Industrialization in recent decades has led to an increase in global temperatures with significant effects on climatic conditions such as higher-intensity rainfalls and an increase in water vapor-carrying potential of air. From the geotechnical engineering perspective of seasonal moisture variations in unsaturated soils, climate change has contributed to more frequent slope failures causing severe damage to infrastructure and human life. Hence, it becomes crucial to characterize the hydraulic and mechanical behavior of unsaturated soils, which is largely influenced by stress state and drainage conditions [1,2,3,4,5,6,7]. According to Rahardjo et al. [8], a slope may fail during rainfall that could stand safely in a dry season because an additional shear strength is present just above the water table and within the boundaries of the unsaturated zone. Therefore, active monitoring of moisture variations in a slope is necessary to predict its failure [9]. Typical monitoring systems for the measurement of matric suction of soil include tensiometers or ceramic cups as well [10], and for measuring the volumetric water content of the soil, dielectric moisture sensors are used [11]. All these being point sensors, they are only sensitive to changes in the moisture content locally occurring in the proximity of the sensor. Such sensors would be required in large amounts possibly if a landslide area with a wide potential is to be covered. A novel idea to predict the variation in soil moisture is to monitor wave velocities. Irfan et al. [12] developed a modified triaxial apparatus for the determination of elastic wave velocities alongside performing infiltration tests on unsaturated soil samples, and Irfan et al. [13] further studied the effects of saturation and deformation of the soil on wave velocities in the context of predicting rainfall-induced landslides. Predicting temporal variations in the soil moisture by measurement of the wave velocities is done by using a receiver assembly and an elastic wave exciter combined on the surface of the slope. Through them, elastic wave velocities are monitored with the change in soil moisture. A combination of receiver and exciter system can be used to cover a wide area of slope in this way [14, 15].
Likewise, the physical properties of unsaturated soil take on the form of a nonlinear function of suction, which can vary from zero to a million kilopascals depending on the climatic conditions [16]. The behavior of an unsaturated soil sample is primarily influenced by its soil water characteristic curve (SWCC), which shows the correlation between the amount of water in the soil pores (measured in terms of volumetric or gravimetric water content, saturation ratio, etc.) and the soil matric suction [17,18,19]. For a better understanding of the behavior of unsaturated soils, various researchers [20,21,22] have explored the variation of soil parameters along the wetting/drying path of SWCC. Gallage et al. [23] studied the unsaturated hydraulic conductivity function in SWCC along the drying and wetting paths and concluded that the hydraulic conductivity of unsaturated soils depends on several factors, such as the quantity of water present inside the soil skeleton. Hence, irrespective of the wetting or drying path, hydraulic conductivity is the same when the same amount of water exists in the soil skeleton. Zhai et al. [24] introduced a framework that utilizes the pore size distribution function (PSDF) concept to estimate SWCCs for various initial void ratios. The authors validated their approach by comparing their results to experimental data reported in previous studies. Likos et al. [25] developed a relative humidity technique to measure total suction characteristic curves, which was implemented recently by Patil et al. [26] who combined the axis translation technique with the relative humidity technique to obtain SWCC of soil samples over a wide range of suction between 0.05 and 300 MPa.
Determination of SWCC requires the availability of specialized laboratory equipment and is usually performed in a pressure plate apparatus [27] or a Tempe pressure cell [28]. However, no standard apparatus is available for the determination of elastic wave velocities during the wetting and drying paths of SWCC, with limited research on correlating elastic wave velocities with the soil water retention curve [29, 30]. Kassab et al. [31] performed an experimental study to describe the behavior of both primary wave (P-wave) and secondary wave (S-wave) velocities using sandstone samples that are porous, irrespective of whether the conditions are dry or wet. They observed that the obtained linear equations can be used to estimate S-wave from P-wave velocity, no matter what the condition is, that is, wet or dry sample state. Taylor et al. [32] designed a near-surface soil water retention curve (SWRC) laboratory device in which unconfined specimens in a controlled temperature chamber were subjected to three-dimensional vapor flow. The preliminary results provided insight into the discrepancies between unconfined and confined unsaturated soil behavior. Nevertheless, the behavior of elastic waves during the wetting path of SWCC is still largely unexplored. Another important elastic property of the soil is Poisson’s ratio, which is the ratio of lateral strain to longitudinal strain under uniaxial loading [33]. SWCC is required as an input for numerous analytical analyses and numerical simulations, spanning from slope stability, earth pressure, settlement, and bearing capacity to swelling and shrinkage [25, 34]. Experimental determination of a soil’s Poisson’s ratio can be carried out by measuring its shear and compressional wave velocities using methods such as the bender element method, ultrasonic testing devices, and piezoelectric transducers [35,36,37]. Thota et al. [38] presented a concept of Poisson’s ratio characteristic curve (PRCC), which established a relationship between Poisson’s ratio and the degree of saturation (or matric suction). Similar to SWCC, no researcher has been able to predict Poisson’s ratio behavior along the wetting and drying paths. Therefore, in this study, development of wetting drying curves from elastic wave velocities using novel triaxial test apparatus has been done. For this purpose, a novel triaxial apparatus was designed to not only determine the SWCC varying magnitudes of Ko stress, but also to be able to measure shear and compression wave velocities in due course. The primary objective of this research is to draw SWCC, wave velocity characteristic curve (WVCC), and PRCC along its wetting and drying paths in unsaturated soils. The Poisson’s ratio was obtained indirectly by measuring Vp and Vs. Recognizing the gap in existing knowledge and the lack of standard experimental setups to investigate this correlation, the authors have modified a conventional triaxial apparatus. This modification enables us to comprehensively assess various characteristic curves under varied Ko stresses while concurrently measuring both shear and compression wave velocities. Through this innovative approach, our study aims to provide new insights into the mechanical behavior of unsaturated soils, a critical aspect in the field of geotechnical engineering.
The addition of an elastic wave measurement system to a triaxial apparatus has been modified to enable the measurement of SWCC under constant total stress conditions. The configuration of the apparatus is shown in Figure 1. The base pedestal of the apparatus contains a ceramic disk ① that is shaped like a donut embedded in it. The ceramic disk used has air entry value (AEV) = 100 kPa and, as such, the apparatus is limited to testing of the sands only. There is also a piezoelectric disk transducer ② right in the middle. For the preparation of specimens (with a diameter of 75 mm and height of 41 mm), a latex membrane ③ was used that was supported by a brass split mold ④. During the whole experiment, the split mold was kept in place to avoid the risk of expansion or contraction in the sample. During the test, the top cap was allowed to move freely in case of any vertical movement. The specimens were subjected to effective Ko stress conditions. As the top cap was allowed to move freely, its movement was recorded using a vertical rod with attached LVDT ⑤ connected to the top cap. By modifying the dead loads ⑥ placed at the top of platform ⑦ directly attached to the top cap, any variations in vertical stress were negated effectively. It is explicitly stated that while a triaxial apparatus was used, the tests were performed under oedometric conditions with specific modifications to suit our study requirements.

Modified pedestal and top cap of triaxial apparatus, fitted with disk-type piezoelectric transducers at their respective centers.
Deaired water was used for saturating the specimen. By keeping an eye on water entering inside or coming out of the specimen, the saturation state of the specimen was kept in check. For measurement of water entering inside or getting out, a water bottle ⑧ was attached to the ceramic disk, and its weight was monitored all the time. In that bottle, the pressure of water was atmospheric ⑨. This was achieved by drilling a hole in the upper portion of the bottle. Another similar water bottle setup was established to measure the evaporation losses through this manually drilled hole. Evaporation losses were later used to adjust the weight of the bottle attached to the specimen sample. The water bottle was constantly monitored to keep track of anything entering inside or going outside. This was achieved by placing the bottle over a weighing balance ⑩ while constantly picturing the readings at the designated time interval.
In this study, Edosaki sand sourced from a natural slope in Ibaraki, Japan, was utilized. For all the experiments, the gravimetric water content percentage was set at 10%. The sand has specific gravity Gs = 2.71, maximum dry density, gdmax = 1.762 g/ml, minimum void ratio, emin = 0.647, and maximum void ratio, emax = 1.16. The initial height of the specimen was 40 mm, whereas the diameter was 74 mm. Three specimens having relative density (Dr) of 85%, 56%, and 39% were prepared and tested.
In the experiment, there were a variety of procedures involved. The procedures involve saturating the ceramic disk, sample preparation, and acquiring SWCC for drying and wetting with elastic wave measurements. The first step of the test was to saturate the ceramic disk. For this purpose, it was dipped inside a water container. The negative pressure ceramic disk was subjected to was −101.78 kPa. It was immersed inside the tank for 24 h. After that, it was taken out and fitted in the triaxial apparatus. To negate the risk of desaturation, a water bottle was attached to it. As the next step for setting up of split mold, a 0.3-mm-thick rubber membrane was added on the circumference of the base pedestal. Computation of the weight of the overdried Edosaki sand in question was done for achieving the required density. Edosaki sand sourced from a natural slope in Ibaraki, Japan, was utilized. For all the experiments, the gravimetric water content percentage was set at 10%. Water was added to the soil sample and mixed thoroughly to achieve this target. As the ceramic disk was saturated, any connection of water to the disk was stopped right there and the surface was dried with the help of tissue paper. For preparation of the sample, a wet tamping technique was used. In this technique, the wet soil was tamped into four identical layers. The sample preparation was done on top of the ceramic disk. Saturation of the sample was achieved by water flow through the ceramic disk. However, the water head was kept quite minimal (1–2 kPa) to negate any chances of piping occurring inside the sample. Together, all the apparatus (the base pedestal and the mold, excluding the water bottle) alongside the soil sample was weighed at specified intervals. Attainment of constant weight indicated saturation of the sample. It took 3–4 days to achieve the saturation point. Figure 2 shows all the steps involved in the preparation and saturation of the specimen.

Specimen preparation and saturation.
Once the soil specimen was prepared, it was subjected to matric suction of various distinctive magnitudes. The changes in moisture of the sample were recorded and used for the determination of wetting and drying SWCC. After the setup was achieved, the center of the specimen was marked and the water in the bottle was brought to exactly that point. Pore air pressure present inside the specimen was reduced to zero, that is, ua = 0 (Figure 3). This was an indication of zero matric suction (ua – uw = 0). This condition was sustained until the achievement of a constant water bottle weight. After this, the drying path started. During the drying process, the matric suction was incrementally increased to 0.5, 1.0, 2.0, 4.0, 7.0, 10.0, 15.0, 30.0, and 50.0 kPa, respectively. Lower values of matric suction, that is, between 0 and 4 kPa, were achieved by lowering the water level in the bottle. During this, the pore air pressure was kept at 0. Numerically, for the application of 4 kPa suction pressure, a 40-cm lowering of the water level was done. Beyond 4 kPa, the water level was returned to the original position and was not disturbed. Using the top cap, the pore air pressure was enhanced for suction greater than 4 kPa. During the experiment, the applied pore air pressure was equal to the magnitude of the applied suction. To maintain a constant axial stress throughout the experiment, a counterweight equivalent to the magnitude of the applied pore air pressure was placed on the top cap.

Water injection/drainage setup.
Every increment in the matric suction resulted in water flowing outside the specimen. This kept on going until an equilibrium position was attained. The time taken to reach the equilibrium condition was around 24–48 h. It was indicated when the weight of the water bottle became constant. Shear and compression wave velocities were determined after the attainment of equilibrium. The water bottle and the soil specimen were linked by a non-spill coupling valve that was disconnected for measurement of water drained out of the specimen. The water bottle was weighed for this purpose after disconnection. The other bottle in the apparatus for measuring water losses due to evaporation was also weighed to apply the required corrections. The entry value of the air into the ceramic disk is the limiting factor for the maximum suction pressure. For this apparatus, the maximum pressure that can be applied was 100 kPa. However, in the present study, the application of suction beyond 50 kPa was practically impossible because, beyond this limit, the airtightness of the system was remarkably difficult to maintain. For simulation of the wetting path, the value of pore air pressure was lowered from this value, that is, from 50 kPa. This was done alongside maintaining the water level at the required position, that is, at the center of the sample. As soon as the pore air pressure decreased, water started flowing into the specimen. This flow occurred through the ceramic disk. This kept on going until equilibrium was established. Again, the water bottle was disconnected from the apparatus. The weight of the bottle was determined to figure out the amount of water that flowed inside the specimen. For matric suction values higher than 4 kPa, the procedure remained the same. However, below 4 kPa values, the procedure used was different. The values were applied by venting the pore air pressure to the atmosphere, and then lowering of the water level was done below the center point position.
The shear and compression wave velocities were determined after the attainment of equilibrium using disk-type piezoelectric transducers [39, 40]. The apparatus used in this study has components of wave-measuring setup. The equipment used in the experiment included a Tektronix AFG3022B function generator (marked as ⑪), an NF Corp. HSA4012 power amplifier (marked as ⑫), and a HIOKI 8860 digital oscilloscope with a HIOKI 8957 high-resolution input module (marked as ⑬). A schematic diagram of the apparatus is shown in Figure 4 for a better understanding.

Schematic layout of modified SWCC wave velocity apparatus.
The calculation of wave velocities can be based on the basic formula for velocity, which relates the distance traveled to the time elapsed. By using specific formulas, it was possible to determine the compression wave (Vp) and shear wave (Vs) velocities in this study.
The travel time, denoted as t, of each wave was determined by examining the response of both the transmitted and received signals. In the case of compression waves, the initial deflection in the receiver signal was identified as the arrival time of the compression wave. This interpretation of the first arrival time is appropriate because compression waves propagate the fastest and therefore arrive at the receiver before any other wave. Thus, the time between the first deflection of the input and output signals was used to calculate the flight time of the compression waves, as depicted in Figure 5.

Travel time determination of compression wave signals.
Determining the travel time of shear waves is more complex than that of compression waves. This is because the initial deflection in the shear wave signal may not correspond to the arrival of the S-wave itself, but instead to the arrival of the “near-field” component, which propagates at the velocity of P-waves [41]. To calculate the travel time of the shear wave while ignoring the initial disturbance caused by the P-wave and the near-field effect, the “first-zero cross over” method was utilized [29]. Specifically, the travel time of the shear wave was estimated as the difference between the start of the transmitted signal and the start of the first significant positive polarity increase, as depicted in Figure 6.

Travel time determination of shear wave signals.
To measure the velocity of elastic waves, an excitation voltage was generated by a function generator and amplified by a power amplifier. This voltage was then applied to the transmitter disk transducer. The wave propagated through the soil specimen and was received by the receiver disk transducer located at the top cap. The received signal was then transferred to a digital oscilloscope for display. The input signal from the power amplifier was also sent to the oscilloscope via a monitoring channel, allowing for simultaneous recording of both the input and output signals. The process of determining elastic wave velocities (Vs and Vp) was conducted in a similar manner to that of the drying path, which involved equalizing matric suction at each level. The whole assembly was disconnected when zero matric suction was achieved during the wetting process. After that, the specimen was oven-dried and moisture content was determined through it. This moisture content and water bottle readings determined at different suction levels were used to calculate the corresponding moisture content of the specimen. This moisture content was obtained at various suction levels.
A series of tests have been conducted on the Edosaki sand with 85% relative density under the effect of net normal stress (σ-ua) 10 kPa. Contrary to a typical SWCC test, a small net stress was required in this case to establish sound contact between the disk transducer and soil. Without the establishment of this contact, the transmission of elastic waves from the sensor to the soil was not possible. SWCC of the studied soil is presented in Figure 7, and the correlation of SWCC is carried out with the established [42] model. Fitting data confirm that the results of SWCC are reliable and consistent with the results of [23].

Soil water characteristic curve (SWCC) of Edosaki sand.
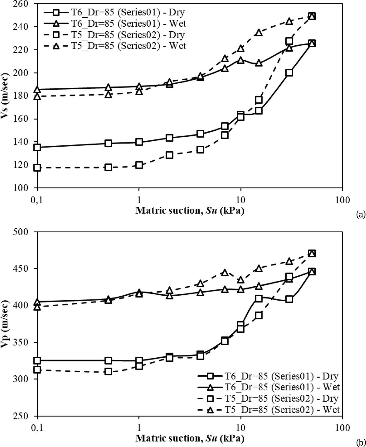
A test series (Series-01) was performed on the specimen prepared at 85% relative density and under the effect of net normal stress (σ-ua) 10 kPa. Figure 8a, b shows that the shear and compression wave velocities increase with the matric suction. The graph shows that the indicated behavior is bilinear with a depiction of clear hysteresis that is between the wetting and the drying curves. An increase in matric suction is accompanied by a decrease in water content of the soil. Dry soils are relatively stiff and may have contributed to the increase in wave velocities. The graphs show that both shear and compression wave velocities increase with matric suction. Effective stress between soil particles is enhanced by suction, thereby facilitating the propagation of waves through the soil skeleton. A direct relationship is, therefore, observed between matric suction and wave velocities. This is further substantiated by the fact that an increase in suction is accompanied by a decrease in the water content of the soil (as shown in Figure 7). Dry soils are relatively stiff and possess high modulus, that is, high wave speed [43]. The reliability and accuracy of the measurements was verified by performing another test series (Series-02) at 85% relative density and effect of net normal stress (σ-ua) 10 kPa. The test results of the second series performed to determine the reliability and accuracy are shown in Figure 8 (a, b). A comparison of graphs demonstrates the direct dependence of wave velocities on the matric suction of soil. Wave velocities increase/decrease nonlinearly with an increase/decrease in matric suction. It can be noted that the results of tests performed in Series-01 and Series-02 as shown in the figure are comparable. This justifies the reliability and repeatability of experimental work.

Relationship b/w suction and (a) shear wave velocity, (b) compression wave velocity.
Figure 9 shows the effect of variation of relative densities on matric suction, compression, and shear wave velocities with volumetric water content. For each specimen variation, matric suction, compression wave velocity, and shear wave velocity have been drawn, which show a bilinear behavior that depicts a clear hysteresis between the drying and wetting curves. Various researchers [12, 13, 29, 44] have shown the dependency of wave velocities on soil moisture. The general trend observed in the figure is similar as wave velocities increase with decreasing soil moisture and vice versa. Owing to the similarity in shape of wave velocity response to SWCC, the curve is being termed as WVCC. Identical to SWCC, WVCC of each specimen shows three distinct zones: saturation zone, transition zone, and residual zone. In the saturation zone, during the drying path, water is pushed out of the soil. At the start of the experiment, upon an increase in matric suction, air starts entering the soil skeleton, but is yet to break the surface tension of water. Before reaching AEV, water does not get pushed out of the soil skeleton, but effective stress increases due to an increase in matric suction. Thus, an increase in matric suction in this saturation zone leads to an increase in effective stress between soil particles. An increase in particle-to-particle contact stress causes an increase in wave velocities. In the transition zone, water is ejected from the soil rapidly without any significant change in matric suction. An increase in wave velocity follows a similar trend to matric suction (i.e., no rapid rise). In the residual zone (drying), wave velocities increase rapidly since effective stress increases due to matric suction. An increase in wave velocity is further substantiated by the ejection of water from the specimen, that is, the drier the specimen, the higher will be its modulus/wave velocity. In the residual zone (wetting), a decrease in matric suction causes a loss of effective stress. As the particle-to-particle contact force diminishes, wave velocities start decreasing. The pattern of compression wave velocities in unsaturated specimens exhibits similarities with that of shear wave velocities, but with a magnitude nearly twice as large. It is interesting to note that the wave velocities for the same matric suction during the wetting and drying parts is different, thereby causing a hysteresis identical to SWCC. A possible explanation for this phenomenon can be attributed to the stress history of soil. When a virgin soil sample is dried by an increase of matric suction, the soil “remembers” the stress history and even upon release of applied matric suction, the effective stress between soil particles is not completely lost. A stronger particle-to-particle contact during the wetting phase, therefore, causes higher wave velocities. This phenomenon may, however, be related to the stress path the sample has been subjected to during these tests, that is, drying of an initially wet sample and subsequent wetting. A comparison of graphs also demonstrates direct dependence of wave velocities on the matric suction of soil. Wave velocities increase/decrease nonlinearly with an increase/decrease in applied matric suction.

Effect of variation in relative density on matric suction, shear wave velocity, and compression wave velocities with volumetric water content.
Poisson’s ratio, which is defined as the ratio of the lateral strain to the longitudinal strain under uniaxial loading, is an elastic property of soil. Instead of directly measuring lateral and longitudinal strains, the authors inferred Poisson’s ratio indirectly through the measurements of shear and compression wave velocities in the soil specimens. Figure 10 depicts the experimental determination of Poisson’s ratio based on the measurements of shear and compression wave velocities [33, 45]. The figure includes a PRCC [38], which, similar to SWCC and WVCC, relates the Poisson’s ratio to the degree of saturation and matric suction. PRCC follows three distinct water retention regimes and exhibits variations between the dry and saturated states. At the dry state (I), the Poisson’s ratio is minimal due to the high compressibility of the soil. Conversely, at the saturated state (III), the soil becomes almost incompressible, resulting in a maximum Poisson’s ratio. Hence, there exists an inverse relationship between Poisson’s ratio and soil compressibility. As the soil undergoes a transition from saturated to unsaturated state, both the degree of saturation and Poisson’s ratio decrease at varying rates, depending on the dominant water retention state. Laboratory measurements reveal that the rate of change in the Poisson’s ratio is higher when the water content decreases, resulting in increased soil compressibility [38, 39]. In the saturated state (capillary state), the Poisson’s ratio undergoes minimal changes. This is because the compressibility of water is negligible compared to that of the soil matrix. Therefore, in the near-saturated condition, the pore water dominates over the soil skeleton, leading to a high and relatively constant Poisson’s ratio. The Poisson’s ratio value in the saturated state represents stage III in PRCC. Due to the stress history of soil, the drying and wetting curves show some difference in Poisson’s ratio values. However, for different relative densities, there is very little difference in final values.

Measured Poisson’s ratio versus matric suction and volumetric water content.
Elastic moduli such as Young’s modulus and shear modulus are measures of the stiffness of materials that respond to recoverable deformations. For materials that are elastic, isotropic, and homogeneous, the elastic constants are given by the following equations [46].

Relation between soil moduli and degree of saturation.
The authors have developed a novel apparatus to investigate the changes in shear and compression wave velocities as the Edosaki sand undergoes drying and wetting along SWCC. To the best of their knowledge, there is currently no standardized apparatus available for this purpose. In this article, the authors explain the underlying principles of their apparatus and discuss its practical limitations. The authors also assess the effectiveness of their apparatus by comparing the preliminary test results with previously published data. The following main conclusions are derived from the presented work:
- –
A direct relationship between the shear wave velocities and the matric suction was observed. The increased effective stress and stiffness due to increasing matric suction resulted in increased wave velocities.
- –
WVCC showed a similar trend to SWCCs with a change in suction and density of the soil. Like SWCC, WVCC also showed a hysteresis behavior, which can be attributed to the stress history of the soil. Furthermore, the wetting/drying paths possessed different matric suction values, which affected the wave velocities as well. A nonlinear relationship was observed between the wave velocity and the applied matric suction.
- –
PRCC showed a similar trend of hysteresis during wetting and drying paths. The Poisson’s ratio was observed to be maximum at the saturated stage due to the incompressible nature of the soil of the sample and was minimum at the dry stage.
- –
The elastic constants of shear showed a direct relation with the sample saturation level and matric suction with the hysteresis effect. The elastic constant of constrained was found to be approximately four times higher than the elastic constant of shear.