The aviation market is continually striving to adapt to meet the requirements and expectations of potential customers, forcing aircraft designers to stay abreast of trends in improving aircraft performance and overall comfort of flying. Such advancements can be achieved by means of novel lightweight composite materials, noise reduction, ergonomic cabin designs, aerodynamic improvements in external geometry, especially in terms of wing shapes. One key to achieving superior aircraft design is known as multidisciplinary optimization. This comprehensive approach encompasses virtually all factors that influence the final product, including aerodynamics, flight dynamics, structural integrity, avionics, environmental impact, safety, and cabin ergonomics, while also adhering to stringent aviation regulations. To remain competitive in general aviation, adopting challenging solutions is an imperative.
In improving an airplane’s performance, the choice of a power unit plays a key role. This question, in turn, is strongly associated with the fuel consumption, overall efficiency and weight of the propulsion system, range and endurance performance, take-off and landing properties, maintenance, as well as with balance envelope and total costs arising from aircraft operation.
Recent technological advancements have facilitated the development of compact, lightweight aero-structures equipped with advanced turbine engines. These modern turboprops are not only more fuel-efficient and lighter but also boast greater overall efficiency compared to traditional piston engines, as detailed in [1], Chapter 15. These attributes have been making turbine engines an increasingly preferred choice in contemporary aircraft design over piston engines.
Historically, however, turbine engines have not been the preferred choice of power units for small aircraft, mainly in view of their perceived bulkiness and their complex maintenance requirements as compared to reciprocating engines. Their selection was further discouraged by the high fuel consumption and costs associated with older turbine models, both in terms of purchase and the maintenance work required by on-ground service and in-flight operation. Nevertheless, recent trends and technological advancements are shifting this perspective, making turbine engines an increasingly popular option.
One critical factor influencing this shift is the intermittent shortages of raw materials, which have disrupted the production of AVGAS 100LL fuel, leading to concerns over the sustainability of gasoline availability. This challenge has spurred interest in alternative power units for aviation, notably in designs that replace traditional piston engines with turbine ones.
Modern turbine engines bring substantial improvements in noise reduction, operational costs, and fuel efficiency, while enhancing overall propulsion efficiency and engine performance. Furthermore, advances in production technology and the adoption of Lean Manufacturing principles have facilitated the development of lighter-weight, smaller and cheaper turbine engines suitable for both experimental and general aviation, as well as potentially for unmanned vehicles in the future [2-4].
Indeed, there is no doubt that the future of aviation belongs to pure- or hybrid-electric powered aircraft. For the time being, the efficiency of batteries and the price of such motor systems are constraining the widespread adoption of this type of propulsion. This situation creates a niche for deployment of the turboprop engines, which are now lighter and more powerful than before.
Remarkably, an aircraft itself plus the fuel on board typically constitute up 80% of the overall take-off weight. As the weight of modern aircraft is brought down through the use of lighter materials and more compact power systems, the useful payload increases. Integrating the benefits and features of innovative turboprop engines with improvements in wing and fuselage design, using existing airframes, is viewed as a viable and promising strategy for future aviation developments.
These engine-related trends are visible worldwide [5-6]. Moreover, many research projects have investigated the viability of adopting turboprop engines as propulsion for experimental and general aviation (GA) aircraft [7-8]. A methodological approach to analyzing these engines involves comparing the same aircraft structure with two different types of power units installed. Properly defining the appropriate assumptions and design constraints, however, is crucial to be able to draw reliable conclusions from studies. One pertinent example is the ESPOSA (Efficient Systems and Propulsion for Small Aircraft) project [9], which aimed to develop and integrate novel design and manufacture technologies for a range of small gas turbine engines, so as to provide aircraft manufacturers with better choice of modern propulsion units.
This paper examines the influence of engine type on the dynamic properties of a light and small aircraft. In the first step, we selected for study an I-23 Manager 4-seater, low-wing piston aircraft, originally built in the normal category of the US Federal Aviation Regulations (FAR), Part 23 Amendment 42, [10]. Next, in accordance with the assumptions of the ESPOSA research project, the Continental IO-200 reciprocating engine with a metal 2-bladed propeller was replaced with a turboprop system. A novel turbine engine called TP-100 [11], with a 5-bladed composite propeller by MT-Propeller, was fitted. The upgraded version of the aircraft, designated as I-31T, meets the normal category requirements of the European Certification, CS Part 23, as regulated by EASA [12]. The only differences between two versions of the aircraft pertain to the nasal portion of the fuselage, due to the fact that the total mass of a turbine engine is typically less than that of a piston engine. To preserve the same weight and balance profile of the aircraft, replacing the power units necessitates such modifications of the structure. Specifically, this involves appropriately extending the front section of the fuselage and redesigning the engine mount. The most significant differences between the two configurations are detailed in Table 1.

The I-23 Manager driven by a low-power piston engine and a 2-blade propeller.

Side, front and top views of the aircraft after transition to the turboprop version, designated I-31T.
General specification for the aircraft built in two versions: with a piston engine (left column) and with a turbine engine (right column)
| the single engine piston (SEP) aircraft – I-23 Manager | the single engine turboprop (SET) aircraft – I-31T | ||
|---|---|---|---|
| general characteristics | Crew | One | |
| Capacity | Three passengers | ||
| Length | 7.103 [m] | 7.640 [m] | |
| Wingspan | 8.944 [m] | ||
| Height | 2.846 [m] | ||
| Wing Airfoil | NACA 63A416 | ||
| Maximum Wing Loading | 115 [kg/m2] | ||
| weight & balance | Maximum take-off/landing weight | 1150 [kg] | |
| Empty weight | 825 [kg] | 908 [kg] | |
| CG limits | 19.8 [%MAC] ÷ 35.0 [%MAC] | ||
| performance | Design Cruise Speed | 295 [km/h] | |
| Design Diving Speed | 370 [km/h] | ||
| Operating Maneuvering Speed | 246 [km/h] | ||
| Maximum Landing Gear Down Speed | 184 [km/h] | ||
| Stalling Speed, flaps up | 125 [km/h] | ||
| Stalling Speed, full flaps | 113 [km/h] | ||
Transitioning from one engine type to another in general aviation aircraft requires careful consideration and strategic constraints imposed by the chief design engineer. Assuming that the re-engining process is limited only to essential modifications, it can be expected to have only a relatively small influence on the aerodynamic properties of the aircraft. Comparative studies of the aerodynamic characteristics of the two configurations considered in this study indicated that converting the piston aircraft into a turboprop aircraft did not cause significant aerodynamic changes. Most aerodynamic coefficients were found to be almost the same, with any quantitative differences deemed negligible.
However, a potential shift towards electric or hybrid propulsion systems still faces significant challenges. Current technologies used in solar panels, fuel cells, and batteries do not yet offer the efficiency or capacity to justify their use as primary power units in aviation. Consequently, the general aviation market is still dominated by craft driven by internal combustion engines (ICE), with the subcategory of aircraft equipped with the reciprocating piston engine (RPE) type of propulsion prevailing.
Despite these challenges, the number of aircraft adopting turboprop engines is on the rise. This increase can be attributed to significant advancements made by engine manufacturers and numerous international research projects. These projects have led to the development of a burgeoning segment of small gas turbine engines, up to approximately 1000 kW, which are transforming general aviation [9].
The evolution of the modern turboprop aircraft is marked by enhancements in propulsion effectiveness and viability, significant strides in flight safety, and a reduction in pilot workload. Additionally, cutting-edge technological developments have led to innovations in critical engine components and lean manufacturing processes. These advancements not only improve the operational capabilities of aircraft but also significantly reduce both direct costs and operating expenses, reinforcing the growing appeal of turboprop engines in the general aviation sector.
In order to obtain a type certificate enabling a new aircraft to be placed into operation, each aircraft manufacturer must demonstrate compliance of its newly developed product with all pertinent regulatory standards from the appropriate aviation authority. The certification process of a newly developed aircraft is highly complex, expensive and prolonged, but nonetheless mandatory for validating that the type of aircraft meets the safety requirements.
The piston aircraft involved in our study was initially certified under the normal airworthiness standards issued by the Federal Aviation Agency (FAA) in the United States [10]. Due to time constraints associated with engine replacement modifications, certain simplified assumptions needed to be defined. First of all, the same Certification Basis was maintained, thus necessitating re-verification only with respect to those points of the specifications that pertain to the new or redesigned, aircraft parts affected by the modernization.
Thus, the change of engine type entailed a number of consequences. This shift necessitated the design of a new engine mount, engine covers, exhaust system, and the selection of a suitable propeller. Following this modernization, the front section of the turboprop fuselage became longer than that of the piston-engine vehicle [9]. This was due to the engine placement being shifted towards a more forward position, given the lower weight of the turbine engine compared to the reciprocating one. This decision stemmed from the initial assumption that both variants of the aircraft have to have the same balance (weight-CG-position) and load (V-nz diagram) envelopes. Furthermore, alterations to the aircraft’s external geometry influenced its aerodynamic characteristics. It was anticipated that increasing the top and side cross-sections of the nasal part of the fuselage could detract from the dynamic stability of the turboprop aircraft, an effect potentially exacerbated by the propeller. These modifications also resulted in changes to the mass distribution and moments of inertia.
The aim of this paper, therefore, is to assess the influence of the engine-related modification of a small aircraft, focusing primarily on a comparative analysis of the changes in aircraft dynamic stability resulting from the switch in the type of propulsion. At the same time, the study attempts to determine the feasibility and effectiveness of this approach. Thus, the paper strives to take into account not only the advantages of modifying an existing aircraft but also the drawbacks, including all the constraints and additional efforts required to certify a new type of aircraft.
Comparison of data for the aircraft built in two versions: with a piston engine (left column) and with a turbine engine (right column)
| the single engine piston (SEP) aircraft – I-23 Manager | the single turboprop engine (STE) aircraft – I-31T | ||
|---|---|---|---|
| engine | Model (Engine Manufacturer / Country) | 1 x Textron Lycoming O-360-A1A (Textron / U.S.A.) | 1 x PBS TP-100 (Prvni Brnenska Strojirna PBS / Czech Republic) |
| Engine type | Piston - a four-cylinder, horizontally opposed (boxer), air-cooled | Turboprop with a free-turbine | |
| Maximum power | 134.2 [kW] (180 [HP]) | 180 [kW] (241 [HP]) | |
| Nominal (maximum continuous) power | 134.2 [kW] (180 [HP]) | 160 [kW] (214.6 [HP]) | |
| Dry weight | 131.5 [kg] | 57 [kg] | |
| propeller | Propeller Manufacturer | Hartzell Propeller | MT-Propeller |
| Propeller Model | HC-C2YR-IBF/F7666A-4 | MTV-25-1-D-C-F/CFL-180-05 | |
| Number of blades | 2 | 5 | |
| Diameter | 1.83 [m] | 1.80 [m] | |
| Sense of rotation (from a pilot point of view) | Clockwise (CW) (in flight direction - to the right) | Counter-clockwise (CCW) (in flight direction - to the left) | |
| Propeller rotational speed | 2700 [RPM] | 2158 [RPM] | |
| Basic characteristics & Properties | 2-blade, metal, controllable pitch, constant-speed propeller | 5-blade; composite, controllable-pitch, constant-speed propeller | |
| Maximum efficiency | 84.5 [%] | 78.9 [%] | |
| fuel | Type of fuel | Aviation Gasoline AVGAS 100LL | Kerosene-type fuel JET A-1 |
| Maximum weight of fuel in fuel tanks | 130 [kg] | 140 [kg] | |
| Total weight of power system (weight of all elements loaded an engine mount) | 186 [kg] | 173 [kg] | |
| Incidence angle of propeller axis of rotation (thrust axis)∗1 | 0 [deg] | 2 [deg] |
measured with respect to the horizontal (longitudinal) axis of aircraft
Integrating the turboprop power system into the airframe forced the aviation engineers to develop a dedicated engine mount and, by extension, new engine cowlings as well as an exhaust system. Consequently, this led to larger surfaces of the top (Fig. 3) and side (Fig. 4) projections of the fuselage.

Comparison of the top views of the two engine-variants of the aircraft, with the difference in the XY-cross-section surface area shown in green.

Comparison of the side views of the two engine-variants of the aircraft, with the difference in the XZ-cross-section surface area shown in red.
Even though the above-listed initial assumptions were made to reduce the number of additional procedures, design-related tasks and tests necessary for attaining flight approval for the turboprop, it is anticipated that the two aircraft will slightly differ in terms of external loads, flight performance, and dynamic stability. Replacing the propulsion system makes it unfeasible to maintain the original distribution of mass points. This, in turn, affects the values of all components of the moment of inertia tensor. Furthermore, any modification to the geometry of a flying vehicle also influences its aerodynamic characteristics. Substantial roles in the analysis of static and dynamic stability are played not only by inertia and aerodynamic properties, but also by the operational parameters and placement of the power unit. Furthermore, replacing a piston engine equipped with a 2-blade metal propeller with a turbine engine equipped with a 5-blade composite propeller results in variations in the spatial behavior of the aircraft versions considered in this paper. Given that any power-plant-related modernization affects an aircraft, changes in its flight characteristics and dynamic response to pilot control inputs should be always taken into account.
Calculations were carried out to assess the influence of the. newly mounted power unit on dynamic stability of a small-sized aircraft. Critical parts of the analysis were performed using SDSA software (see [13] and the description in Chapter 7 therein). Before commencing with the main computational stage, it was necessary to establish certain simplified assumptions.
The mass models for the selected aircraft versions were defined in a way so that the weight and balance configurations would be as similar as possible. The study encompassed the fully range of permissible flight speeds, identical for both the I-31T as for the I-23 Manager. Given that the chosen flight altitude was fixed at was 200 meters, ground effects were considered negligible and not necessary to take into account. However, despite efforts to make both vehicles variants as similar as possible in terms of geometry, aerodynamics, and all parameters resulting from the limitations associated with the distribution of loads, flight performance, weight restrictions and the permissible center of gravity range, some differences between them were inevitable. These primarily stemmed from slightly different mass distributions of the fuselage nose sections (where the engines were mounted). Furthermore, variations in fuel density between kerosene and gasoline led to divergences in the fuel-tank-sections of wings. As a consequence, while the calculated moments of inertia of the aircraft models were similar, they were not identical.
The above-mentioned discrepancies directly impacted the dynamic properties of the aircraft and were undoubtedly among the reasons for the changes in the characteristics of the modes of motion considered while assessing dynamics stability. Another source of variation stemmed from slightly different aerodynamic data, which primarily reflected the external geometry and performance of each aircraft. To fully comprehend the problem, it was essential to consider a range of mutually interacting factors. Therefore, in order to thoroughly investigate and analyze the dynamic characteristics of each vehicle, a full set of aerodynamic parameters needed to be collected.
Basic aerodynamic properties, such as variations in lift, drag and pitching moment coefficients with angle of attack, were determined utilizing the commercial software Ansys Fluent [14]. In contrast, aerodynamic derivatives were calculated using a classical method based on empirical expressions [15-24]. The computational approach used to model the aerodynamic characteristics of lightweight aircraft with conventional tail arrangements has been demonstrated to be accurate, as confirmed by the previous reports [25-29]. The mathematical algorithms developed to calculate aerodynamic derivatives are considered sufficiently precise for examining the dynamic stability of the two aircraft versions. Moreover, these conclusions were supported by comparisons with results from both wind tunnel tests and flight tests [30-33].
The aerodynamic derivative of the pitching moment coefficient concerning the angle of attack primarily affects the undamped frequency of the short period [23, 24, 34]. As the value of Cmα increases, the frequency ωnSP also increases. Across the entire range of admissible operating parameters and at each airspeed, the considered aero-derivative Cmα for the piston aircraft is more negative than for the turbine variant, mainly because of the shorter length of the engine-section of fuselage of the baseline model. However, the graph below (Fig. 5) shows the positions of the centers of gravity for both aircraft in front of their stick fixed neutral points, which means positive static stability of both aircraft.

Plot of derivatives of static pitch stability coefficient as a function of angle of attack for the piston and turboprop aircraft.
At low flight speeds, the predominant factor influencing the value of the derivative

Comparison of derivatives of lift coefficient with respect to rate of change of angle of attack for the piston and turboprop aircraft.
Changes in the pitching moment coefficient (Cm) relative to variations over time in the angles of attack primarily affect the damping ratio of the short period. As the aerodynamic derivative
The value of

Changes in derivatives of pitching moment coefficient with respect to rate of change of angle of attack as a function of angle of attack for the piston and turboprop aircraft.
The influence of the wings on the derivative of the lift coefficient with respect to pitch rate (q) is relatively small, especially for aircraft with rectangular wings, which lack both a taper ratio (λ; λ≠1) and wing leading-edge (LE) sweep-back angle (ΛLE, ΛLE=0°). For the total value of this aerodynamic derivative, the effect excited by horizontal tail is of key importance. Given that the two aircraft have exactly the same design in this respect, the differences between the overall values of this derivative are insignificant.

Variation in derivatives of the dimensionless lift coefficient (Cz) with respect to pitch rate (q) for the piston and turboprop aircraft.
The derivative of the pitching moment coefficient (Cm) with respect to the pitch rate (q) affects the damping ratio of the short period, often in a much stronger manner than the derivative of the pitching moment coefficient (Cm) with respect to the angle of attack (α). Therefore, the more negative the value of Cmq, the stronger the damping of these longitudinal oscillations. However, given the insubstantial variation in the value of this derivative between the two engine versions of the aircraft, the responses of both vehicles to disturbances from steady-state conditions are predicted to be similar.
Changes in side force with respect to the sideslip angle are directly related to Dutch roll damping, with the most significant influence exerted by the vertical tail. Slightly less impact is induced by a fuselage, whereas the contribution of wings can essentially be neglected. Due to the identical empennages of the two analyzed aircraft, any discrepancies in the values of this aerodynamic derivative primarily stem from differences in the engine section geometry of the fuselage.

Changes in stability pitching moment coefficients with respect to the pitch rate for the aircraft driven by piston and turboprop engines.
Comparing the two vehicle variants, the turboprop’s fuselage has a larger side surface area at the forepart of the aircraft body. The fuselage aspect ratio, as well as the fuselage side cross-section area located in front of the aerodynamic center of the object driven by turbine power unit, are the main factors contributing to a more negative value of side force while flying at a positive sideslip angle.

Comparison of side force coefficients variation with respect to sideslip angle for the piston and turboprop aircraft.
The stability derivative expressing the change in rolling moment caused by a variation in sideslip angle is thought to be the most important in assessing an aircraft’s lateral properties. Moreover, this derivative Clβ is affected by nearly all the parts of an aircraft. Therefore, the algorithms employed to determine its total value account for the effects of wing dihedral, wing planform, wing-fuselage interference, fuselage contribution as well as vertical tail impact.
Accordingly, the differences in the total value of the derivative Clβ for the two aircraft can only result from the component associated with the influence of the fuselage. However, the empirical terms used to estimate the fuselage’s contribution to changes in the rolling moment with respect to sideslip angle do not include any parameter that differentiates the two aircraft under consideration. Consequently, it was determined that within the linear range of angles of attack, Clβ is not dependent on the propulsion type used to power the light aircraft, assuming there are no other differences directly related to the engine section of the fuselage.

Differences in total values of rolling moment coefficients with respect to sideslip angle for the piston and turboprop aircraft.
Derivative Cnβ was found to be the most important among all the derivatives representing changes in yawing moment. For aircraft with a conventional empennage design, driven by the single power unit being mounted in the fuselage, the Cnβ value is determined by the wings and vertical tail. In view of the larger side surface of the front part of fuselage, i.e. ahead of the center of gravity of the turboprop, across the whole range of angles of attack this derivative is slightly smaller than for the basic, non-modernized model (Fig. 12).

Graph showing the change of aerodynamic derivatives of yawing moment coefficients with sideslip angle for the piston and turboprop aircraft.
Lastly, the research confirmed that geometric modifications do not result in qualitative changes in the values of aerodynamic derivatives. However, there are quantitative differences, which are assessed to be so minor that significant changes in the dynamic stability of the turboprop compared to the reciprocating aircraft should not be anticipated. Nevertheless, some discrepancies may arise due to the larger values of moments of inertia for the developmental model, resulting from the longer nasal part housing the new drive unit with a 5-blade propeller and the necessary propulsion systems. To estimate how the change in engine type translated into the stability of the vehicle, a detailed analysis was undertaken. This included, initially, a comparative assessment of the static stability of both aircraft. In the subsequent step, the dynamic stability was examined. Eigenvalues for each mode of motion were identified and evaluated utilizing the stability criteria. Ultimately, conclusions were formulated, with a particular focus on comparing the aerodynamic databases and the in-flight properties of the investigated vehicle versions. Additionally, the findings also addressed the influence of the power unit type on the dynamic properties of general aviation aircraft as well as the reasonableness of integrating turboprop engines into small aircraft models.
Each structural modification affects an aircraft’s stability [22, 25, 35-36]. Any increase in the geometrical dimensions of the front section of an aircraft, i.e. ahead of the aerodynamic center, diminishes static stability margins. To maintain the center of gravity of the vehicle unchanged while replacing a heavier piston engine with a lighter turbine engine, it is necessary to mount the newer one on a longer arm. Moreover, consideration must be given to the adverse effects of replacing a 2-blade propeller with a 5-blade one. Although both propellers have similar diameters and rotational speeds, resulting in minimal differences in drag, the negative influence primarily stems from the higher normal force which additionally acts on the longer arm, thereby producing a greater value of a nose-up pitching moment. A certain amount of an undesirable upward normal force is also generated by the engine covers, having an increased upper cross-sectional area. Consequently, this can be predicted to worsen the longitudinal static stability, as the neutral point of stability, denoted as N, is shifted towards a more forward position.
Given the above, the first objective of this study was to assess the impact of changes related to propulsion modernization on the aircraft’s static stability. By comparing both engine versions, the shift in the neutral stability point, denoted ΔxN, was estimated. This effect was investigated using two sets of aerodynamic characteristics determined by numerical calculations based on CFD methods (Ansys Fluent) [14] and using the expression that assess the change in relevant aerodynamic derivatives, namely the relation of the pitching moment curve slope to the lift curve slope within the range of low angles of attack (the linear lift region). The positive value of ΔxN is interpreted as the point moving forward. In practice, this means that the turboprop aircraft is less statically stable than the reciprocating one. It was found that due to the longer nasal part of the fuselage, the neutral point of the modernized object moved forward by 1.28 [%MAC].
For comparative purposes, to verify the above result, calculations of the displacement of Δx were performed taking advantage of other established formulas. According to the method presented in [29,37], the obtained value of ΔxN was 1.5 [%MAC]. In turn, the algorithm developed by NACA [18] yielded a 0.96 [%MAC] shift. Ultimately, the static stability margin hN of the modernized model was found to be positive across the whole range of permissible positions of the aircraft’s center of gravity. For the aft CG location, this distance to the xN point is equal to 12.12 [%MAC], while for the aircraft before the engine conversion, the static stability margin hN was 13.06 [%MAC].
Despite the forepart of the turboprop fuselage being lengthened and the neutral point N being shifted toward a more forward position, the static longitudinal stability was only slightly deteriorated. Moreover, notwithstanding the weight and balance configuration, the aircraft remained strongly statically stable. As anticipated in the initial assumptions, adopted to ensure that the engine-related modification would be reasonable, the replacement of the piston engine with a turbine engine resulted in only a negligible decrease in static margin (SM). The top view of a simplified external geometry of the considered aircraft is shown in Figure 13. To graphically illustrate the minimum margin of stick-fixed static stability for the aircraft powered by a turbine propulsion, the position of two characteristic points is additionally marked: the aft allowable position of the center of gravity (CG) and the stick-fixed neutral point (N).

Top view of a simplified external geometry of the turboprop aircraft, with two characteristic points for the minimal static stability margin marked: the aft CG and N (for stick-fixed configuration) points.
The evaluation of dynamic stability consisted in analyzing the aircraft’s properties, taking into account all the modes of motion. For both engine versions of the considered small-size aircraft, the relevant eigenvalues for the phugoid, short period, Dutch roll, roll and spiral modes were determined across the whole available airspeed range. Subsequently, these two sets of results were then compared to draw critical conclusions about the influence of the power plant on the dynamic properties of light aircraft. However, it is worth noting that this study particularly focuses on investigating the qualitative differences in dynamic in-flight behavior of the two variants of the aircraft. Since the quantitative analysis is not the primary interest, the computational approach and methods used to specify power phenomena generated by the two types of engines mounted on the same airframe and to calculate aerodynamic coefficients and derivatives are deemed to be fully adequate to identify the problem defined in this paper.
To observe changes in the properties of the dynamic modes of motion for the aircraft after the conversion from the piston version to the turboprop version, the STB software [38] was used. The charts below, in Figures 14–18, show the changes in ξ and η over the entire range of flight speeds. This analysis may therefore reveal the potential undesired consequences and disadvantages resulting from such an engine-related modernization implemented on general aviation aircraft.

Assessment of short period for the piston and turboprop aircraft.

Comparison of eigenvalues corresponding the phugoid mode of the piston and turboprop aircraft.

Dutch roll mode stability for the I-23 Manager and the I-31T.

Assessment of rolling motion of the piston and turboprop aircraft.

Analysis of spiral stability of the piston and turboprop aircraft.
This research thus aims to identify not only the key benefits but also the most substantial side effects directly linked to the engine-type replacement. As such, the study should provide a clear answer to the question of the advisability of undertaking all the necessary efforts and work to ensure a modified well-developed airframe, in light of changes in the dynamic properties of lightweight aircraft.
The short period (SP) mode of an aircraft is strongly dependent on the longitudinal position of its center of gravity (CG). As the CG moves forward, Cmα becomes more negative. The greater static stability margin results in increased pitch stiffness or higher short period frequency. This mode of aircraft motion is also affected by the changes in lift and pitching moment coefficients with respect to pitch rate (q), vertical speed (w) and vertical acceleration (ẇ). Moreover, the short-period stability is also influenced by the moment of inertia about the Y-axis (Iyy).
However, the comparison of aircraft variants was carried out using only one weight and balance configuration for each. This means that the analysis for these vehicle versions was performed for the same maximum masses and the most forward CG locations. The only distinction between short period modes lies in different moments of inertia, geometries of the front parts of the fuselages, input parameters associated with the propulsion types and aerodynamic characteristics. Nonetheless, these discrepancies are not significant.
Due to the longer engine section of the turboprop fuselage, its moment of inertia Iyy is approximately 10% larger than for the piston aircraft (depending on the mass model). As a consequence, the damped natural frequency of the short period for the aircraft after modernization decreases [39]. Conversely, the undamped frequency is slightly higher and the period of oscillations is slightly shorter. However, the SP-damping ratio can, in principle, be considered as engine-independent, indicating that its value remains the same for the turbine and piston models.
The Phugoid mode is predominantly dependent on the flight speed and aircraft aerodynamics, especially the lift to drag ratio. Given the minimal changes in lift and drag characteristics of the modernized vehicle in comparison with the baseline, the phugoid oscillations of the two vehicle variants were found to be almost identical. The only potential differences might stem from changes in the propeller type and geometry of the forepart of the fuselage; these components contribute to instability phenomena due to the normal force causing a pitching-up tendency. Additionally, the fast-rotating blades are responsible for inducing power adverse effects.
However, in the case of these aircraft, although the propellers rotate in opposite directions, their rates of rotation are very similar. The study also indicated an insignificant variation in the above-mentioned aerodynamic characteristics, especially in terms of the linear range of angles of attack. This, in turn, was caused by the modification introduced solely in the frontal sections of the models considered in this paper. Consequently, it was concluded that the phugoid modes analyzed for two engine versions of the aircraft are essentially identical [9, 22]. At every airspeed available in flight, the long period longitudinal oscillations are convergent and damped in a manner typical for this type of motion.
Dutch Roll (DR) mode is one of the most complex aircraft motions. The dynamically stable aircraft performs an oscillation which is typically considered a combination of out-of-phase periodical rotations relative to X and Z axes. Thus, the aircraft experiences yaw-roll coupling, so this movement may be called the lateral-directional mode.
When investigating Dutch roll dynamics, it is essential to consider the mutual interaction between yawing and rolling motions, as disturbances from steady-state flight occur simultaneously in these to axes and cannot be treated separately. The stability of this mode of motion is affected by a variety of factors, but it is nonetheless possible to indicate several influential features that crucially determine the nature of Dutch roll oscillations. Thus, in order to comprehensively estimate DR-characteristics and then compare the results obtained for the piston and turboprop aircraft, the effects of geometrical and inertia parameters, flying properties were studied in detail. This mode of motion is strongly dependent on the weight and the longitudinal position of the center of gravity, i.e. the coordinate measured along the X-axis of the aircraft (xCG), the speed of flight and the moment of inertia about the vertical axis (Izz). Aerodynamic derivatives also play a substantial role, among which the most vital are the derivatives of yawing moment with respect to the side component of total linear velocity (Cnv), and the yaw rate (Cnr). These, in turn, are correlated with a side area of the whole body, especially fuselage, with the vertical tail predominantly affecting both Cnv and Cnr. However, because the engine type replacement did not involve any design changes behind the firewall, the side fore-section of the fuselage (SFf-s) is crucial in determining the values of the aforementioned derivatives. The larger the projected side area from the propeller spinner to the center of gravity of the vehicle, the less stable Dutch roll.
The damping ratio of lateral-directional oscillations decreases as the moment of inertia Izz increases. For the piston aircraft, the values of both Izz and SFf-s are smaller than in the case of the turboprop. Hence, it appears that the engine-related modification caused a slight deterioration of the DR-properties. As shown in Figure 14, the dynamic stability of the Dutch roll mode determined for the baseline version of the-aircraft is higher, and results mostly from greater values of the DR damped natural frequency η. Because of the insignificant changes in external geometry required to mount a turbine power system in lieu of the piston one, the differences between the DR oscillations observed for the aircraft variants can be deemed non-essential. As a result, it can be considered that the impact of modernization on DR characteristics is negligible.
As for Roll mode, the dominant influence on the rolling motion characteristics of each aircraft is exerted by the change in rolling moment coefficient with respect to the roll rate, denoted Clp. This is the stability derivative, responsible for the roll damping. Since the wing and vertical tail are the dominant factors that contribute to Clp, the engine-related modernization in the light aircraft is predicted to have little impact on the values obtained the two aircraft variants. Therefore, the differences in characteristics of the roll mode between the two types of aircraft stem from changes in the moment of inertia about the X-axis. After engine-related modification, an increase in Ixx was observed, which in turn translated into a decrease in the real ξ of the root of the characteristic equation, indicating that the roll is weakly damped.
In general, when investigating lateral-directional dynamic stability alone, the solution of the characteristic equation of motion consists of the two real roots, called λROLL and λSPIRAL, and a pair of complex roots λDR. Thus, the rolling mode is of a non-oscillatory nature. The solution λROLL, being the real ξROLL of the root of the characteristic equation, governs the damping. The rule is that the more negative the value ξ, the stronger the roll damping. Nonetheless, regardless of the engine version, the aircraft rolling is found observed to be a strongly convergent motion. Due to negative values of λROLL acrss the whole range of available airspeeds VA, both roll modes may be classified as highly damped. The analyzed aircraft are able to reach a steady state condition in a very short time after being disturbed. The final interpretation of these findings is focused on the conclusion of positive dynamic stability of the aircraft in roll regardless of the propulsion type.
Much like in the case of the Roll mode, the Spiral mode of motion of an aircraft is non-oscillatory. However, unlike the roll, it is typically either slowly convergent or even divergent. For the two aircraft configurations analyzed in this paper, the spiral was unstable across the whole range of permissible airspeeds. Considering the side area of the fuselage between the propeller spinner and the center of the gravity, an improvement in the spiral properties of the novel turboprop was observed, attributed to the enlarged side cross-sectional surface of the front part of the body. This enlargement contributes to the enhancement of directional stability, as confirmed by the comparative results of the spiral mode characteristics shown in Figure 16. Structural modifications resulting in changes to the external geometry reduced the divergence rate. However, due to the relatively small increase in SFf-s, the augmentation of spiral dynamics is not substantial. Moreover, the positive effects of the aircraft modernization described in this article are more pronounced at low flight speeds.
The influence of engine type on the dynamic stability of a general aviation aircraft in spiral is weak. Therefore, it is highly probable that the flight characteristics of the piston aircraft, being inherently unstable in the spiral mode, will not undergo qualitative changes after the engine-related modification.
To gather complete information regarding both aircraft in spiral motion, an analysis considering different flight conditions and aircraft configurations should be carried out. Future research, therefore, should encompass the full range of acceptable locations of center of gravity, masses, speeds as well as flight altitudes.
However, in view of spiral instability of most light aircraft, an excessively slow-acting damping of this mode of motion can be permissible. Depending on the aircraft category, certification specifications precisely determine the requirements to satisfy the criteria for flight permission, whether the aircraft are naturally stable or even mildly divergent in roll and yaw. Nevertheless, the change of the engine type of the light aircraft did not entail significant differences in the spiral properties of the modified variant with respect to the piston variant. Discrepancies in the dynamic characteristics of the considered mode of motion are minor and quantitative.
In the final step of examining the changes in dynamic stability after the modification of the light aircraft, the stability criteria were considered. These criteria serve as guidelines for designing and assessing an aircraft and take into account the natural frequency, damping ratio, and time constant for each of the modes of motion. The level of dynamic stability directly reflects an aircraft’s dynamic response to disturbances of steady-state flight and significantly influence its handling qualities. Consequently, it is essential for the dynamic properties to be deemed satisfactory for normal operation, ensuring that they are clearly adequate for the intended mission type. The specific quantity indicators associated with the dynamic modes of motion translate into the aircraft’s ability to precisely accomplish flight tasks. That is why it is imperative for these parameters to be within acceptable ranges, depending on an aircraft class and the flight phase category.
Although the focus of this paper is on general aviation aircraft, the study of changes in dynamic stability incorporates not only requirements dedicated to civilian objects, but also a United States defense standard, namely the Military Standard (MIL-STD) document [39]. The latter regulations provide an excellent reference for design engineers and form a solid foundation for examining flight qualities in terms of the characteristics of the dynamic modes. Aviation authorities such as the FAA [10] and EASA [12] have published official documents addressing stability issues [40-45]. However, the appropriate provisions that need to be complied with are often found to be too vague. To facilitate the comparison of the dynamic stability between the two engine variants of the aircraft analyzed here, only one criterion was selected for evaluating each mode of aircraft motion.
The analysis was conducted using the SDSA (Simulation and Dynamic Stability Analysis) tool, which is part of the CEASIOM (Computerized Environment for Aircraft Synthesis and Integrated Optimization Methods) software environment, developed under the project known by the acronym SimSAC (Simulating Aircraft Stability And Control Characteristics for Use in Conceptual Design) approved for funding by the 6th EU Research Framework Programme [46–48]. This tool allows for comprehensive flight dynamics calculations and is considered particularly useful at the conceptual design stage [49–50].
The exemplary outcomes shown in Fig. 19–24 indicate that the type of engine does not significantly influence the level of stability of the aircraft. General aviation aircraft are assigned to Class I, which involves small, light aircraft, such as light utility, primary trainer or light observation planes. The calculations covered the whole range of airspeeds, starting from sea level to the altitude of H=6000 [m] (with the computational step: ΔH=2000 [m]). As a result, about 70 in-flight conditions were tested.

Evaluation of Phugoid mode characteristics according to ICAO Recommendation [13]. Comparison of results for the general aviation aircraft driven by a piston engine (on the left) and a turboprop engine (on the right).

Evaluation of Short Period mode in regard to recommendation of Military Specification MIL-F-8785C [49], by assessment of Control Anticipation Parameter (CAP) [13]. Comparison of results for the chosen general aviation aircraft driven by a piston engine (on the left) and a turboprop engine (on the right).



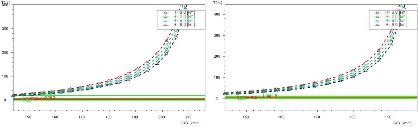
Time to double roll angle in spiral motion. Evaluation of spiral modes in relation to the recommendation given in MIL-F-8785C, [49]. Comparison of results in the high speed range for the selected general aviation aircraft driven by a piston engine (on the left) and a turboprop engine (on the right).

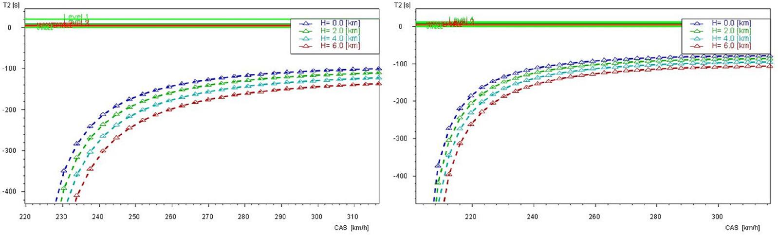
Evaluation of spiral mode in relation to recommendation given in MIL-F-8785C [49]. Comparison of results obtained in the high speed range for the selected general aviation aircraft driven by a piston engine (on the left) and a turboprop engine (on the right).
Military Flying Qualities Specifications MIL-F-8785C [49], established during World War II, are no longer in use as an official document, as they have been superseded by Military Flying Qualities Standard, MIL-STD-1797A. Nevertheless, they are still considered to be a very good reference for analysis, hence they were chosen to evaluate the properties of both aircraft in spiral mode. Differences observed depending on the flight parameters are shown in Figures 23 and 24, which compare this mode of motion in the range of low and high airspeeds, respectively. Given exactly the same flight conditions at low speed, the time to double bank angle is longer for the I-31T. Moreover, as show in in Figure 23, the spiral motion of the turboprop aircraft exhibits a a positive value of T2 (indicating an unstable spiral) within a narrower range of flight speeds.
This study critically assessed the dynamic stability and flight characteristics of a general aviation aircraft undergoing engine modernization from a traditional piston engine to a more advanced turboprop system. Despite facing numerous design constraints and operational limitations dictated by budgetary and scheduling considerations within the ESPOSA project, the study demonstrated that the dynamic stability of the new turboprop variant closely aligns with that of the original piston-driven configuration. The investigation revealed that the flight qualities of the modernized aircraft are almost unaffected by the change in engine type, with the exception of the spiral mode, which showed a slight improvement after the conversion.
The modest discrepancies observed in the dynamic characteristics of the aircraft, particularly in Dutch roll and roll modes, were minor and predominantly attributed to initial assumptions used in the design and analysis phases rather than to the engine conversion itself. These findings suggest that the negative impacts of changing the aircraft’s propulsion system are minimal and manageable within the existing design and regulatory frameworks.
For this study, the I-23 Manager aircraft, which holds a type certificate under FAR Part 23 Amendment 42 and was originally equipped with a reciprocating engine, was selected as the baseline model. This choice enabled a controlled evaluation of the impact of transitioning to a turboprop engine, embodied by the upgraded I-31T model. Comparative analyses confirmed that the I-31T maintained excellent dynamic stability across all evaluated motion modes and exhibited superior flight qualities, particularly in terms of roll stability. Despite the inherent instability in the spiral mode at lower speeds – a characteristic common to many light aircraft – the turboprop conversion did not exacerbate this trait, hence it remained within acceptable limits for certification standards.
The evaluations carried out in this study utilized rigorous analytical methods to compare the aerodynamic and dynamic responses of both aircraft configurations under various flight conditions. The results demonstrated that both the original and modified aircraft could quickly and effectively return to a state of equilibrium after experiencing disturbances, underscoring their inherent dynamic stability. This resilience further supports the practicality and effectiveness of upgrading existing piston-driven aircraft with turboprop engines.
The findings from this research support the proposition that refitting older piston-engine aircraft with modern turboprop engines is a viable and promising strategy. This modernization approach not only circumvents the high costs and extensive time commitments associated with developing new aircraft designs from scratch but also ensures compliance with rigorous safety and airworthiness standards. Moreover, it provides a sustainable pathway for extending the operational life and enhancing the performance of existing aircraft fleets within the general aviation community. Furthermore, the study shows that modern turboprop engines, with their enhanced efficiency and reduced operational costs, are possibly poised to become a competitive and increasingly prevalent choice in the general aviation market, traditionally dominated by piston-engine aircraft.
Overall, therefore, this study affirms the feasibility of this modernization strategy, possibly helping to pave the way for its broader adoption and development in the industry.