Fig. 1.

Fig. 2.

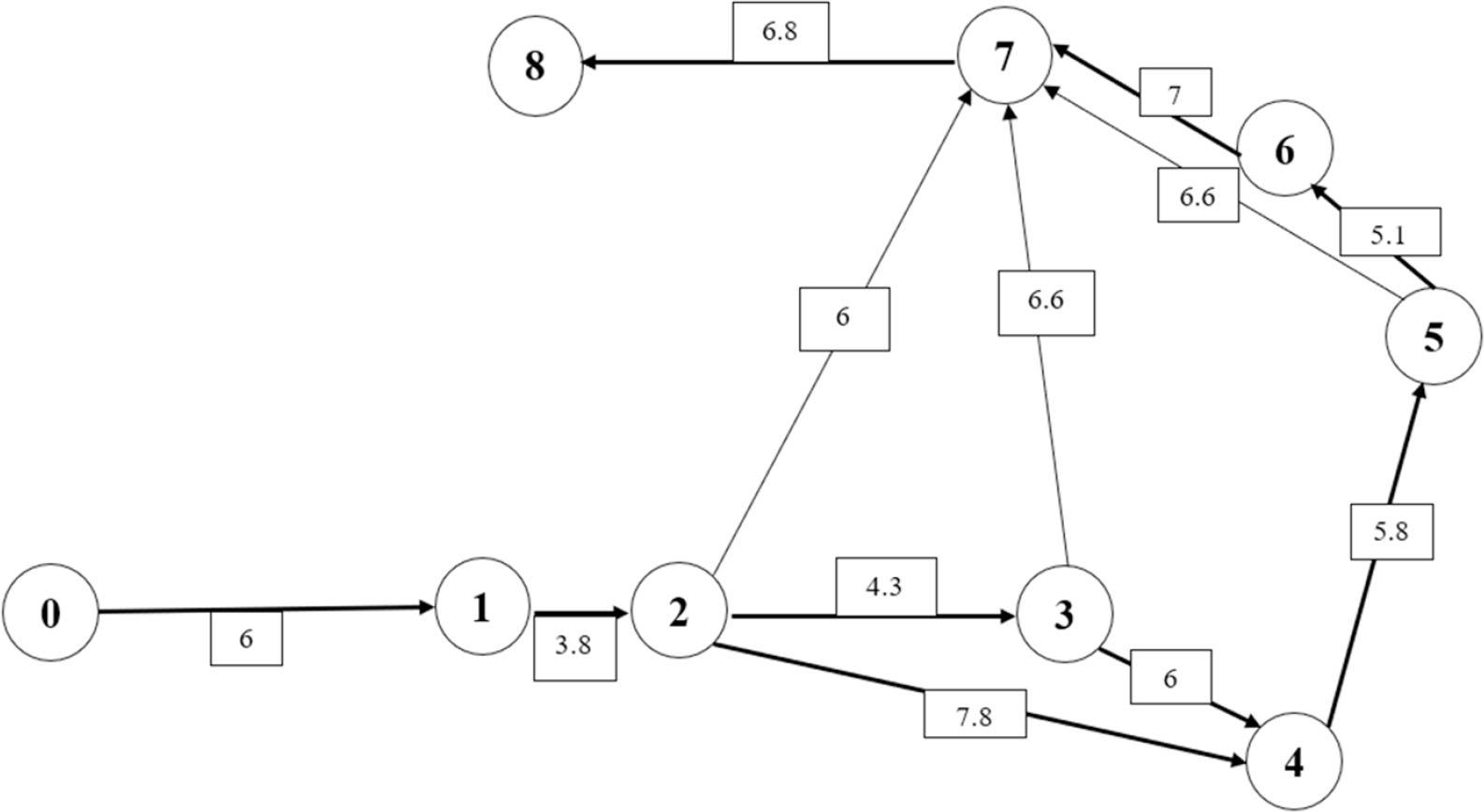
Fig. 3.

Systems action plan to calculate probability
| Events (N) | Action (T0) | Action (TM) | Action (Tp) | (Tp – T0) | Standard deviation | Probability |
|---|---|---|---|---|---|---|
| 0–1 | 0 | 2 | 4 | 4 | 4/6 | 0.66 |
| 1–2 | 2 | 4 | 5 | 3 | 3/6 | 0.5 |
| 2–3 | 2 | 5 | 4 | 2 | 2/6 | 0.33 |
| 3–4 | 4 | 6 | 8 | 4 | 4/6 | 0.66 |
| 4–5 | 3 | 6 | 8 | 5 | 5/6 | 0.83 |
| 5–6 | 2 | 6 | 5 | 3 | 3/6 | 0.5 |
| 6–7 | 4 | 7 | 10 | 6 | 6/6 | 1 |
| 8 | 4 | 9 | 11 | 7 | 7/6 | 1.16 |
Time calculation for component failure
| The system works without failure | Material, which should be replaced more often after the inspection, because the service time has passed | Material and components that do not need to be changed | Materials and components that have reached their limit and must be changed immediately | |
|---|---|---|---|---|
| E1-Interval for inspection after flight FH | 0 | 0 | 0 | 0 |
| E2-Interval for inspection after flight cycles FC | 0 | 0 | 0 | 0 |
| E3-Inspection according to the requirements of the technical programme | 0 | 0.3 | 0.3 | 0.3 |
| E4-Inspection according to the manufacturer’s requirements | 0 | 0 | 0 | 0 |
Composite material stress concentration patterns_
| A1: X = min(Y1,…, Y0.16, Z1,…, Z0.17–0.16) | |
| A2: X = min(Y1,…, Y0.16,…, Z) | |
| A3: X = min(Y, Z) |
Flap strut fairing assemblies operating time_
| Events (N) | Action (T0) | Action (TM) | Action (Tp) | Te =T0 + 4Tm + Tp /6 | |
|---|---|---|---|---|---|
| Flap track systems including receiving flap track system information after flight | 0–1 | 0 | 2 | 4 | 6 |
| Flack track fairing maintenance and planning coordinators | 1–2 | 2 | 4 | 5 | 3.8 |
| Evaluation of wing system technical information includes flap track system and defect closure by voting on the test (FIM tasks) options | 2–3 | 2 | 5 | 4 | 4.3 |
| Closing the flange rail system defect after using technical information (Aircraft Maintenance manual), during which flange rail system components are replaced | 2–7 | 3 | 6 | 9 | 6 |
| Closing the defect in the flange rail system is not possible immediately and requires an in-depth investigation of the defect/structure | 3–4 | 3 | 6 | 9 | 6 |
| Closing the defect of the flange rail system, if it is within the possible limits | 3–7 | 3 | 7 | 9 | 6.6 |
| Closing the defect in the flange rail system is not possible immediately and requires a deeper defect/structure | 3–4 | 4 | 6 | 8 | 6 |
| Transfer of engineering information on flange rail system components and smaller bill of materials to the logistics department | 4–5 | 3 | 6 | 8 | 5.8 |
| Transfer of engineering information on flange rail system components and smaller bill of materials to the logistics department | 5–6 | 2 | 6 | 5 | 5.1 |
| Damage to the outer composite material shell of the flange rail mechanism and its evaluation | 2–4 | 6 | 8 | 9 | 7.8 |
| Evaluation of the certification status of the materials/components of the flange rail system and the time of manufacture of the components/materials | 5–7 | 3 | 7 | 9 | 6.6 |
| Delivery of additional materials and tools needed for the flange rail system mechanism to the specific location | 5–7 | 4 | 7 | 8 | 6.6 |
| Successful completion of the repair of the flange rail system mechanism | 6–7 | 4 | 7 | 10 | 7 |
| The closure is closed by the completion of the system process and the preparation of all necessary documentation | 7–8 | 4 | 7 | 9 | 6.8 |