In the course of various processes, various risks are formed, and in the calculation of incorrect work progress, as a result of an operation, critical situations are formed, which reduce safety and increase risk threats. In order to determine this process as quickly as possible and reduce costs, which are increasingly evaluated in today’s industries, it is necessary to optimise opportunities, where it is all the more possible. The main objective of the aviation company and the logistics department is to ensure the fulfilment of technical requirements and the rapid delivery of parts, which ensures rapid reduction of risk, downtime, and a safe flight, in connection with compliance with regulatory acts.
The purpose of the departments is to ensure the material flow between the engineering and the orders of the receiving logistics department. In the period of time, until a failure has occurred, it is not necessary to replace the components, but while it is formed, it is possible to make predictions about the progress of development, which means that it is possible to order components in a timely manner. This means that we need to develop a model under the influence of various processes before the failure process develops.
The overall process and its causes are closely related to the material properties of the component, the operation process, the engineering solution, the execution of the mechanisation process and other related processes.
Network planning methods can be used in logistics as well as engineering sciences to exhaust and optimise work planning, order and failure control mechanisms and cost control, each as a separate project with the failure characteristics of the composite material. Since the failure problem is related to the operation of the logistics department and the information of the engineering department in this network, we will look at all the related processes both from the logistics’ point of view and also from the technical aspect of the engineers.
In the network process, both the starting and ending positions can be represented, which gives a more or less satisfactory result.
There are several ways in which, in addition to the use of the CPM, the result is influenced by widespread methods, such as the Monte Carlo method, Markov theory and others. However, there are some critiques for CPM and Program Evaluation and Review Technology Method (PERT).
In PERT, there are some assumptions for simplifying the model, for example use of the distribution. Also, to provide an appropriate distribution for activity times, we need historical data. PERT method is less used in the aviation as CPM.
To use the PERT model, there are some assumptions to simplify the model, one of them is to use distribution. To provide an appropriate distribution, we need to have historical data, but not always they are available and, in these cases, we are using human judgement, not the stochastic assumptions. To solve problems better, sometimes, we can use the fuzzy set theory instead of the probability theory. In this case, we can use the fuzzy numbers. One of the most important tools available to the scheduler during a maintenance outage is the CPM of scheduling.
CPM is the quickest and the most accurate method available for scheduling and managing large, complex work packages, optimising and modifying schedules of disruptions of work packages. Critical path scheduling is a technique used for illustrating activity sequences when the actions are made step by step. Many activities, such as receiving a request from the technical department, placing and controlling logistics orders and concluding contracts with the supplier, can take place simultaneously, while there is a set of activities that cannot be started until the initial activities are completed. The relationship between parallel and priority activities is represented by a network graph. Initially, for each of the events in the schedule, the occurrence time of the earlier events is determined, as well as the occurrence time of the later events is determined and the spare time is calculated for each stage. The total delivery time is calculated and the critical path connects these stages [1].
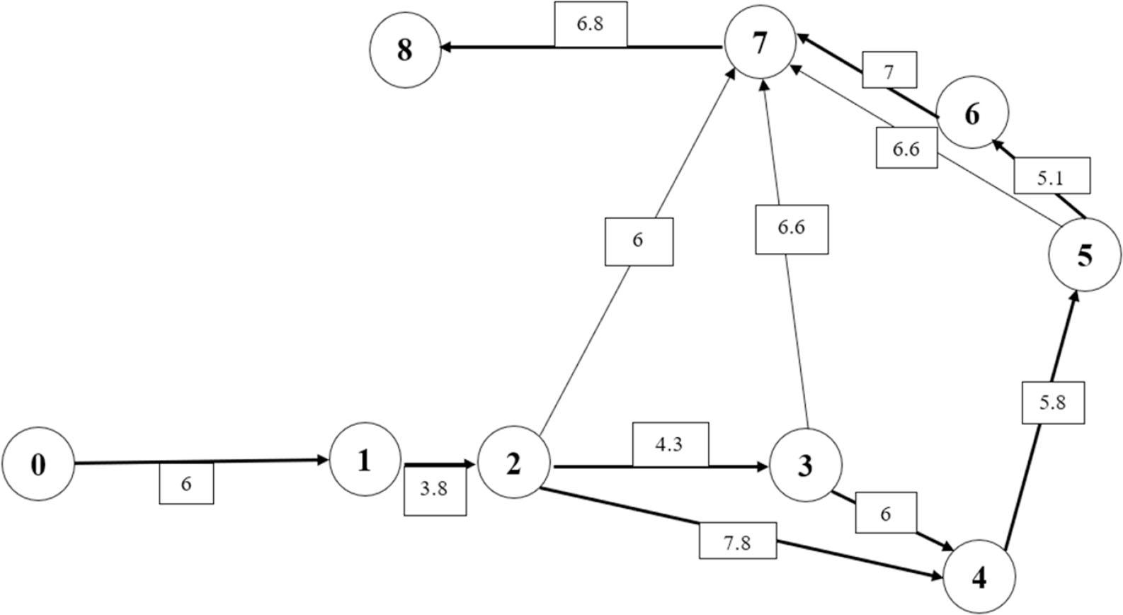
The task of creating the given grid schedule is as follows: to develop a grid schedule for the failure of the flange rail cladding, so that the component procurement process ensures everything in the most efficient and fastest way by reducing the influencing factors, which would ensure the requirements of a safe flight.
In order to be able to determine the critical path, their designations are given below: T0 – the path of the first activity or the optimistic time, TM – the possible time, Tp – the pessimistic time and Te – the possible operating time of each activity is shown in Table 1.
Flap strut fairing assemblies operating time.
| Events (N) | Action (T0) | Action (TM) | Action (Tp) | Te =T0 + 4Tm + Tp /6 | |
|---|---|---|---|---|---|
| Flap track systems including receiving flap track system information after flight | 0–1 | 0 | 2 | 4 | 6 |
| Flack track fairing maintenance and planning coordinators | 1–2 | 2 | 4 | 5 | 3.8 |
| Evaluation of wing system technical information includes flap track system and defect closure by voting on the test (FIM tasks) options | 2–3 | 2 | 5 | 4 | 4.3 |
| Closing the flange rail system defect after using technical information (Aircraft Maintenance manual), during which flange rail system components are replaced | 2–7 | 3 | 6 | 9 | 6 |
| Closing the defect in the flange rail system is not possible immediately and requires an in-depth investigation of the defect/structure | 3–4 | 3 | 6 | 9 | 6 |
| Closing the defect of the flange rail system, if it is within the possible limits | 3–7 | 3 | 7 | 9 | 6.6 |
| Closing the defect in the flange rail system is not possible immediately and requires a deeper defect/structure | 3–4 | 4 | 6 | 8 | 6 |
| Transfer of engineering information on flange rail system components and smaller bill of materials to the logistics department | 4–5 | 3 | 6 | 8 | 5.8 |
| Transfer of engineering information on flange rail system components and smaller bill of materials to the logistics department | 5–6 | 2 | 6 | 5 | 5.1 |
| Damage to the outer composite material shell of the flange rail mechanism and its evaluation | 2–4 | 6 | 8 | 9 | 7.8 |
| Evaluation of the certification status of the materials/components of the flange rail system and the time of manufacture of the components/materials | 5–7 | 3 | 7 | 9 | 6.6 |
| Delivery of additional materials and tools needed for the flange rail system mechanism to the specific location | 5–7 | 4 | 7 | 8 | 6.6 |
| Successful completion of the repair of the flange rail system mechanism | 6–7 | 4 | 7 | 10 | 7 |
| The closure is closed by the completion of the system process and the preparation of all necessary documentation | 7–8 | 4 | 7 | 9 | 6.8 |
Calculation of the critical path:
0–1–2–3–4–5–6–7–8 = 6 + 3.8 + 4.3 + 6 + 7.8 + 5.8 + 5.1 + 7 + 6.8 = 52.6 (Critical path network)
0–1–2–4–5–6–7–8 = 6 + 3.8 + 7.8 + 5.8 + 5.1 + 7 + 6.8 = 42.3
0–1–2–7–8 = 6 + 3.8 + 8.6 + 4.3 + 7.8 + 6.8 = 37.3
0–1–2–4–5–7–8 = 6 + 3.8 + 7.8 + 5.8 + 6.6 + 6.8 = 36.8
0–1–2–3–7–8 = 6 + 3.8 + 4.3 + 6.6 + 6.8 = 27.5

Critical path network.
The network graph shows the activities with arrows if they consume time and resources, and shows which activity must be completed to move on to the next activity. In events, the result of the previous action and the beginning of the following action are recorded in a unit of time, while events do not consume time or resources, they only record a certain state. Since a network graph represents activities in the order in which they are executed, then steps 2–3 cannot be started until steps 0–2 are completed.
The single biggest factor in determining a flange rail-facing problem is the path, or the sequence of activities that moves through the schedule from start to finish.
Evaluating the graph, it can be concluded that several paths, 0–1–2–3–4–5–6–7–8 and 0–1–2–7–8, are possible, which differ in length expressed in time units. This length is obtained by adding up the time grain of the actions along the entire length of the path.
The length of the longest path indicates the total time required to execute the network schedule for the supply of the flange cladding components if the process is bottlenecked. If the specified time consumption limits are not respected on the longest route, or deliveries and inspections are delayed, all other activities are delayed in terms of time unit or resource consumption.
It is for these reasons that the longest path of the schedule is called the critical path, and the activities on this path are called the critical activities. The other paths, which are allowed with time delays for the shortest paths, are called reserve time.
As a typical error in the schedule, there may be duplication of one or more activities. In this case, I looked at the actions so that they do not duplicate. If, however, one of the actions is duplicated, then I use fictitious actions to determine the interrelationship of the events and their duration in the time unit is equal to zero. Next, we will consider how to calculate the probability of lining the flanges, how long it will take and with what probability we will be able to successfully complete the delivery and replacement project.
The flap is closed by the system process action plan and probabilistic determination.
To calculate the probability, we must first calculate the standard deviation according to the formula.
To calculate the σ – probability, we must first calculate the Pn – standard deviation, according to the formula below:
Looking at this graph and the Table 2, we can calculate the probability of the longest path and it will be 5.64 days, while the standard deviation σ will be √ (5.64 = ) 2.37 days. Table 2 shows the probability of a path segment, which ultimately shows the total path deviation if all critical path conditions are met [2].
Systems action plan to calculate probability
| Events (N) | Action (T0) | Action (TM) | Action (Tp) | (Tp – T0) | Standard deviation | Probability |
|---|---|---|---|---|---|---|
| 0–1 | 0 | 2 | 4 | 4 | 4/6 | 0.66 |
| 1–2 | 2 | 4 | 5 | 3 | 3/6 | 0.5 |
| 2–3 | 2 | 5 | 4 | 2 | 2/6 | 0.33 |
| 3–4 | 4 | 6 | 8 | 4 | 4/6 | 0.66 |
| 4–5 | 3 | 6 | 8 | 5 | 5/6 | 0.83 |
| 5–6 | 2 | 6 | 5 | 3 | 3/6 | 0.5 |
| 6–7 | 4 | 7 | 10 | 6 | 6/6 | 1 |
| 8 | 4 | 9 | 11 | 7 | 7/6 | 1.16 |
Therefore, we can clearly see if we have to do additional inspections. If we do not detect the damage to the flange rail coating in time, then additional time and inspection steps come. In my case, it can take up to 8 days to wait for a response from the manufacturer on the next steps, resulting in delays in ordering parts and increased aircraft downtime costs.
In order to not create such a situation, when the damage of the flange rail material shell is the reason for the increase of the total path, then let’s take a deeper look at how the structure of the component itself and the mathematical justification of the technical condition of the structure can reduce the length of the critical path.
As we know, from the basics of the theory of probability, we can use several theories in connection with composite materials, for example, at the beginning, if we do not know the state of crack development, we classify it as a structurally significant damage and a vectoral value is equated to this damage, which is a randomness vector (Td,Tc), where Tc is taken as the critical failure index for the component, Td is the service time when a failure, for example a crack is contacted to the material by looking at the development of all cracks to determine the tSL of the composite material, or the specific time when it cannot be used due to system failure [1].
In the case mentioned above, we use p-set or p-series function calculation. We can also use the Monte Carlo method in the calculation of the flange rail structure, which defines the situation when we cannot determine the damage size of the flange rail structure, because no structural inspections have been performed in the time period, Td,Tc.
These two methods are mentioned above in the descriptive part of the theory, because apart from these two application methods, we can also use the third method.
The third method, Markov is increasingly used not only in aviation, but also in other industries to perform in-depth calculations on the dependence of one process on another, which will affect the failure of the system over a period of time and, if not paying attention to the defect, can lead to a disaster.
This method offers us opportunities to determine the nature of failure and the frequency of component replacement if we use routine maintenance as a basic monitoring model. The graph and Table 3 show the most frequent types of failure, but they only create a condition for our system when a part is replaced and do not cause downtime, do not pose a threat of the need for a longer period of time for the work process [3].
Time calculation for component failure
| The system works without failure | Material, which should be replaced more often after the inspection, because the service time has passed | Material and components that do not need to be changed | Materials and components that have reached their limit and must be changed immediately | |
|---|---|---|---|---|
| E1-Interval for inspection after flight FH | 0 | 0 | 0 | 0 |
| E2-Interval for inspection after flight cycles FC | 0 | 0 | 0 | 0 |
| E3-Inspection according to the requirements of the technical programme | 0 | 0.3 | 0.3 | 0.3 |
| E4-Inspection according to the manufacturer’s requirements | 0 | 0 | 0 | 0 |
At first look, the n + 1 state represents the maintenance of the aircraft in the corresponding interval between two consecutive inspections, while the three additional states represent the termination of the aircraft operation due to the end of successful operation, when the specific maintenance time has expired in the event of defect elimination. Therefore, we can divide:
Ei aircraft service time, t, with i-th, inspection interval, t∈(t_(i – 1)), t_i, i = 1,2,..(n + 1);
E(n + 2)—the aircraft has successfully reached tSL, without cracks/failures SL-state;
E(n + 3)—fatigue failure crack is omitted (FF-state);
E(n + 4)—the failure is determined during the inspection process (CD-state).
All these processes can be viewed as one whole matrix. Denote the failure to detect i during the test as vi; failure probability in the service time interval t∈(t(i – 1), where qi and probability of successful service continuation as ui. Since all these things are completed, then ui + vi + qi = 1.
We assume that the model as the defect is resolved and no additional operating measures are required tSL, unless no defects are found at the moment of time, t_SL. Inspection interval, (n + 1) th, with condition, E(n + 1), does not change the reliability, but we do it to know the state of the aircraft, t_(i – 1). There was no failure, and no failure was detected during the inspection period, t(i – 1). But it is enough that it is equal to P(Td > t(i – 1)).
The transition probability matrix for this process can be constructed as mentioned above. Ei can be reached only when the condition that ui + vi + qi =1 is fulfilled and the cycle has ended without stalling.
This means when, as an example, we can accept works performed in a unit of time and as a result of which we have as per Table 3.
Below is information in a graphic form, about the most frequently replaced parts for the mechanical part of the structure, which are related to the operation of the flange rail linings and do not hinder the nature of the operation.
Therefore, the condition that ui + vi + qi =1 is fulfilled and the cycle is completed without a hitch.

Flap strut fairing system operating component change.
According to the given information, we can say that more often we change PN E0091-10-250NN braid, then PN D5754052520200A cover pitot bolt, PN D5754057420200A cover and PN D5754057720000 seal, which means that these parts of the mechanism are quickly damaged and in case of failure, we can predict that.
Since the cladding of the flange rails consists of a shell of carbon fibre-reinforced polymer material, we also need to look at the evolution of the defect in this material. After the calculation of the critical path, the untimely failure of the flange rail cladding complicates the work execution.
Let us consider the case of flanged rail cladding, nc = 1, where the carbon fibre-reinforced polymer can be considered as a series system with some internal links damaged and two links with and without defects. Let us denote the random number of damage links, (K)l,0 ≤ Kl ≤ nl, by strength, Fy(x); we say that Kl is of Y-type and let us denote it by Fz(x); the strength, (nL – Kl), is denoted without defects say Type Z. We assume that there are two ways to calculate this process. In the first part of the process, we use Kl connected to Y-type. They can appear before maintenance according to some prior distribution, πL = (πL1, πL2,…., π(L(nL + 1)), where πLk = P(KL = k – 1), or in the maintenance process, where the stress level, L_I, exceeds the fault excitation voltage, FK(x). Then, the second stage and the process of accumulation of elementary damage in the transverse direction until the failure of the specimen occurs. Two levels of differences between LI with and without defects, and three differences in strength describe accuracy groups in these groups from the six types of corresponding probability structures. We further assume that in Table 4.
Composite material stress concentration patterns.
| A1: X = min(Y1,…, Y0.16, Z1,…, Z0.17–0.16) | |
| A2: X = min(Y1,…, Y0.16,…, Z) | |
| A3: X = min(Y, Z) |
In the case of A-type, it is assumed that the difference between the bond strength of Y- and Z-type relativity is small, and failure of the specimens can be caused by any type of bond failure. In B-type, it is assumed that the difference between the bond strength of Y- and Z-types is very large and we need to consider the bond strength of type Z only when there is no Y-type bond. In some ways, the description of the B-type group is the limit of the A-type group, when the difference between the strength of Y- and Z-type bonds increases. Indeed, any description different from A1 is a kind of approximation to the description of the group, we think that the usefulness of considering this different set is determined by the difference in materials, different requirements for calculation accuracy and different test sample sizes.
It also determines the crack or component failure in different materials and their stress concentration patterns [4].
Sometimes, it is acceptable to assume that sample failure can only occur in items with defects. This leads to the structures shown below. It is very important that in this case, we know the LI defects. But, some limitations appear. For KL, we should only use a probability mass function such that P(KL = 0) = 0, as in the example below, where the function AC calculates X = min, which depends on the strength of the Y links. And, if BC is calculated, then Y links should be greater than 0 value.
It is easy to connect the strength of the samples and the strength of the individual, LI . As an example, we can use A1. and B3. We can use the formula below:
where {pk, k = 0,1,….,nL} is the probability distribution, KL. This probability distribution can be considered as a function of the applied nominal voltage, i.e. it is a binomial distribution
In the Markov chain matrix shown above, P is a function t = 1, 2, whereas the primary use KL and it is taken as a vectoral quantity.
Defects can appear in the first stage before the manufacturing process (technological defect) and during operation. We can naturally assume a binomial of the number of defects for a certain number of elements, n. KL,
If n is large enough, the Poisson’s law is usually used as an approximation of the binomial distribution:
The parameters, pL = 2 and λ = 2, can be taken regardless of the technological defect or pl = 2, λ = 2, where Fk(x) is the fault initiation voltage at the beginning, but it has its own limitations [4].
We make an additional assumption that the distribution of the number of cross-sections with defects is a conditional Poisson distribution with a zero-probability condition that this number is zero. We refer to this distribution as the multiple system failure section. We choose an assumed size, KL, for a random number of broken cross-links.
Then, after that sample strength:
Therefore, looking at the above example, it can be concluded that it is very important to follow the condition of the material directly and to perform all inspections and maintenance as part of the technical operation or as recommended by the manufacturer. If we do not comply with these conditions, we will have to lose time and money due to the late identification of the defect. If we are using flap track fairing assembly and component maintenance tasks according to Structural Repair Manual (SRM), we can step by step replace the Moveable-Fairing Cover Retainers as per the steps below.
Put the WARNING NOTICE(S) in position in the cockpit to tell persons not to operate the flaps or slats.
As necessary, use the applicable SAFETY BARRIER(S), specified by the operator’s instructions and your local regulations.
Make sure that the flaps are fully retracted Ref. AMM TASK 27-50-00-866-009.
Install the LOCKING TOOL ZERO POS (98D27803500001) on the flap/slat control lever.
Energise the aircraft electrical circuits. Ref. AMM TASK 24-41-00-861-002.
Replacement of the Flap-Track Fairing Seals
For the new seals, refer to Ref. AIPC 57-55-11, for fairing 531EB(631EB), 532EB(632EB) or 533EB(633EB):
Drill the blind rivets and the washers. Remove them. Ref. SRM 51-42-21. Remove the strips and seals.
Install the new seals—lean the mating surface of the applicable fixed fairing with the Textile-Lint free Cotton—(Material Ref. 14SBA1) and Non-Aqueous Cleaner-General - - (Material Ref. 08BAA9).
Bond the seal and the strips to the applicable fixed fairing with Silicone Adhesive Sealant-General Purpose One part legacy (Material Ref. 06CMD9).
Apply a layer of Polysulfide Sealant-General Purpose Interlay—(Material Ref. 06AAC1) on the blind rivets.
Install the blind rivets and the washers. Ref. SRM 51-42-21.
Clean the unwanted sealant which is on the seals and the strips with the Textile-Lint free Cotton—(Material Ref. 14SBA1) and Non-Aqueous Cleaner-Wing—Legacy (Material Ref. 08BLA9).
For movable fairing, 531CB(631CB), 532CB(632CB) or 533CB(633CB):
Drill the blind rivets and the washers. Remove them. Ref. SRM 51-42-21.
Remove the nuts, the support angle and seals, the screws from the top cover 531AT(631AT), 532AT(632AT) or 533AT(633AT) [5].
Drill the blind rivets (18) and (20) and the washers (19) and remove them. Ref. SRM 51-42-Remove the backing strip and the seals.
Clean the mating surface of the applicable movable fairing with the Textile-Lint free Cotton—(Material Ref. 14SBA1) and Non-Aqueous Cleaner-General - - (Material Ref. 08BAA9).
Bond the seals to the applicable movable fairing with Silicone Adhesive Sealant-General Purpose One-part legacy (Material Ref. 06CMD9).
Put the backing strip in position on the seal.
For movable fairing 531CB(631CB), apply a layer of Polysulfide Sealant-Low Adhesion Brushable—(Material Ref. 06AEA1) on the blind rivets.
For movable fairings, 532CB(632CB) and 533CB(633CB), apply a layer of Polysulfide Sealant-General Purpose Interfay (Material Ref. 06AAC1) on the blind rivets (18) and (20).
Install the blind rivets (18) and (20) and the washers (19). Ref. SRM 51-42-21.
Clean the unwanted sealant which is on the seals (25), (17), (21) and/or (22) and (23) and the backing strip (24) with the Textile-Lint free Cotton—(Material Ref. 14SBA1) and Non-Aqueous Cleaner-Wing—Legacy (Material Ref. 08BLA9).
Bond the seals and the support angle to the applicable top cover with Silicone Adhesive Sealant-General Purpose One-part legacy (Material Ref. 06CMD9).
Apply a layer of Polysulfide Sealant-General Purpose Interlay (Material Ref. 06AAC1) on the blind rivets and the screws. Install the screws and the nuts. Tighten the nuts.
Install the blind rivets and the washers. Ref. SRM 51-42-21.
Clean the unwanted sealant which is on the seals and the support angle with the Textile-Lint free Cotton—(Material Ref. 14SBA1) and Non-Aqueous Cleaner-Wing—Legacy (Material Ref. 08BLA9) [5].

Flap track fairing assembly.