordance with the strategic objectives adopted by ICAO, IATA, UNEP, and other organizations. For several decades, aviation has been guided by the environmental strategy documented in Flightpath 2050 [1], which sets ambitious goals: a 70% reduction in CO2 emissions during flight, a 90% reduction in NOx emissions, and a significant decrease in noise levels compared to 2000 [2]. Achieving the environmental targets set for passenger aircraft for the period 2035–2050 will be possible only through comprehensive improvements to both airframe design and power plant (PP) systems. Further significant increases in the efficiency and environmental performance of thermal engines using traditional methods (such as increasing operating process parameters, bypass ratio, and component efficiency) have largely reached their practical limits. Therefore, research into breakthrough design concepts, new processes, and innovative solutions for aircraft engines, power plants, and airframe (A/C) configurations has become essential.
An alternative direction in aircraft engine development is the transition to new PP configurations, particularly hybrid power plants (HPP). In this context, several solutions are being explored, including electric aircraft [3], hydrogen-fueled aircraft [4], and the use of sustainable aviation fuel (SAF) [5].
The use of hybrid-electric propulsion in general aviation provides valuable experimental data on the key characteristics of electrical components and overall system behavior, supports technological improvement, and enhances knowledge related to system sizing. Hybrid-electric technology is expected to evolve toward applications in commuter, regional, and narrow-body transport aircraft [6]. The speed of hybrid-electric system integration depends on the pace of technological advancements and breakthroughs, as well as on scalable models for electrical components. Progress in electrical component technology will ultimately determine the feasibility of implementing hybrid-electric power plants in transport aircraft.
The implementation of hybrid-electric technology has opened new opportunities for designing integrated aircraft structures. The combination of thermal and electric engines can significantly improve fuel efficiency, reduce emissions, and enhance operational cost-effectiveness [3, 4, 7]. However, the methods and approaches for generating electrical energy on board an aircraft using hydrogen-based technologies remain insufficiently studied [8, 9]. As such, the development of methods and tools for assessing and analyzing the operational characteristics of HPPs on board aircraft is becoming increasingly important.
Based on the type of energy source, hydrogen-powered aircraft can be divided into two main categories: hydrogen combustion systems and hydrogen fuel cell systems. The application of hydrogen fuel cells is expected to maintain a leading position throughout the forecast period up to 2035. Hydrogen fuel cells provide highly efficient, reliable, and sustainable power for aircraft, emitting only water vapor as a byproduct. This directly addresses the growing demand for clean aviation solutions and industry-wide decarbonization. Increasing investment in fuel cell technology – particularly by companies such as ZeroAvia and Airbus developing hydrogen fuel cell aircraft – is indicative of a growing trend toward sustainable aviation. These developments are further supported by government policies that incentivize zero-emission technologies, thereby accelerating the advancement of hydrogen-powered aircraft.
In Europe, scientific, technical, and experimental research on hydrogen-powered aircraft is actively underway [10]. H2FLY has completed flight tests of the HY4 aircraft, demonstrating the feasibility of using hydrogen as an aviation energy source. The future use of hydrogen in air transport is expected to provide energy not only for propulsion systems but also for various onboard subsystems in long-range, low- noise, and zero-emission aircraft.
H2FLY proposes several aircraft concepts, including an air taxi with a 500 km flight range, a business jet with increased seating capacity, and a regional jet with a flight range of up to 2000 km [10]. All of these concepts are based on a common zero-emission H2FLY power plant designed to meet certification and safety requirements while incorporating sustainable technologies to support aviation decarbonization.
A key technical criterion for project implementation is the ability to obtain the required electrical power from the fuel cell (FC) onboard the aircraft. Recently, the H2FLY project successfully completed a ground-based liquid hydrogen refueling test using a tank developed for the HY4 aircraft [10].These activities are part of the European HEAVEN project, a consortium of five partners aimed at demonstrating the feasibility of integrating a liquid hydrogen fuel cell power plant into an aircraft.
Studies by Pornet and coworkers [11, 12] presented conceptual design methods for sizing, performance analysis, and identification of flight technique for hybrid-electric transport aircraft. These methods were developed for possible integration into traditional aircraft sizing and performance evaluation environments. Models of self-contained engineering components adapted to hybrid-electric power plants were introduced for the first time. At the aircraft level, the interfaces between component modules, the layout of the hybrid-electric PP system architecture, and overall system integration were described in detail. The methodology enables tracking of electrical energy consumption and calculation of the maximum available thrust of the PP. It also defines stages of hybridization and introduces new dimensional constraints for hybrid-electric power plants, including specific component sizing criteria. The general process of aircraft sizing and the assessment of integrated aircraft characteristics were described by the same research group in [13].
Papers [14, 15], in turn, examined the application of electric power plants in aviation, where all systems are strongly constrained by mass considerations. These studies analyzed the characteristics of hydrogen technology implementation in aircraft and, after comparing different energy system architectures, emphasized the critical issue of energy storage – particularly battery storage systems for small and medium-sized aircraft. Studies [16, 17] assessed the potential of a fuel cell hybrid electric aircraft (FCHEA) operating on hydrogen and kerosene. A conceptual design methodology for a short-range, single-fuselage FCHEA was developed and presented. The environmental impact of such aircraft was evaluated. The results indicate that, for a single FCHEA operating on liquid hydrogen produced via electrolysis using renewable energy sources, a reduction in environmental impact of 15.2–17.8% can be achieved.
In [18], various approaches to the use of hydrogen onboard aircraft in combination with fuel cell (FC) technology as an energy converter were described. Such configurations are currently being applied as propulsion components in electric aircraft and as airborne electric generators. When implemented as onboard electric power generators in large commercial aircraft, fuel cell systems produce useful by-products, including reaction heat, process water, and low-oxygen gas. The reaction heat can be utilized to evaporate liquid hydrogen and raise it to the required operating temperature. In addition, this heat may be used to warm air supplied to the cabin air conditioning system, cockpit heating, wing de-icing systems, and engine air intake. The process water generated during the reaction can be injected into the main combustion chamber to reduce peak cycle temperatures and lower harmful emissions, primarily nitrogen oxides (NOx), carbon oxides (COx), and unburned hydrocarbons (UHC). A low-O2 gas (hypoxic or inert gas mixture) may be used for fuel tank fire protection.
During the development of an aircraft project with a hybrid power plant (PP), several methodological trends were applied to obtain initial performance estimates for baseline configurations [19, 20]. Following completion of the conceptual design phase, additional refinements were introduced for both aircraft variants (4PAX and 6PAX), including adjustments to the typical flight profile, battery system, and engine selection for the hybrid configuration. The analysis confirmed that the use of a lower-rated engine operating within a hybrid-electric system is more efficient and economically favorable than employing a higher-rated conventional engine.
The performance of the Evektor EV-55 Outback passenger aircraft and its development strategy were reviewed in [21, 22]. These studies demonstrate the advantages of proposed development measures aimed at incorporating clean electric energy solutions.
A preliminary sizing methodology for the design of a hybrid-electric PP architecture for ultralight and general aviation aircraft was presented in [23]. The primary objective is the development and implementation of a hybrid-electric power plant prototype for a Cessna 337 with a maximum take-off power of 134 kW. Two operational strategies are considered: maximum recharging and maximum flight efficiency.
The analysis of possible PP architectures for a small commuter aircraft and the criteria for selecting the most promising configurations were discussed in [24]. This study evaluated the potential of hybrid-electric power plant architectures. Turboprop or turboshaft configurations, depending on the hybridization principle, were considered for powering small commuter aircraft [25]. Conventional turboprop architectures were analyzed, highlighting key principles of the design methodology. Electric power plant configurations based on turboprop or turboshaft engines were classified, flight-level performance analysis was conducted, and energy management strategies were examined. Several innovative aircraft concepts featuring new airframe morphologies were proposed to fully exploit the advantages of hybrid-electric systems. The study focuses on a 19-passenger hybrid-electric aircraft and concludes that turboprop engines are better suited for low-speed and short-range operations. Consequently, turboprop engines (or electrically driven turboshaft engines in a series hybrid configuration) were selected as the primary thermal engine for the HECARRUS project.
As noted, the number of sizing and feasibility studies devoted to 19-seat commuter aircraft is steadily increasing. In [26], different sizing methodologies for 19-PAX aircraft were applied, and both parallel and series transmission architectures were investigated. The authors of [27], in turn, analyzed the payload–range capabilities of the upgraded RUAG Do 228NG (CS-23), configured for 19 passengers. The upgraded aircraft, based on a series hybrid-electric PP, retains the original aerodynamic configuration. An important aspect of this study is the long-term analysis of battery state of charge (SoC) and charging/discharging behavior under conditions where the total required power is lower or higher than the available generation capacity. In addition, study [28] proposed a comprehensive approach to evaluating hybrid-electric PPs for commuter aircraft. Different hybridization concepts are compared in order to identify the most promising configuration. The study provided insight into the viability of combined propulsion systems for commuter missions and investigated how each subsystem contributes to overall fuel burn reduction at the aircraft level. Particular attention was paid to battery weight management through the strategic use of the electric component of the hybrid-electric powertrain during specific flight phases. Several hybridization concepts were compared, including their impact on a Dornier 228 aircraft configuration. The results indicate that a parallel hybrid-electric architecture is the most promising solution, as it improves take-off performance and reduces the noise footprint, although at the expense of reduced allowable payload and passenger capacity.
One current trend in aviation research is the development of more radical PP architectures. According to modern electric propulsion concepts, the required thrust in each flight segment is supplied using different power sources. A system-level classification of power plant architectures was proposed in [29], where various configurations are categorized based on their structural and functional characteristics.
Operation of a hybrid-electric PP represents a compromise between a highly efficient electrical power conversion system with relatively low energy capacity and a less efficient, but high energy-capacity system based on fuel energy conversion. The degree of electrification determines the sizing of PP components, while the operating strategy largely defines overall fuel consumption. In addition, the power management strategy governs the distribution of power between the two energy sources, which directly affects component sizing and system evaluation. Two widely used indicators have been introduced to characterize hybrid-electric architectures: the hybridization degree for power (HP) and the hybridization degree for energy (HE) [30, 31]. The parameter HP represents the fraction of the maximum installed propulsion power provided by the electric system, while HE defines the fraction of total onboard stored energy attributable to the electric source:
A conventional kerosene-based gas-turbine PP: here HP = 0 and HE = 0; or,
A pure series hybrid-electric architecture in which propulsion is provided entirely by electric motors, but the energy source is kerosene-based: here HP = 1 and HE = 0; or,
A fully electric aircraft in which energy storage is based solely on batteries: here HP = 1 and HE = 1.
The selection and justification of hybridization criteria for regional aircraft were discussed in [11–13, 20, 32]. The specific design features of propeller-driven hybrid turboelectric power plants (HTEPP) highlight the need to evaluate aircraft aerodynamic characteristics over the entire flight cycle. At the same time, methods and indicators for the integrated assessment of HTEPP operational performance using complex criteria remain a relevant research topic [33].
One of the key challenges in developing a hybrid-electric PP based on a thermal model is the selection, design, sizing, and optimization of the thermal management system [34]. Given the integrative nature of technical systems, it cannot be assumed that the combination of individually optimized subsystems will necessarily result in optimal performance of the overall system. Consequently, the problem of distributing thermal and electrical energy across all phases of the flight cycle – i.e., determining the appropriate hybridization degree – remains highly relevant.
The efficiency of various hybrid, fully electric, and conventional PPs applied to a 19-seat regional passenger aircraft was evaluated in [35, 36]. The baseline for comparison is an aircraft equipped with a conventional PP consisting of two H80- 200 turboprop engines (GE Aviation Czech). In the simulation of hybrid and electric configurations, parameter values projected for the year 2030 are adopted. Aircraft performance is assessed using criteria such as average fuel consumption per kilometer, overall energy efficiency, and maximum flight range at a specified takeoff weight.
Unlike the previously discussed studies, in [37] an aircraft with a take-off weight of 6600 kg and a payload of 1800 kg (19 passengers) was selected as the reference configuration. A hypothetical 19-seat aircraft similar to the L-410 and An-28 was considered as the research subject. The PP is based on two H80-200 turboprop engines manufactured by GE Aviation Czech, equipped with V510 five-blade, feathering and reversible propellers developed by AVIA Propeller. These propellers feature a speed limiter and allow continuous blade angle variation over the entire operating range. In this configuration, the turboprop engines operate on conventional fuel, while the electric motor is powered by batteries. Both the turboprop engines and the electric motor drive the propeller transmission system. The study highlights the need to investigate the operation of regional aircraft equipped with large battery packs, particularly with respect to airport operations and aircraft certification processes for hybrid power plants (HPP).
In [38], two independent approaches to hybrid-electric aircraft design were compared. An existing 19-seat aircraft was selected as a common baseline configuration, and both design tools were applied to evaluate aircraft performance. Subsequently, the aircraft was analyzed under hybrid-electric propulsion conditions to assess the impact of the new technology on overall performance characteristics.
In [39–42], sensitivity analyses were conducted to evaluate the validity of the underlying assumptions and design approaches for hybrid-electric aircraft. Two different methods are applied to assess parallel, series, and fully electric configurations. The design methodologies predict the maximum take-off weight of the analyzed aircraft with an accuracy better than 4%. Energy efficiency at maximum take-off weight and payload for various hybrid configurations is predicted with maximum deviations of approximately 2% and 5%, respectively. The results confirm the correct formulation and implementation of both design methods. The outcomes are presented in the form of modified flight profiles obtained using the two aircraft sizing approaches for short-range flights.
Comparison of the performance of baseline turboprop-powered aircraft and battery-powered electric aircraft demonstrates that kerosene-based propulsion still provides a clear advantage due to the high energy density of conventional fuel. Current technological capabilities allow the use of fully electric aircraft primarily for short-range operations. For regional aircraft applications, the specific energy of onboard storage systems would need to increase by at least 4–5 times to achieve technical feasibility. To ensure strong commercial attractiveness, this factor would need to increase by approximately 8–10 times. Under such conditions, hydrogen-based propulsion systems become a promising alternative.
However, hydrogen technologies – whether based on fuel cells or hydrogen combustion in thermal engines – currently impose limitations on aircraft range and passenger capacity due to several unresolved challenges:
hydrogen storage and transportation;
structural materials suitable for hydrogen system integration;
increased fuel tank volume requirements;
safety, environmental performance, and overall system efficiency;
airport infrastructure constraints, etc.
An analysis of existing research indicates that the integration of hybrid-electric propulsion systems into regional aircraft can yield environmental benefits by reducing direct hydrocarbon fuel consumption. Nevertheless, several key questions remain open:
What HPP energy system configuration provides the optimal balance between minimum kerosene consumption and maximum feasible hybridization?
How should power be optimally distributed between energy sources throughout the flight cycle?
What level of flight performance can be achieved for a regional aircraft equipped with a rationally designed HPP?
Addressing these questions will contribute to a deeper understanding of the methodologies and design principles required for the development of next-generation aircraft equipped with hybrid power plants.
The primary objective of this study is to determine how the performance of the energy system of a hybrid turboelectric power plant (HTEPP) affects overall passenger aircraft performance. To achieve this objective, the following scientific tasks are defined:
Developing HTEPP energy system configurations for analyzing energy consumption throughout the flight cycle;
Modernizing a light regional aircraft for 20-passenger transport and comparison of the operational characteristics of the baseline and upgraded aircraft;
Calculating flight range for different HTEPP energy system configurations.
To investigate the performance of the energy system of a modern hybrid power plant (HPP), the existing methodology and models were refined to determine the parametric and technical configuration of a hybrid turboelectric power plant (HTEPP) incorporating a turboprop engine (TPE) for a passenger aircraft. The overall scientific and methodological framework of the study is presented in Fig. 1.

Scheme of formation of parametric shape of HTEPP as part of A/C.
The research was carried out using mathematical modeling of aircraft subsystem operating processes. A key feature of the improved mathematical model is the integrated simulation of the HPP operating process within the passenger aircraft using a closed-loop structure (Fig. 1). The model accounts for the influence of individual subsystem characteristics on the integral performance parameters of the aircraft equipped with a HTEPP, at each stage of the flight cycle.
The mathematical model is based on established methods from aviation engine theory and aircraft flight dynamics. Model verification was performed by comparing the simulation results for components of existing gas turbine engines and passenger aircraft with their corresponding operational and design data at specified calculated operating points. The modeling process enabled the determination of the operational characteristics of the aircraft equipped with a HTEPP.
To achieve the research objective and address the defined tasks, methods of analysis and synthesis, comparative analysis, statistical analysis, and mathematical simulation were employed. The method of analysis and synthesis was applied at the initial stage of the study to examine existing approaches to assessing aircraft power plant (PP) efficiency. Comparative analysis was used to evaluate estimated performance indicators of aircraft and their PPs representing different generations and design schools, enabling the identification of their relative advantages and disadvantages. Statistical analysis supported the collection and systematization of aircraft and PP performance characteristics. The method of mathematical simulation enabled the determination of the aerodynamic and flight performance characteristics of both the baseline and the new aircraft model.
The developed methodology includes several interdependent modules for calculating parameters and performance characteristics (Fig. 1). The methodological framework is supplemented by a new calculation module for substantiating the architecture and calculating the energy system of the HTEPP with a turboprop engine (TPE) and a newly designed propeller. The methods for calculating the characteristics of the TPE and the design features of the propeller are not presented in this paper due to their extensive scope. The following section presents the portion of the methodology related to calculating the energy system parameters, including the determination of coefficients and selected characteristics used in the computational study. The formulas for calculating the general parameters and characteristics presented in Tables 2–4 can be found in [43, 44].
The main indicators, parameters, and specific performance characteristics of the primary elements used in the mathematical modeling of the energy system were selected based on a technical review of open publications and available technical solutions [13, 16, 18]. The masses and volumes of the subsystems under study were calculated using specific parameters that are currently accepted and expected to be achievable within the next five years [19, 24, 35].
The thermal power released during fuel cell (FC) operation [43] can be estimated using the following relationship:
The mass of the cooling system elements is estimated by the formula:
The minimum required hydrogen consumption to generate the specified electrical power through FC operation is determined as:
To convert hydrogen from liquid to gas and then heat it to 80°C, the required power is:
The power level that the FC system can provide, taking into account the limitation on the maximum consumption, can be determined by the following formula:
The mass flow rate of air required to provide a given output power at a given hydrogen flow rate can be estimated using the following formulas:
The water flow rate obtained at the outlet is estimated by the formula (excluding hydrogen leaks in the FC):
The study of solid oxide fuel cells with an integrated cracking reactor is conducted using fuel reforming technology [44]. The developed energy system research methodology accounts for fundamental chemical reactions, various reforming modes, thermodynamic interactions between subsystems, and heat and mass transfer processes. The interaction between the fuel cells and the fuel reformer is also considered.
Research projects in this field aim not only to achieve their stated objective, but also to facilitate a potential transition to alternative propulsion systems and energy sources through the convergence of emerging technologies. The ultimate outcome of the development and integration of these technologies is an aircraft system equipped with a quiet and efficient power plant (PP) that minimizes or eliminates emissions of carbon dioxide, nitrogen oxides, and particulate matter.
Based on a review and analysis of existing research projects and demonstrators worldwide aimed at reducing harmful emissions, three HTEPP energy system configurations are proposed for investigation:
- Scheme 1:
HTEPP using kerosene injected into the combustion chamber, hydrogen injected into the combustion chamber, and hydrogen supplied to the fuel cell (FC) (Fig. 2);
- Scheme 2:
HTEPP using kerosene injected into the combustion chamber and hydrogen supplied to the fuel cell (FC) (Fig. 3);
- Scheme 3:
HTEPP using kerosene injected into the combustion chamber and hydrogen produced from kerosene for supply to the fuel cell (FC) (Fig. 4).

Scheme 1 of an HTEPP with a turboprop engine (using kerosene, liquid hydrogen for the combustion chamber and the FC): 1 – Propeller; 2 – Gearbox; 3 – Electric motor; 4 – Power control and distribution system; 5 – Battery; 6 – Power unit with FC; 7 – Hydrogen evaporator; 8 – Liquid hydrogen tank; 9 – Exhaust; 10 – Hydrocarbon fuel tank; 11 – Turbine; 12 – Combustion chamber; 13 – Engine shaft; 14 – Compressor; 15 – Air intake.

Scheme 2 of an HTEPP with a turboprop engine (using kerosene and liquid hydrogen supplied to the FCs): 1 – Propeller; 2 – Gearbox; 3 – Electric motor; 4 – Power control and distribution system; 5 – Battery; 6 – Power unit with FC; 7 – Hydrogen evaporator; 8 – Liquid hydrogen tank; 9 – Hydrocarbon fuel tank; 10 – Exhaust; 11 – Turbine; 12 – Combustion chamber; 13 – Engine shaft; 14 – Compressor; 15 – Air intake.

Scheme 3 of an HTEPP with a turboprop engine (with hydrogen conversion from kerosene for FC supply): 1 – Propeller; 2 – Gearbox; 3 – Electric motor; 4 – Power control and distribution system; 5 – Battery; 6 – Power unit with FC; 7 – Steam reforming plant; 8 – Soot trap; 9 – Hydrocarbon fuel tank; 10 – Exhaust; 11 – Turbine; 12 – Combustion chamber; 13 – Engine shaft; 14 – Compressor; 15 – Air intake.
The energy system was developed and analyzed for an advanced HTEPP. The system consists of the following components: a turboprop engine; propeller; gearbox; electric motor; fuel cell (FC) power unit; battery pack; steam reforming unit; soot collector; power cables; and an automatic electric power control and distribution system. The development of the energy system for the advanced HTEPP also includes a water recovery system that redirects water from the FC stack to the main combustion chamber of the turboprop engine. This approach is adopted to reduce harmful NOx emissions from the thermal engine and to decrease the turbine inlet temperature.
A numerical study was conducted based on the following assumptions applied in the development of the HTEPP energy system architecture:
The FC stack operates continuously at nominal power (maximum efficiency).
During takeoff and climb, additional electric power is supplied from the battery pack.
During descent, the FC unit charges the battery pack to its rated charge level.
The FC type considered is a high-temperature proton exchange membrane fuel cell (HT-PEMFC), operating at 150°C and using pure hydrogen as the fuel.
Hydrogen losses within the energy system are neglected.
The thermal energy released during FC operation is used for hydrogen evaporation and heating to operating temperature, with excess heat rejected to the environment.
The FC system includes [44]:
FC stack;
hydrogen subsystem – regulates the temperature of hydrogen supplied to the FC;
cooling subsystem – removes excess heat, which may be utilized for auxiliary purposes;
pneumatic subsystem – conditions incoming air by regulating humidity, flow rate, pressure, and temperature;
safety system – provides passive and active protection through continuous monitoring and control;
control system – ensures monitoring and regulation of FC operation;
cooling module – provides a closed internal cooling loop and an interface to the external cooling circuit;
electronic module – converts and stabilizes the output voltage from the FC stack;
air filter – ensures chemical filtration of the supplied air in accordance with FC stack requirements.
The DC/DC converter increases and stabilizes the FC output voltage (800 VDC). The proposed configurations (Figs. 2–4) indicate that the FC is utilized in all considered HTEPP schemes. It is proposed to use water recovered from the FC system as a working fluid in the thermal engine by injecting it into the combustion chamber. It is well established that water injection significantly reduces harmful emissions [45], primarily nitrogen oxides (NOx), carbon monoxide (CO), and unburned hydrocarbons (UHC). This effect is achieved through a reduction in combustion temperature, which decreases the rate of NOx formation and contributes to lowering CO and UHC emissions [46, 47]. Water injection reduces the peak cycle temperature and can lower NOx emissions by up to 70%. An analysis of pressure variations during the operating process indicates that exhaust gas pressure increases with rising exhaust gas temperature due to slower combustion. Water injection also slightly increases peak pressure fluctuations.
Thus, the methodology for generating and calculating the main parameters and performance characteristics of the advanced HTEPP energy system incorporates a water recovery system that redirects water from the FC stack to the combustion chamber of the HTEPP. This method is adopted to reduce harmful NOx emissions from the thermal engine and to decrease the total gas temperature at the gas turbine inlet.
For further investigation, the AI-450S-2 turboprop engine was selected for installation on an advanced 20-seat light passenger aircraft with a flight range exceeding 500 km at maximum payload. The AI-450S-2 aircraft turboprop engine was developed and manufactured by Ivchenko-Progress JSC (Ukraine). One of the research objectives is to determine the practical range of HTEPP application (i.e., the feasible hybridization degree) based on the implementation of water recovery in the turboprop engine (TPE) of a passenger aircraft.
The study employed mathematical simulation methods to model the airflow around the airframe and its components, as well as general scientific methods of analysis and synthesis of aircraft subsystems. The evaluation of aircraft aerodynamic performance and the engineering and navigation analysis of flight characteristics were conducted using a semi-empirical method [48]. A modular software package “Integration 2.2” was developed to perform parametric studies of the operating characteristics of the turboprop-powered aircraft during the preliminary design and upgrade stages [49, 50]. Table 1 presents the calculated HTEPP power at different stages of the aircraft flight profile.
Characteristics of HTEPP power at aircraft flight profile stages.
| Aircraft version with HTEPP | Start, warm-up, taxiing | Run-up, takeoff to circuit altitude | Climb to flight level | Cruise flight | Descent to circuit altitude | Landing approach | Taxiing into the parking lot | Total flight hours |
|---|---|---|---|---|---|---|---|---|
| Equivalent power Ne, stage average, kW | 170 | 1060 | 840 | 500 | 150 | 200 | 170 | |
| Stage duration t, min | 8 | 1.5 | 17 | 107.25 | 8 | 1.5 | 8 | 151.25 |
| Ne×t, kWh | 22.67 | 26.50 | 238.00 | 893.75 | 20.00 | 5.00 | 22.67 |
As shown in Scheme 1 (Fig. 2), the performance analysis was carried out for the HTEPP energy system operating on liquid hydrogen and aviation kerosene. The preliminary results of the study are presented in Table 2. For Scheme 2 (Fig. 3), the same preliminary performance analysis of the HTEPP energy system was used as in Scheme 1; however, the configuration considers aviation kerosene as the sole onboard fuel for the combustion chamber, with hydrogen supplied only to the FC. Accordingly, the total system weight includes the mass of the kerosene tank and the kerosene fuel.
Preliminary calculation results of HTEPP energy system characteristics (Schemes 1 and 2).
| Energy system characteristic | Parameter value | |||
|---|---|---|---|---|
| Share of electric power at flight (hybridization degree), % | 0.35 | 0.4 | 0.5 | 0.6 |
| FC required electric power, kW | 175.0 | 200.0 | 250.0 | 300.0 |
| Total required battery charge during taxiing, takeoff and climb, kWh | 287.17 | |||
| Battery power at takeoff and climb, kW | 10.81 | 21.62 | 43.24 | 64.86 |
| Mass of battery, kg | 13.3 | 26.7 | 53.3 | 80.0 |
| Battery volume, l | 6.7 | 13.3 | 26.7 | 40.0 |
| FC PEMFC high temperature, 150°C | ||||
| Module efficiency, % | 0.65 | |||
| Mass of FC stack, kg | 60.34 | 68.97 | 86.21 | 103.45 |
| Volume of FC stack, l | 54.69 | 62.50 | 78.13 | 93.75 |
| Mass of FC system, kg | 372.34 | 425.53 | 531.91 | 638.30 |
| Volume of FC system, l | 500.00 | 571.43 | 714.29 | 857.14 |
| Required hydrogen consumption, kg/h | 6.825 | 7.800 | 9.749 | 11.699 |
| Water consumption at FC outlet, kg/s | 0.017 | 0.019 | 0.024 | 0.029 |
| Required air consumption at fuel cell inlet, kg/s | 0.065 | 0.075 | 0.093 | 0.112 |
| Mass of required hydrogen, kg | 16.29 | 18.62 | 23.28 | 27.93 |
| Mass of liquid hydrogen tank, kg | 108.63 | 124.14 | 155.18 | 186.21 |
| Volume of liquid hydrogen tank, l | 230.14 | 263.01 | 328.77 | 394.52 |
| Number of electric motors, pcs. | 2 | |||
| Mass of electric motor, kg | 8.75 | 10.00 | 12.50 | 15.00 |
| Volume of electric motor control unit, l | 8.75 | 10.00 | 12.50 | 15.00 |
The analysis of the HTEPP configuration performance with additional hydrogen supply to the turboprop engine (TPE) demonstrates the need to ensure a balance of thermal power within the FC system (Table 3). Table 3 presents the balance between the thermal power released by the FC and the power required for hydrogen evaporation and heating. Heat losses between the FC and the hydrogen evaporator are not considered in this performance analysis. The left column of Table 3 shows the electric power of the FC system, while the right column presents the additional hydrogen mass flow rate that can be evaporated and heated using the thermal energy released by the FC and subsequently supplied to the turboprop engine. A reduction in hydrogen consumption in the turboprop engine would require excess heat to be rejected to the atmosphere. Conversely, an increase in hydrogen consumption in the turboprop engine would necessitate additional energy input for hydrogen evaporation and heating.
Balance of fuel cell power consumption.
| Electric power, kW, kW | Thermal losses in FC, kW | H2 flow rate through FC, kg/s | Vapor + heating required energy, kW | Available power, kW | Available H2 flow for engine, kg/s |
|---|---|---|---|---|---|
| 400 | 140 | 0.0015 | 9.42 | 130.58 | 0.0251 |
| 500 | 175 | 0.0019 | 11.77 | 163.23 | 0.0313 |
| 600 | 210 | 0.0023 | 14.12 | 195.88 | 0.0376 |
| 700 | 245 | 0.0027 | 16.48 | 228.52 | 0.0439 |
| 800 | 280 | 0.0030 | 18.83 | 261.17 | 0.0501 |
| 900 | 315 | 0.0034 | 21.19 | 293.81 | 0.0564 |
| 1000 | 350 | 0.0038 | 23.54 | 326.46 | 0.0627 |
| 1100 | 385 | 0.0042 | 25.89 | 359.11 | 0.0690 |
| 1200 | 420 | 0.0045 | 28.25 | 391.75 | 0.0752 |
| 1300 | 455 | 0.0049 | 30.60 | 424.40 | 0.0815 |
| 1400 | 490 | 0.0053 | 32.96 | 457.04 | 0.0878 |
| 1500 | 525 | 0.0057 | 35.31 | 489.69 | 0.0940 |
| 1600 | 560 | 0.0061 | 37.67 | 522.33 | 0.1003 |
Thus, to minimize overall system weight, hydrogen consumption in the turboprop engine should be correlated with the thermal losses of the FC system and, consequently, with the rated power of the FC. Hydrogen conversion into electrical energy is inherently accompanied by significant heat generation. This thermal energy can be utilized to heat hydrogen exiting the evaporator before it is supplied to the turboprop engine.
Scheme 3 (Fig. 4) employs a solid oxide fuel cell (SOFC) operating at 900°C in combination with a cracking (reforming) reactor that preliminarily decomposes kerosene into simpler chemical compounds. The selection of SOFC technology is justified by its high tolerance to impurities and additives in the supplied hydrogen. Oxidative steam reforming involves reactions that allow the heat released during partial oxidation to support the steam reforming process.
The preliminary results of this configuration are presented in Table 4.
Preliminary calculation results of HTEPP energy system characteristics (scheme 3).
| Energy system characteristic | Parameter value | |||
|---|---|---|---|---|
| Share of electric power in flight (hybridization degree), % | 0.35 | 0.4 | 0.5 | 0.6 |
| Required electric power of FC, kW | 175.0 | 200.0 | 250.0 | 300.0 |
| Total battery charge required for taxiing, takeoff and climbing, kWh | 287.17 | |||
| Mass of battery, kg | 13.3 | 26.7 | 53.3 | 80.0 |
| FC SOFC high temperature, 900°C | ||||
| Module efficiency, % | 0.65 | |||
| Mass of FC stack, kg | 175.00 | 200.00 | 250.00 | 300.00 |
| Volume of FC stack, l | 583.33 | 666.67 | 833.33 | 1000.00 |
| Mass of FC system, kg | 250.00 | 285.71 | 357.14 | 428.57 |
| Released thermal power of FC system, kW | 61.25 | 70 | 87.5 | 105 |
| Required hydrogen consumption, kg/h | 6.82 | 7.80 | 9.75 | 11.70 |
| Required kerosene consumption, kg/h | 20.77 | 23.74 | 29.67 | 35.61 |
| Mass of required kerosene, kg | 49.59 | 56.67 | 70.84 | 85.01 |
| Water consumption at FC outlet, kg/s | 0.02 | 0.02 | 0.02 | 0.03 |
| Required water consumption at cracking reactor inlet, kg/s | 0.011 | 0.013 | 0.016 | 0.019 |
| Available water remainder, kg/s | 0.006 | 0.007 | 0.008 | 0.010 |
| Mass of cracking reactor, kg | 6.71 | 7.67 | 9.59 | 11.50 |
| Volume of cracking reactor, l | 11.11 | 12.69 | 15.87 | 19.04 |
| Number of electric motors, pcs | 2 | |||
| Mass of electric motor, kg | 8.75 | 10.00 | 12.50 | 15.00 |
| Mass of electric motor control unit + DC/DC converter, kg | 7.29 | 8.33 | 10.42 | 12.50 |
Note that as the power of the electric propulsion system increases, additional thermal energyis required. Under such conditions, it becomes practical to utilize waste heat from the gas turbine engine to support the reforming and fuel cell processes.Therefore, to ensure overall system efficiency, integration of thefuel cell and the cracking reactor with the gas turbine engine isnecessary. Ultimately, this may lead to deeper integration of the fuel cell within the gas turbine engine architecture.
The development of a conceptual layout for a light passenger aircraft equipped with an HTEPP can proceed once the fundamental mass and volume characteristics of the energy system components have been determined.
For scientific and methodological investigation, taking into account the calculated mass and volume characteristics of the HTEPP energy system, a new 20-seat passenger aircraft model was developed (Fig. 5). The design of the new aircraft was based on the positive operational characteristics and performance of the An-28, L-410UVP-E [51, 52], L-410UVP-E20, and Evektor EV-55 Outback [21, 22] aircraft.

Conceptual model of a new light passenger aircraft equipped with an HTEPP.
The L-410UVP-E aircraft was selected as the baseline configuration. However, the design was modified to improve aerodynamic efficiency and propulsion performance. The Walter M601E engine was replaced with the AI-450S-2 [53], and the five-bladed Avia V510 propellers were replaced with five-bladed AI-P500V5 propellers. The engine and gearbox were developed and manufactured by Ivchenko-Progress JSC (Ukraine).
The fuselage and wing of the baseline model were redesigned. The wing was modified to accommodate the HTEPP and to account for wing–propeller interaction effects, including the beneficial influence of propeller slipstream over the wing. The wing incorporates integrated fuel tanks. The auxiliary fuel tanks previously located on the wingtips were removed and replaced with aerodynamic winglets to reduce induced drag. The battery compartment was relocated to the wing center section, near the main landing gear. The lower fuselage fairings were enlarged to accommodate the landing gear and HTEPP components. The empennage was also modified to improve overall aerodynamic performance.
When developing the design concept of the light passenger aircraft, environmental impact requirements were taken into account. Airlines are increasingly investing in environmentally friendly technologies such as biofuels, electric and hybrid-electric aircraft, and more efficient propulsion systems. These innovations aim to reduce carbon emissions, minimize environmental impact, and support the transition toward more sustainable air transport. The upgraded passenger aircraft (Fig. 5) is equipped with a turbo-electric propulsion system incorporating a turboprop engine and utilizing advanced materials, including carbon composites, lightweight alloys, and components manufactured using additive (3D printing) technologies. The implementation of these technologies in the aircraft design has enabled weight reduction, improved performance characteristics, and reduced environmental impact compared with conventional aircraft in the same class.
This study does not address issues related to the future certification of aircraft equipped with an HTEPP. It is assumed that the takeoff and landing performance of the upgraded aircraft will comply with ICAO Code 1 runway length requirements. According to EU Regulation No. 139/2014, Code 1 corresponds to runway lengths of less than 800 meters (2,625 feet) [54]. Future research will focus on detailed studies supporting the development of safety requirements for the operation and maintenance of aircraft incorporating hydrogen technologies.
A comparison of the calculated results with experimental data for the L-410UVP-E20 aircraft was performed using data reported in [51, 52]. The geometric parameters of the L-410UVP-E20 were obtained from the aircraft drawings. To evaluate the influence of the propeller slipstream (wing blowing effect) on the aerodynamic coefficients in cruise flight, the propeller diameter and rotational speed were taken into account. In addition, the following parameters were considered: advance ratio, equivalent engine power, disk loading (load coefficient of the propeller-swept area), propeller thrust coefficient, and propeller power coefficient.The propeller efficiency coefficient for each flight mode, equivalent specific fuel consumption for the respective flight modes, and engine shaft rotational speed were also included in the analysis. The propeller efficiency values were taken from [51], assuming that the reduction of engine shaft speed to cruise conditions does not significantly affect propeller efficiency. The equivalent specific fuel consumption was derived from the performance characteristics of the Walter M601E engine.
According to [51], the maximum lift-to-drag ratio (aerodynamic efficiency) of the aircraft with landing gear and flaps retracted is K = 14 units at an angle of attack α ≈ 7°. The calculated maximum lift-to-drag ratio obtained in this study is K = 14.1 at α ≈ 7.43°. The calculated zero-lift angle of attack is α0 ≈ - 2.6°, compared with α0 ≈ - 2° reported in [51]. The satisfactory agreement between calculated and reference lift and drag coefficients enabled the determination of flight performance characteristics for a typical mission profile, which are presented in Table 5.
Comparison of calculated results and experimental data for the L-410UVP-E20 aircraft.
| Performance parameter | Experimental data | Calculated data | Relative error, % |
|---|---|---|---|
| Takeoff length, m | 390 | 389 | 0.25 |
| Take-off distance, m | 560 | 558 | 0.35 |
| Fuel consumption per kilometer, kg/km | 0.76 | 0.785 | 3.29 |
| Hourly fuel consumption, kg/h | 249 | 244 | 2.0 |
The analysis of the presented results indicates that the calculated data are in satisfactory agreement with the experimental data reported in [51, 52].
Table 6 presents the mass balance of the aircraft equipped with an HTEPP for the considered energy system schemes. The mass of the HTEPP was calculated for each configuration to ensure the required energy supply throughout the flight cycle.
Mass balance of the aircraft design for different energy schemes (hybridization degree = 0.4).
| Energy system scheme | Take-off mass, kg | Airframe mass, kg | PP mass (engine, propellers, systems), kg | Mass of the energy system and battery, kg | Crew mass, kg | Fuel mass, kg | Commercial load mass, kg |
|---|---|---|---|---|---|---|---|
| base model | 6600 | 2920 | 700 | 0 | 180 | 1000 | 1800 |
| Scheme 1 | 7380 | 2870 | 660 | 1410 | 180 | 460 | 1800 |
| Scheme 2 | 7415 | 2870 | 660 | 1360 | 180 | 545 | 1800 |
| Scheme 3 | 7160 | 2870 | 660 | 1110 | 180 | 540 | 1800 |
Table 6 shows the onboard mass of the energy system and battery. The mass of the HTEPP equipment described above is Men sys = 733 kg for Schemes 1 and 2 and Men sys = 608 kg for Scheme 3.
A standard flight profile for a passenger aircraft was investigated. Objective functions of the study were:
- ‒
maximization of flight range (with commercial load mass kept constant);
- ‒
minimization of gross harmful emissions.
Using the developed methodology, range calculations were performed for the L-410UVP-E20 aircraft. For comparison between the new aircraft configuration and the baseline aircraft, Fig. 6 also presents the calculated range values for the L-410UVP-E20. The variation in the payload–range diagram was adopted as the primary indicator for assessing the level of aircraft modification (Fig. 6). The operating characteristics of the aircraft at maximum flight range, with constant commercial load mass, were analyzed. The share of electric power in the flight cycle was set to 40%.

Payload–range diagram.
As shown in Fig. 6, the increase in flight range achieved through the use of the HTEPP energy system is relatively modest. The extension of the maximum range of the upgraded aircraft equipped with the HTEPP according to Scheme 1 is primarily attributed to the increased onboard energy reserve resulting from the combined use of hydrogen fuel, hydrocarbon fuel, and electrical energy stored in the batteries. However, this improvement in range is partially offset by the increase in aircraft takeoff mass associated with the additional energy system components.
The dependence of the total gross emissions of harmful substances, ΔGE∑ on the HTEPP hybridization degree for the upgraded aircraft using Scheme 1 (Fig. 7) provides a first-order assessment of its impact on improving the aircraft’s environmental performance. In analytical form, this relationship can be approximated by the following equation:

Dependence of the change in gross harmful emissions of the upgraded aircraft on the degree of hybridization.
The results obtained show that take-off performance of the upgraded aircraft equipped with an HTEPP according to Scheme 2 at the maximum degree of hybridization ΠHPP = 0.6, is LT/O = 712 m and Lrun-up = 639 m. The analysis of these results indicates that the airfield category can be preserved when upgrading the baseline aircraft to a hybrid-electric configuration under the adopted typical flight cycle. The takeoff distance of the upgraded aircraft equipped with HTEPP Schemes 1 and 2 does not exceed 800 m. This result is explained by the increased thrust-to-weight ratio of the upgraded aircraft resulting from the hybrid-electric propulsion system.
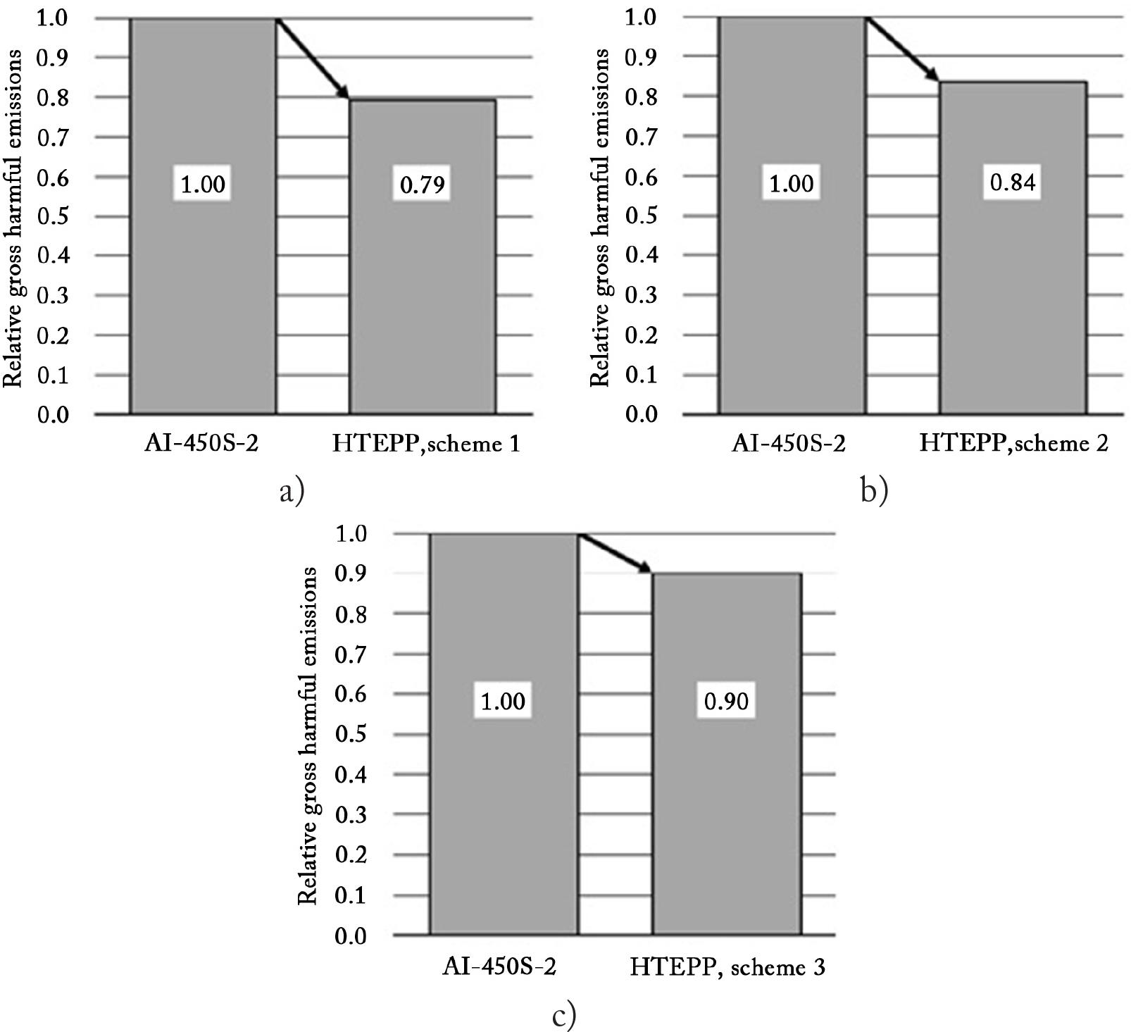
The study also provides an initial estimate of the gross harmful emissions from the aviation power plant (Fig. 8). The calculation of emission values was performed in accordance with ICAO Annex 16 – Environmental Protection, Volume II – Aircraft Engine Emissions, and SAEP/8 recommendations. The publicly available ICAO emissions database was used for reference [55]. The total emissions of the AI-450S-2 turboprop engine were taken as the 100% reference level of gross harmful emissions.

Comparative evaluation of gross harmful emissions for HTEPP configurations using energy Scheme 1 (a), Scheme 2 (b), Scheme 3 (c).
Taking into account the injection of a hydrogen mixture into the main combustion chamber, the use of water recovered from the FC system, and the reduced consumption of kerosene, gross harmful emissions decreased by approximately 21.1% for Scheme 1, 16.2% for Scheme 2, and 10.3% for Scheme 3. Scheme 3 demonstrates the smallest reduction in harmful emissions, which is likely attributable to increased soot formation during the steam reforming of kerosene. For all considered energy schemes, the gas temperature upstream of the turbine decreased by approximately 6–8%, which has a beneficial effect on turbine blade service life.
The analysis of the parametric concept of the advanced passenger aircraft demonstrates the need for two complementary power generation systems, requiring a rational integration of the aircraft and the hybrid power plant (HPP) into a unified technical system. Proper integration of the propulsion system with the airframe can lead to reduced noise levels, lower fuel consumption, and decreased gross emissions of harmful substances.
Maximum aircraft efficiency is achieved through the introduction of electrical components into the propulsion system. However, the feasibility and extent of electrification depend strongly on the intended aircraft mission. For aircraft with a flight range of up to 600 km, electric propulsion systems would require batteries with significantly higher energy capacity, resulting in a substantial increase in aircraft mass. Under such conditions, the expected benefits diminish, as the specific fuel consumption increases over the flight cycle due to the weight penalty. For aircraft with flight ranges of up to 2000 km, partial turboelectric or hybrid-electric propulsion systems appear to be more practical.
For aircraft with a range of approximately 500 km, the use of fuel cells offers notable environmental advantages, including zero CO2 emissions (when green hydrogen is used), improved energy efficiency compared with conventional internal combustion engines, and the potential for lighter and more compact energy systems relative to purely battery-based solutions. These factors contribute to increased flight endurance and reduced noise during power plant operation. An additional operational advantage for aircraft in this range category is the significantly shorter refueling time compared with battery recharging.
The investigation of the three energy system configurations indicates the limited efficiency of the HTEPP scheme employing hydrogen reforming from kerosene for fuel cell supply. To achieve a flight range comparable to that of a kerosene-powered configuration, substantially greater system mass and volume would be required.
This study does not address the challenges associated with hydrogen production, onboard storage, and distribution within the aircraft. These issues represent separate scientific and technical problems [56, 57]. Hydrogen storage tanks and conversion systems require the application of advanced materials and manufacturing technologies. The adoption of composite materials, nanomaterials, and additive manufacturing technologies enables the development of lighter, stronger, safer, and more environmentally sustainable aircraft structures [58].
Future research will focus on detailed modeling of hydrogen conversion processes, energy storage and discharge throughout the flight mission, and refinement of the obtained calculation results.
This study examined the influence of different hybrid turboelectric power plant (HTEPP) energy system architectures on the performance and environmental characteristics of a 20-seat regional passenger aircraft. By integrating fuel cell technologies with a turboprop-based propulsion system and applying a modular simulation framework, the work provides a parametric assessment of how hybridization degree and energy source configuration affect aircraft-level outcomes.
The results demonstrate that the benefits of hybrid-electric integration depend strongly on the selected architecture and the balance between electrical and thermal energy sources. While increases in flight range remain moderate due to the additional mass of hydrogen storage, fuel cell systems, and associated subsystems, measurable reductions in harmful emissions can be achieved. The magnitude of these reductions varies across configurations, with direct hydrogen use in combination with fuel cells showing the most favorable environmental performance. At the same time, reforming-based solutions introduce additional mass and thermodynamic penalties that limit their overall effectiveness for the considered aircraft class.
The study highlights the central importance of energy management strategy in hybrid-electric propulsion systems. The degree of hybridization determines not only the sizing of key components but also the distribution of power throughout the flight cycle, directly influencing fuel consumption, emissions, and operational feasibility. Effective integration of propulsion subsystems, including the use of fuel cell by products such as waste heat and recovered water, can enhance overall system efficiency and contribute to emission mitigation.
For regional aircraft with mission ranges on the order of several hundred kilometers, hybrid configurations combining turboprop engines and hydrogen-based electrical generation appear technically feasible within current technological projections. However, system mass, volumetric constraints, and integration complexity remain critical design drivers. The findings suggest that hydrogen-assisted hybrid-electric propulsion may offer meaningful environmental advantages in short- and medium range applications, provided that advances in lightweight materials, hydrogen storage, and system integration continue.
Future work should focus on higher-fidelity modeling of hydrogen storage and conversion processes, refined mission-based optimization of energy management strategies, and experimental validation of integrated hybrid-electric architectures. Such developments will be essential for assessing the practical viability of hybrid turboelectric systems as part of the transition toward lower-emission regional air transport.
Based on the conducted research and the obtained results, the following conclusions can be drawn.