Figure 1

Figure 2

Figure 3

Figure 4

Figure 5

Figure 6

Figure 7

Figure 8

Figure 9

Figure 10

Figure 11

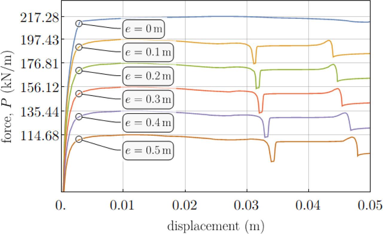
Comparison of semi-analytical and numerical values of bearing capacity_
| Eccentricity e (m) | 0 | 0.1 m | 0.2 m | 0.3 m | 0.4 m | 0.5 m | |
|---|---|---|---|---|---|---|---|
| QFEM (kN/m) | 217.28 | 197.43 | 176.81 | 156.12 | 135.44 | 114.68 | |
| B* = 2.000 m | Qan (kN/m) | 205.66 | 185.10 | 164.53 | 143.96 | 123.40 | 102.83 |
| Relative difference (%) | 5.65 | 6.66 | 7.46 | 8.45 | 9.76 | 11.52 | |
| B* = 2.113 m | Qan (kN/m) | 217.28 | 196.72 | 176.15 | 155.58 | 135.02 | 114.45 |
| Relative difference (%) | 0.00 | 0.36 | 0.38 | 0.34 | 0.31 | 0.20 | |
Assumed model parameters_
| Elasticity | Mohr–Coulomb plasticity | |||||
|---|---|---|---|---|---|---|
| Young's modulus, E | Poisson's ratio, ν | Cohesion mean value, μc | Cohesion standard deviation, σc | Internal friction angle, ϕ | Dilation, angle, ψ | |
| Soil | 200 MPa | 0.33 | 20 kPa | 2 kPa | 0° | 0° |
| Footing | 32 GPa | 0.00 | — | |||
The values of β and pf calculated (based on Table 3) for θv = 1 m θh = 10 m and Q = 159_95 kN/m_
| Eccentricity e (m) | ||||||||
|---|---|---|---|---|---|---|---|---|
| 0.00 | 0.01 | 0.02 | 0.10 | 0.20 | 0.30 | 0.4 | 0.5 | |
| β (−) | 3.80 | 3.69 | 3.57 | 2.66 | 1.19 | −0.53 | −2.62 | −5.27 |
| pf (−) | 7.2×10−5 | 1.1×10−4 | 1.8×10−4 | 3.9×10−3 | 1.2×10−1 | 7.0×10−1 | ≈1.0 | ≈1.0 |
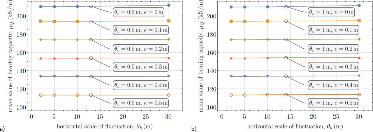
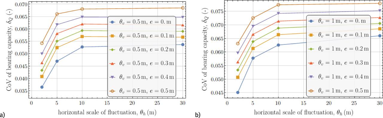
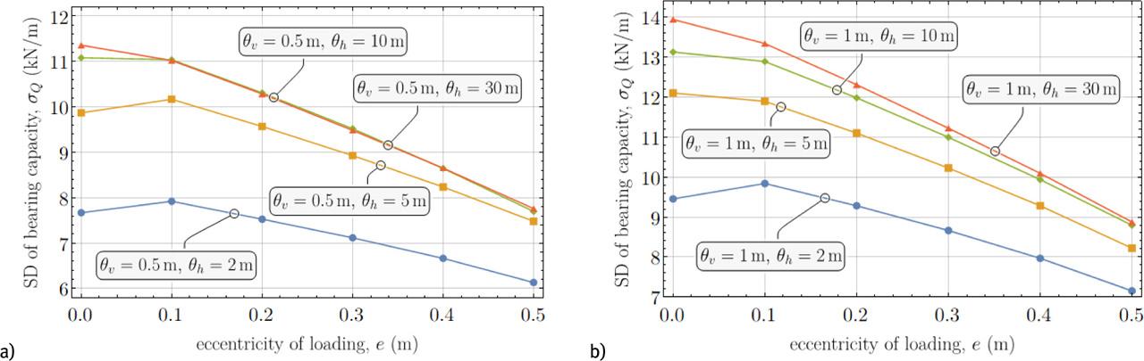
Obtained and interpolated values of μQ and δQ_
| θv (m) | θh (m) | μQ/δQ | Eccentricity e (m) | |||||||
|---|---|---|---|---|---|---|---|---|---|---|
| 0.00 | 0.01* | 0.02* | 0.10 | 0.20 | 0.30 | 0.4 | 0.5 | |||
| 0.5 | 2.0 | μ Q(kN/m) | 210.19 | - | - | 194.21 | 173.95 | 153.71 | 133.45 | 113.14 |
| δQ (%) | 3.65 | - | - | 4.08 | 4.33 | 4.63 | 4.99 | 5.42 | ||
| 5.0 | μ Q(kN/m) | 210.13 | - | - | 193.88 | 173.78 | 153.66 | 133.52 | 113.29 | |
| δQ(%) | 4.70 | - | - | 5.24 | 5.51 | 5.81 | 6.17 | 6.60 | ||
| 10.0 | μQ (kN/m) | 210.24 | - | - | 193.95 | 173.79 | 153.64 | 133.44 | 113.18 | |
| δQ (%) | 5.27 | - | - | 5.69 | 5.93 | 6.20 | 6.48 | 6.80 | ||
| 30.0 | μQ (kN/m) | 211.68 | - | - | 194.51 | 174.27 | 154.02 | 133.72 | 113.33 | |
| δQ (%) | 5.37 | - | - | 5.67 | 5.90 | 6.16 | 6.47 | 6.85 | ||
| 1.0 | 2.0 | μQ (kN/m) | 209.72 | - | - | 194.14 | 173.97 | 153.81 | 133.59 | 113.31 |
| δQ (%) | 4.51 | - | - | 5.07 | 5.34 | 5.63 | 5.96 | 6.31 | ||
| 5.0 | μQ (kN/m) | 209.70 | - | - | 194.03 | 173.92 | 153.78 | 133.60 | 113.33 | |
| δQ (%) | 5.77 | - | - | 6.13 | 6.38 | 6.65 | 6.95 | 7.25 | ||
| 10.0 | μQ (kN/m) | 209.88 | 208.32 | 206.75 | 194.25 | 174.18 | 154.07 | 133.89 | 113.60 | |
| δQ (%) | 6.26 | 6.30 | 6.34 | 6.64 | 6.88 | 7.14 | 7.42 | 7.74 | ||
| 30.0 | μQ (kN/m) | 211.35 | - | - | 194.66 | 174.53 | 154.38 | 134.19 | 113.90 | |
| δQ (%) | 6.60 | - | - | 6.86 | 7.06 | 7.27 | 7.52 | 7.79 | ||