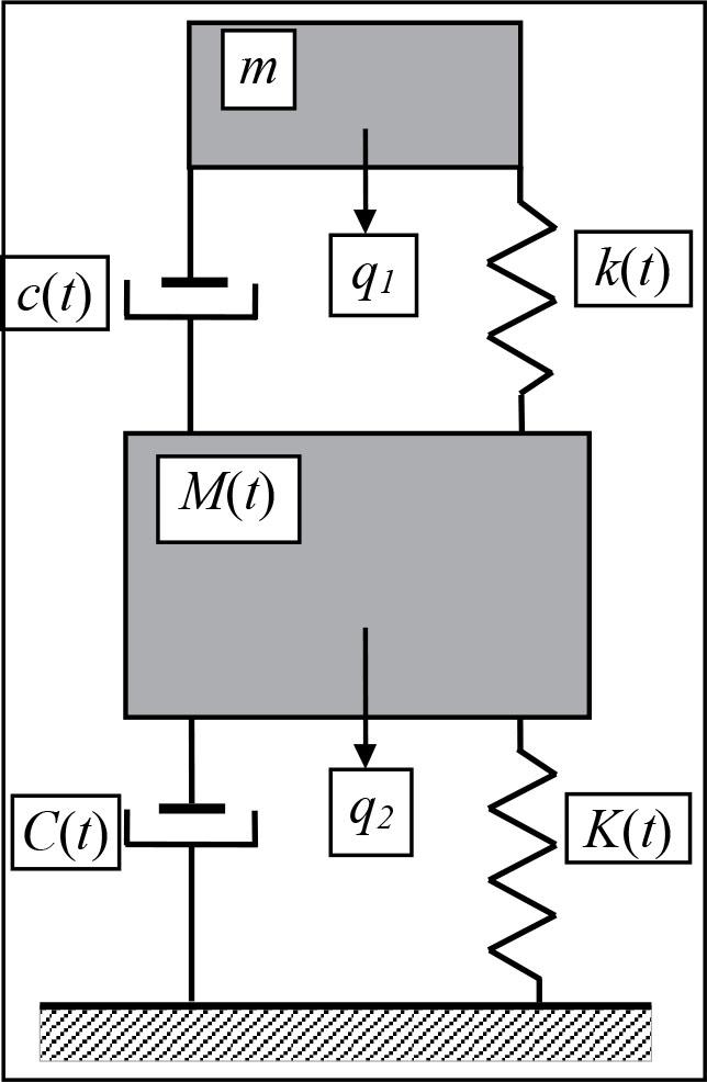
Figure 1:

j_sgem-2025-0015_tab_001
| the basic mass | – M = 3·104 kg, |
| the constant part of the stiffness of the elastic bond | – Ko = 4 ·108 N/m, |
| the characteristic of the damping bond | – C = 4.4 ·104 Ns/m |
| and | |
| parametric excitation frequency | – νo = 233 rad/s. |
j_sgem-2025-0015_tab_002
| Eliminator (upper mass m) | |
| the eliminator mass (1/20 of the mass M) | – m = 1.5 ·103 kg, |
| the spring stiffens | – k = 1.77 ·107 N/m |
| and | |
| the characteristic of the damping bond | – c = 4.4 ·104 Ns/m. |