Figure 1

Figure 2

Figure 3

Figure 4

Figure 5

Figure 6

Figure 7

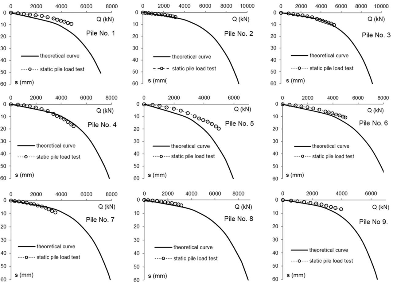
Figure 8

Figure 9

Figure 10

Figure 11

Figure 12

Figure 13

Figure 14

Figure 15

Compilation of data used for correlation analysis_
| Location | Number of piles | Geometry of piles | Number of CPTs | Distance between pile and CPT | Soil under pile base | ||
|---|---|---|---|---|---|---|---|
| D | Db* | L | |||||
| (mm) | (mm) | (m) | (m) | ||||
| Gdańsk | 5 | 406 | 460 | 9.0 to 13.5 | 6 | 2.0 to 10.0 | FSa |
| 9 | 508 | 560 | 16.0 to 22.0 | 7 | 2.0 to 10.0 | FSa | |
| Gdynia | 14 | 560 | 610 | 14.0 to 18.0 | 10 | 2.0 to 6.0 | FSa |
| Grudziądz | 16 | 508 | 560 | 10.6 to 20.0 | 12 | 1.0 to 8.0 | FSa, MSa |
| Hajnówek | 4 | 508 | 560 | 7,5 | 4 | 4.0 to 6.0 | CSa, FSa |
| Olsztynek | 44 | 610 | 660 | 6.5 to 12.0 | 30 | 1.0 to 6.0 | MSa |
| Szczecin | 13 | 408 | 460 | 12.0 to 14.0 | 6 | 2.0 to 10.0 | MSa, FSa |
| 6 | 457 | 510 | 17.6 to 18.4 | 6 | 1.0 to 8.0 | FSa | |
| 10 | 457 | 520 | 17.5 to 21.5 | 9 | 1.0 to 6.0 | FSa | |
| Wrocław | 4 | 610 | 660 | 8.5 to 11.0 | 4 | 2.0 to 6.0 | CSa, MSa |
| 12 | 508 | 560 | 6.0 to 18.0 | 8 | 2.0 to 6.0 | CSa, MSa | |
| S | 137 | 102 | |||||
Output parameters according to correlations from Fig_ 4 to Fig_ 6_
| s”/Qs | s’ | s” | Qs |
|---|---|---|---|
| 0.0042 | 1.73 | 4.7 | 1107 |