Pressure and friction drag components contribute the most to the whole drag of different high-speed vehicles [1,2]. Drag reduction is one of the most popular directions of modern research in the field of fluid-mechanics, because it allows to reduce power consumption and amount of air pollutant emissions and make airplanes and other high-speed vehicles more efficient. Existing methods of friction reduction can purposefully influence a very complicated energy exchange mechanism in the near-wall vortical structure, with a wide range of scales and disturbances, localised in the wall neighbourhood. These methods are effective for streamlined bodies, elongated in the direction of flow development. Pressure drag reduction is rather associated with streamlined body shape optimisation. These two different techniques are not independent, and their interaction for some modes of streamline can be significantly non-linear. Sometimes, even quite a strong positive reduction of the friction drag component can be neutralised by its concomitant negative influence on pressure distribution and, as a result, some promising drag reduction technologies cannot be effectively implemented in engineering practice.
This paper deals with the results of the research conducted by the authors and is associated with one of the most effective methods of skin friction reduction, which is the distributed exchange of mass through the streamlined surface in the form of microblowing or/and suction (Fig. 1).

The principal idea of the microblowing application to the aircraft streamlined surface.
This technology is not new, and its mechanism has been known for a long time. However, about 30 years ago, the method of micro-injection through huge arrays of very small holes got a new impetus in Hwang’s research activity [3] and was named by him as microblowing. One of the objective reasons for this unexpected growth of interest in this promising technology is the significant progress made in the creation and fabrication of materials with the required permeability and reasonable cost. Different effective improvements of this technology and, in particular, microblowing through several permeable sections, placed laterally to the flow direction (Fig. 2A), have been studied by Kornilov and Boiko [4].

Schematics of microblowing through the array of lateral slots (A) and longitudinally placed slots (B).
The goal of this paper is to analyse this technique’s efficiency as well propose and study the multi-slot microblowing through longitudinally placed permeable sections (Fig. 2B).
In addition, we propose an improved methodology for the experimentally based indirect drag coefficient estimation with the use of the wake flow parameters and by taking into account the possible presence of blowing/suction through some locally placed separable permeable sections.
This section represents the results of the numerical modelling of the influence of mass-exchange through the permeable sections of a streamlined surface of a rectangular wing section on the developing flow properties. The formalised problem statement consists in the numerical prediction of the most-relevant distributed characteristics of the flow around the rectangular wing section with an NACA0012 airfoil under the following conditions (reproducing the experiments performed by Kornilov [5]): chord c = 0.5 m, span L = 0.95 m, free stream air velocity U∞ = 21 m/s, Re = 7 · 105, angle of attack α = 0 – 12°, average mass transfer speed vn = 0 – 0.013 m/s, corresponding to the flux of secondary air flow of 0 – 500 l/min through the permeable sections, installed at x/c = 0.625 – 0.776. For simplicity, here we will consider this problem on the 2D level and replace the permeable sections with the corresponding airfoil arcs, characterised by the given non-zero vn.
The computational domain ABCDEF (Fig. 3) had a C-topology, and its dimensions were determined as follows: the radius of the arc BCD and the lengths AB and DE are 6- and 8-times more than a chord c, respectively. The width EF corresponds to the span L. Inside the ABCDEF, a structured mesh was built, the detailing of which, when approaching the wing section G, was chosen based on ensuring the condition of the height of the wall cells in the wall law coordinates y1+ ≤ 1, which was achieved with the number of nodes 12.3 × 106 and the use of large bias factors (1,000–1,500). In addition, due to the interest in the wake flow properties and to ensure high resolution when calculating the parameters of viscous flow behind the airfoil, the mesh was refined in the vicinity of the trailing edge and behind it, as well as in the near wake area. The results of mesh verification in the process of preliminary testing showed that a further increase in the number of nodes and a decrease of the size of near-wall cells do not lead to any significant changes in the results of numerical calculations.

Computational domain, mesh and its fragments.
To simulate the 3D flow around a high-speed vehicle, the following system of Reynolds-averaged Navier–Stokes (RANS) governing equations has been solved under the assumptions of stationary incompressible and predominantly turbulent air flow, completely corresponding to the formulated above-mentioned working conditions and with the use of the ANSYS Fluent 17.1:
Here
The boundary conditions were established by taking into account the motion of ground surface relative to the train body according to the ANSYS Fluent formalism and given as follows: external surface of the wing section G – velocity magnitude 0 m/s (wall); inlet faces (horizontal AB, DE, forward arc BCD) – velocity magnitude V∞ = 21 m/s in projections on the longitudinal x and normal y axes Vx = V∞cos(α), Vy = V∞sin(α) (velocity-inlet); lateral faces – symmetry; outlet face AEF – gauge pressure is 0 Pa (pressure-outlet).
According to the Boussinesq approach, the Reynolds stresses can be directly connected with the strain rate tensor components similar to the laminar case, but by the use of additional viscosity (so-called eddy- or turbulent viscosity vt) that reflects the dissipative mechanism of the turbulent vertical system:
The turbulent viscosity vt must be modelled with the use of an additional semi-empirical model of turbulence according to the assumptions of the RANS approach. Within the framework of ANSYS software, it is impossible to completely take into account the influence of microblowing on the level of any of the turbulence models available therein, and this is the reason for adding some computational code. As it follows from the obtained results, the one-equation Spalart–Allmaras turbulence model in the strain/vorticity-based modification and with a curvature correction allows to get one of the most realistic results that is very close to the averaged value of experimentally determined airfoil drag coefficient and at the same time, this model is the fastest in comparison with other turbulent models. Due to these reasons, the Spalart–Allmaras turbulence model was taken as the basis for further computations.
The mass transfer factor through the streamlined surface was taken into account by modifying the sources values in governing equations of continuity, momentum and turbulence model using specially developed user defined functions (UDF) that determine the permeable sections’ geometry and other parameters of mass-exchange through the streamlined surface. The obtained numerical solutions were additionally tested to implement the integral mass balance at the outer boundary of the computational domain and the wing streamlined surface.
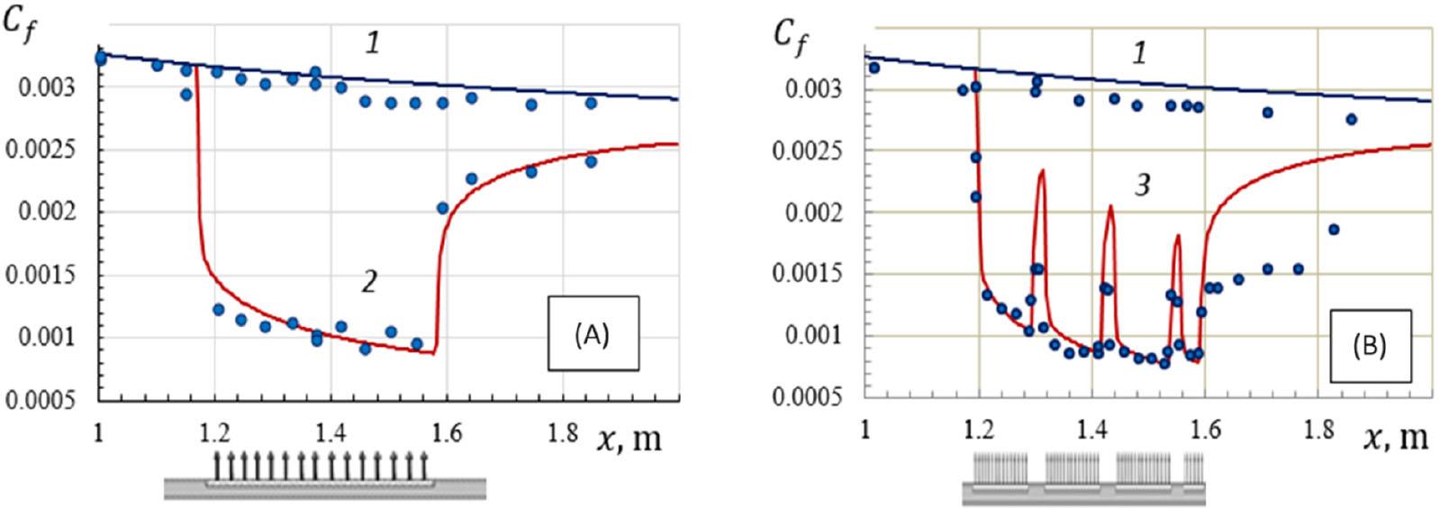
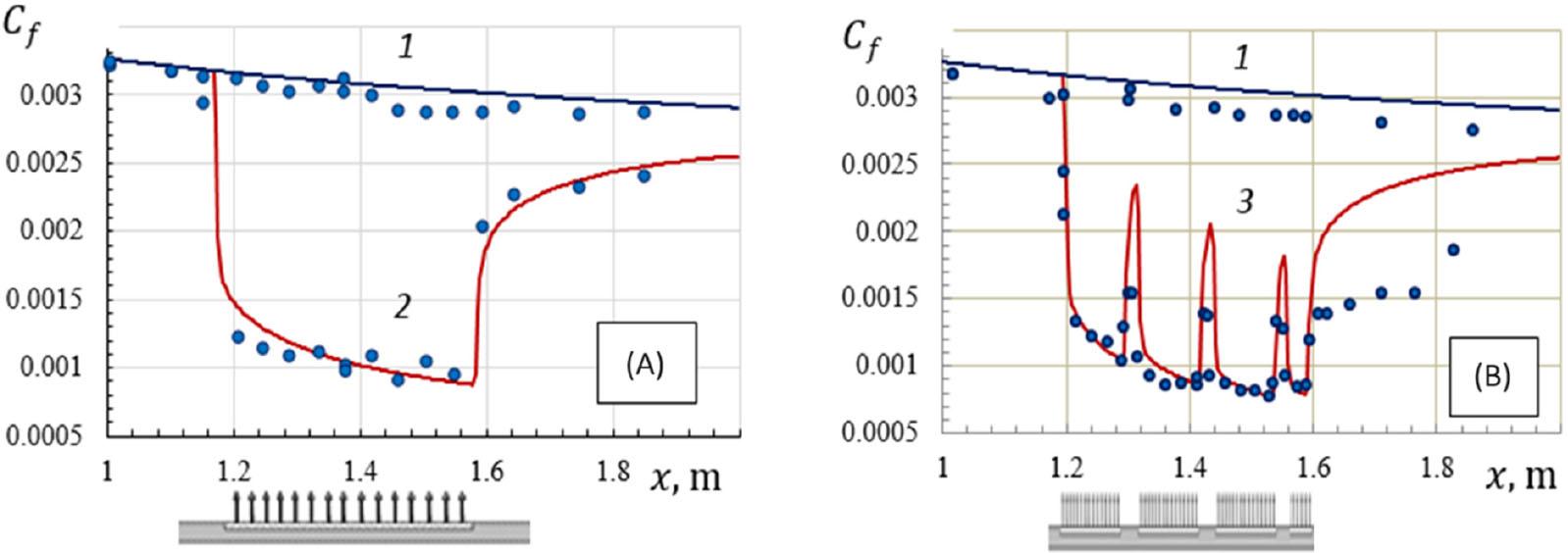
The first step of verification of the proposed modelling methodology was done for the simplest flow, developing over the flat plate with the permeable insert (Xb = [1.17; 1.58]) that was studied experimentally by Kornilov and Boiko [6]. The elaborated approach to correct the turbulent viscosity distribution in the near-wall region, described in Refs. [7–10], was applied here in the frames of the developed modelling methodology. The corresponding numerical results are presented in Fig. 4 for uniform (A) and intermittent multi-slot (B) microblowing realisations.

Local skin friction coefficient Cf distribution along the longitudinal coordinate x of flow development around flat plate without (1) and with microblowing (2, 3): circles – Kornilov-Boiko experiments [6]; lines – Shkvar’s numerical predictions. Cases (A) and (B) correspond to the uniform and intermittent microblowing, respectively, with blowing intensity Cb = Vy/V∞ = 0.00277.
The results of Cp(x/c) modelling in the reference configuration, i.e. without mass-exchange through the streamlined surface, are shown in Fig. 5 for two angles of attack (for α = 4° and α = 12°). The result of Cp(x/c) modelling with suction ( vn = −0.00687 U∞) through one of airfoil sides for α = 0° is illustrated in Fig. 6A, and Cp(x/c) modelling with the same suction intensity through one of wing sides for α = 0° in combination with blowing through the opposite airfoil side (vn = 0.013 U∞) is presented in Fig. 6B.

The pressure coefficient distribution along the NACA0012 airfoil chord Cp(x/c).
For α□= 4° (left) and α = 12° (right) in the reference configuration (mass transfer through the streamlined surface is absent).

The pressure coefficient distribution along the NACA0012 airfoil chord in the configuration α = 0° for suction influence through one of the airfoil sides with vn = −0.00687 U∞ (flux 263 l/min) – (A); and for the same suction influence, combined with blowing through the windward side with vn = 0.013 U∞ (flux 500 l/min) – (B).
As it follows from the presented comparisons with the experimental data [5], the elaborated formalised numerical procedure is able to reproduce the principal aspects of flow development behaviour in the case of laterally placed permeable slots (Fig. 2A). The systematic discrepancies between numerical predictions and experimental data (Fig. 6) can be explained by the different conditions of numerical modelling (unbounded free-stream) and experiment (influence of the walls of the wind tunnel 1 × 1 m2 testing section and presence of turbulators near the leading edge of the wing). At the same time, the numerical prediction does not allow to simulate the slow rate of relaxation of Cp(x/c) in the flow zone behind the end of blowing section like it was demonstrated in the experiments [5].
The next step of study of the properties of mass-exchange through the streamlined surface is associated with arrays of longitudinally arranged permeable slots (Fig. 2B). We suppose that the arrays of longitudinal permeable slots allow to intensify turbulent vortical structures exchange in the lateral direction and, as a result, improve flow stability to stall. Moreover, due to creating the regular anisotropy of the boundary layer in the lateral direction, this modified blowing technique can potentially have some synergistic properties, which can give the additional benefits. Here, we shall demonstrate only the first attempts of this idea realisation. The span of wing section was separated into n subsections with permeable slots, occupying a half of the subsection length along the lateral coordinate. The developed UDF allows to change the slot number n, slot location, length along chord and width along span as well as mass-exchange intensity. The obtained results of an uneven, but at the same time regular distribution of the isolines of the longitudinal velocity component in the vicinity of the streamlined surface of a flat plate in the transversal z direction with respect to the incoming flow in the case of 11 longitudinal slots, uniformly installed along its span are illustrated in Fig. 7. In the absence of blowing through these longitudinal slots, the isolines should be strictly parallel to the wall, whereas the presence of blowing naturally leads to local displacement of the flow and its velocity isolines above the slots in the normal to the wall direction y, which is adequately reproduced by the developed numerical model.

TVelocity magnitude isolines in the boundary layer along wing span (z-coordinate).
The obtained regularity of the velocity isolines along the span of the streamlined surface (wing, etc.) creates favourable conditions for the formation of transverse inhomogeneity of the boundary layer in the near-wall region, which allows generating an appropriate regular vortex structure of longitudinal vortices with the desired frequency along span, which will actively influence the process of formation and the further development of turbulence. In addition, the three-dimensional wall structure of longitudinal vortices increases the level of spatiality of the boundary layer near the streamlined surface, which should also increase the resistance of the boundary layer to separation, which is also very important, since the blowing itself acts in the opposite way. All these factors make it possible to consider this flow control method as promising both for its stationary and non-stationary implementations, for example, for generating transverse travelling waves, which requires further research and will be the subject of further efforts application by the authors.
The obtained results demonstrate a quite good level of correlation between the behaviour of numerical predictions of pressure coefficient distribution along chord and the corresponding experimental data both for the reference configuration and in the cases of separate suction and combined suction-blowing.
Even a fairly intensive blowing from one side of airfoil (vn = 0.013 U∞), combined with a suction on the opposite side with twice smaller intensity (vn = – 0.00687 U∞), does not allow achieving the drag-reduction effect, despite a strong local drag reduction on the blowing section due to Cp(x/c) redistribution and growth of pressure component of the drag coefficient.
Various complex combinations of blowing and suction intensity, slots orientation and placement can be promising drag-reduction techniques for different streamlined surfaces of aircraft. In addition, this technology has great potential for effective application in other high-speed vehicles such as submarines, bullet trains, etc.