Laboratory observations have consistently confirmed that two samples of sand prepared by different reconstitution methods to the same density may exhibit quite different index properties and mechanical responses when subjected to monotonic and cyclic loading conditions under otherwise similar conditions [25,26,27, 29, 33, 36]. The obtained differences can be attributed to the resulted microstructure induced by the different reconstitution techniques that can be identified by the spatial arrangement of sand particles and associated voids [5, 30]. How to take fabrics effects into account in geotechnical engineering analysis is becoming a veritable challenge and remains a difficult problem that attracts efforts on both theoretical and practical levels. Published literature reported that several techniques have been developed to reconstitute samples of granular soil in laboratory testing. Moist tamping and pluviation (through air or water) are amongst the most popular techniques. Numerous studies [7, 17, 20, 28, 29, 33, 35, 40] have shown that different sample preparation methods induce different soil fabrics and consequently different stress– strain responses of reconstituted samples subjected to a small to moderate shear strain levels. Studies conducted by [29] and [40] were amongst the first attempts to study the effects of the sample preparation method on reconstituted sand behaviour. [28] performed a series of stress-controlled cyclic triaxial tests and found that sand samples prepared by moist tamping exhibited a much higher resistance to liquefaction than their counterparts formed by air pluviation, with the liquefaction resistance of the samples formed by water pluviation being in between. [40] observed that the method of sample preparation significantly affected the cyclic shear strength of sand. Similarly, [28] reported that different sample preparation procedures significantly affected the liquefaction characteristics of sand in undrained stresscontrolled cyclic triaxial compression tests. [4, 6, 13, 20, 24] presented results showing that the samples prepared with dry funnel pluviation (DFP) are more resistant than those prepared with wet deposition (WD). [39] performed undrained triaxial compression tests on loose silty sands and found that the shear response depended significantly on the used sample preparation techniques. The soil may become unstable even before the stress state reaches failure; this has been observed by [21, 23] under undrained conditions. [8, 18] investigated instability line behaviour for saturated sands under monotonic undrained triaxial tests conditions. Analysis of the obtained results showed a trend line representing peak shear strength points that passes through the origin. The tests were performed on samples with similar void ratios and different effective confining pressures. [22] indicated that instability is not synonymous with failure, although both may lead to catastrophic events; moreover, he observed that loose fine sand under undrained conditions becomes unstable even before the stress state reaches failure. [9] stated instability as one of the failure mechanisms that lead to flow slides or collapse of granular soil slopes for loose to medium dense sand under strain-controlled conditions. [10] also indicated the observed instability by various instability lines. However, they suggested that the instability line obtained from undrained tests could be used to predict the instability observed under decreasing mean normal stresses. Similarly, [31] idealised the observed instability conditions by a straight line and named it the ‘failure initiation line’. [11] also stated that the obtained instability line is the same for conventional undrained triaxial tests for a given void ratio. [15] reported from triaxial compression test results on sand samples prepared using two fabric methods such as DFP and WD that the WD samples exhibited a contractive character leading to instable soil samples compared to those prepared by DFP. They claimed that this behaviour can be attributed to the role of water to confer to the soil a higher void ratio, which leads to easily compressible samples and consequently to very vulnerable soil sample structure to liquefaction. [16] found that the stress path (in p’–q plot) indicated clearly that the slope of the instability lines for both dry funnel pluviated and wet deposited samples increased with increasing in confining pressure. The instability zone for WD method is larger than that for DFP method. [34] presented the definition of the instability line, the steady-state line and the instability zone. The instability line is a line that connects the peak of a series of effective stress paths obtained from undrained compressions tests (Figure 1).

Determination of the instability line (Yamamuro and Lade, 1997).
The objective of this study is to explore the effects of two depositional methods, DFP and WD, and confining pressure (P’c = 100, 200 and300 kPa) on the shear behaviour and instability friction angle of normally consolidated and overconsolidated Chlef sand–silt mixture samples (OCR = 1 and 2), focusing on the influence of low plastic fines content (Fc = 0%, 20% and 40%). Factors such as degree of saturation, sample size and relative density have been kept constant. A detailed laboratory investigation has been presented in the subsequent sections.
Natural sandy soil material was collected along the banks of Chlef (Algeria) River from liquefied soil deposit areas close to the El Asnam earthquake epicentre (10 October 1980). The identification tests were conducted on Chlef sand mixed with low plastic fines (Ip = 5%) according to a fines content ranging between 0% and 40%. The scanning electronic microscopic (SEM) images of Chlef sand is given in Figure 2. Tables 1 and 2 present the index properties of the materials under study. The grain size distribution curves of the tested silty sands are given in Figure 3. The variation of emax (maximum void ratio corresponding to the loosest state of the soil sample) and emin (minimum void ratio corresponding to the densest state of the soil sample) were determined according to (ASTM D 4253-00, 2002; ASTM D 4254-00, 2002) for 0–100% range of fines content Fc (the ratio of the weight of silt to the total weight of the sand–silt mixture) is given in Figure 4a. According to this plot, the different indices decrease with the increase in the fines content until Fc = 30%; then, they increase with further increase in fines content. Figure 4b illustrates the variation of emax with emin. It is clear from Figure 4b that the correlation between the minimum and maximum void ratios of the sand–silt mixtures samples is quite similar to that of [38].

(a) Photograph and (b) SEM image of Chlef sand (Algeria).

Grain size distribution curves of tested soils.

Void ratios index of tested soils. (a) Void ratio index versus fines content and (b) maximum void ratio versus minimum void ratio.
Index properties of sand and silt under study.
| Properties | Materials Chlef sand | Silt |
|---|---|---|
| Gs | 2.652 | 2.667 |
| Dmax(mm) | 2.000 | 0.08 |
| D10 (mm) | 0.266 | - |
| D50 (mm) | 0.596 | 0.023 |
| Cu (.) | 2.634 | |
| Cc (.) | 0.999 | |
| emax(.) | 0.795 | 1.563 |
| emin(.) | 0.632 | 0.991 |
| WL(%) | - | 31.72 |
| Wp (%) | - | 26.71 |
| Ip (%) | - | 5.12 |
| USCS | SP | ML |
| Grain Shape | Rounded | Rounded |
Index properties of Chlef sand-silt mixtures.
| Properties | Sand-silt mixtures | |
|---|---|---|
| Fc (%) | 20 | 40 |
| Gs | 2.655 | 2.658 |
| D10(mm) | 0.023 | 0.003 |
| D50(mm) | 0.488 | 0.236 |
| Cu (.) | 27.24 | 120.51 |
| Cc(.) | 3.997 | 3.300 |
| emax(.) | 0.697 | 0.759 |
| emin(.) | 0.458 | 0.505 |
The most important characteristic of laboratory research work is to perform tests on samples that are really representing the in situ conditions. As undisturbed samples of cohesionless soils are typically too difficult or costly to obtain, reconstituted samples need to be prepared using a depositional technique that most closely replicates the in situ stress, density and fabric. Research has clearly shown the effect of sample preparation methods on the sand–silt mixture shear strength, and it is believed that WD method most closely approximate the in situ fabric of fluvial soils. The shear strength behaviour of sand–silt mixture depends primarily on the sample preparation techniques and consequently the arrangement of the particles and the overall fabric represented by grains and pores. In general, the term ‘fabric’ refers to the microstructure of the soil itself but it is basically composed of geometric and kinetic arrangement of the particles. The contact forces between particles and the distribution of these interparticle forces come together to form the ‘microstructure’ with ‘bonding’. Two sample preparation methods, DFP and WD, are used in this study. The two methods are subsequently described. In the first one, the dry soil is deposited into the mould using a funnel by controlling the height. This method consists of filling the mould by raining the dry sand through the funnel. However, the second one consists of mixing the previously dried sand–silt mixtures with a small quantity of water (w = 3%) and then placing the wet soil in the mould in successive layers. A constant number of strokes are applied to get a homogeneous and isotropic structure. The fabric study showed that granular materials composed of fines and sand grains acquire different fabrics when different methods of sample preparation are used. Pouring of materials into the mould resulted in the orientation of grains acquiring different arrangements: no preferred orientation of soil particles in the case of WD (Figure 5a) and preferred particles orientation in the case of DFP (Figure 5b). Triaxial tests are performed on cylindrical samples with 100 mm in diameter and 200 mm in height (H/D = 2.0). The amount of sand deposited in the mould is determined according to the relative density that is defined by

Schematic illustration of sample preparation; (a) wet deposition and (b) dry funnel pluviation.
Where e is the target void ratio, emax is the maximum global void ratio and emin is the minimum global void ratio
The saturation of a sample represents an important stage in the experimental procedure. Indeed, its mechanical behaviour under undrained loading conditions depends heavily on the quality of its saturation. To obtain a maximum degree of saturation, the technique of carbon dioxide elaborated by Lade and Duncan (1973) was used. After taking necessary measurements, the samples have been first subjected to CO2 for at least 30 min and then saturated by de-aired water. The evaluation of the saturation degree is done by means of Skempton’s pore pressure parameter B as the ratio of measured pore water pressure increase induced by an increase in cell pressure in undrained conditions and the corresponding increase in cell pressure. The B value was measured to test samples saturation and a minimum value of larger than 0.97 is obtained for all tests. In this study, backpressure of 200 kPa has been applied during the tests to achieve the saturation state. After samples are fully saturated, they are subjected to consolidation, where the difference between the cell pressure and back pressure was fixed as 100 kPa.
The undrained monotonic triaxial tests were carried out at a constant strain rate of 0.2 (mm/min). The applied strain rate was selected to allow pore pressure change to equalise throughout the sample with the pore pressure measured at the base of sample. A maximum value of the strain rate of 24% was reached for the different triaxial tests. Figure 6 shows the view of dry funnel pluviated and wet deposited samples after shearing.

View of (a) dry funnel pluviated and (b) wet deposited samples after shearing.
Figures 7–10 present the undrained shear strength response of sand–silt mixture. The dry funnel pluviated samples were reconstituted with a low plastic fines content of 0% and 40% at an initial relative density Dr = 52% and subjected to two OCRs (1 and 2 and three confining pressures (P’c = 100, 200 and 300 kPa). In general, the fines content, confining pressure and OCR parameters have significant influence on the undrained shear strength response (undrained instability and steady state). The obtained test results indicate that the deviator stress increases with the increase in the confining pressure for both fines contents (Fc = 0% and 40%) and OCR = 1 and 2. This increase can be attributed to the role of the confining pressure attenuates dilative character of the sand–silt mixtures leading to a more stable structure of the samples. The obtained results are in good agreement with those of [32] and Gupta (2009) (Figures 7a, 8a, 9a and 10a). However, the effect of the OCR is clearly observed particularly when comparing the results of Figure 7 with Figure 9 and those of Figure 8 with Figure 10, where the undrained shear strength increases with increases in the OCR for the selected confining pressures (P’c = 100, 200 and 300 kPa). This increase shows the role of the OCR parameter in increasing the particle interlocking because of the existence of smaller silt particles between larger sand particles and consequently inducing a dilation phase of the sand–silt mixtures leading to a more stable structure of the samples. The outcome of the present study is in good agreement with the experimental work reported by [3, 12, 19, 37]. The effect of low plastic fines content on the undrained shear strength response can be observed by comparing Figure 7 with Figure 8 and Figure 9 with Figure 10. It is observed that the undrained shear strength tends to decrease with increasing fines content. The observed undrained shear strength trend is a result of the fact that fines content increase induces contractive behaviour to the sand–silt mixture soil leading to unstable soil structures. The influence of the confining pressure, OCR and fines content on the excess pore water pressure response of the different graded sand–silt mixtures is illustrated in Figures 7b, 8b, 9b and 10b. As it can be observed from these figures, the excess pore water pressure decreases with the increase in OCR and increases with the increase in fines content and confining pressure, confirming the major role of these influencing parameters. The stress path in the (p’, q) plane shows clearly the role of the confining pressure and OCR in the increase of the average effective mean pressure and consequently to the decrease in the maximum deviatoric stress and the inverse trend was observed in the case of influence of fines content (Figs. 7c, 8c, 9c and 10c).

Undrained monotonic response of dry funnel pluviated sand–silt mixtures (Fc = 0%, OCR = 1, Dr = 52 %): (a) deviator stress versus axial strain, (b) excess pore water pressure versus axial strain and (c) stress path diagram.

Undrained monotonic response of dry funnel pluviated sand–silt mixtures (Fc = 40%, OCR = 1, Dr = 52%): (a) deviator stress versus axial strain, (b) excess pore water pressure versus axial strain and (c) stress path diagram.

Undrained monotonic response of dry funnel pluviated sand–silt mixtures (Fc = 0%, OCR = 2, Dr = 52%): (a) deviator stress versus axial strain, (b) excess pore water pressure versus axial strain and (c) stress path diagram.

Undrained monotonic response of dry funnel pluviated sand–silt mixtures (Fc = 40%, OCR = 2, Dr = 52%): (a) deviator stress versus axial strain, (b) excess pore water pressure versus axial strain and (c) stress path diagram.
Figures 11–14 show the undrained shear strength response of sand–silt mixture samples reconstituted with low plastic fines content of 0% and 40% and subjected to three confining pressures (P’c = 100, 200 and 300 kPa). The normally consolidated (OCR = 1) and overconsolidated (OCR = 2) samples were reconstituted using WD method at an initial relative density Dr = 52%. It is observed that the liquefaction resistance (undrained shear strength) tends to increase with increasing OCR. The overall trend of increasing strength with increasing OCR can be attributed to the role of the overconsolidation in increasing the particle interlocking because of the existence of smaller silt particles between larger sand particles and the dilation phase of the sand–silt mixtures, leading to a more resistant structure of the samples. Thus, the liquefaction resistance of the sand–silt mixtures (Fc = 0% and 40%) increases with the increase in fines content as illustrated in the comparison between Figures 11 and 12 and Figures 13 and 14. However, complete static liquefaction (the deviator stress is equal to 0 and the excess pore water pressure becomes equal with the initial effective stress) was observed in the cases of all clean sand samples prepared using WD except for the OCR (2 with P’c = 300 kPa), and it was also observed (liquefaction) for sand–silt mixtures (Fc = 40%) in the cases of OCR = 1 with P’c = 300 kPa. The observed undrained shear strength and pore water pressure trend are the results of the fact that WD method induces contractive behaviour to the sand–silt mixture, leading to unstable structure of the samples. The obtained results are in good agreement with those of [4, 6, 13, 14, 20, 33]. However, liquefaction resistance increases with the increase in confining pressure for all fines content and both OCR values. The stress path in the (p’, q) plane shows clearly the role of OCR, confining pressure and fines content at WD method to increase the effective mean pressure and the maximum deviator stress (Figs. 11c, 12c, 13c and 14c).

Undrained monotonic response of wet deposited sand–silt mixtures (Fc = 0%, OCR = 1, Dr = 52%): (a) deviator stress versus axial strain, (b) excess pore water pressure versus axial strain and (c) stress path diagram.

Undrained monotonic response of wet deposited sand–silt mixtures (Fc = 40%, OCR = 1, Dr = 52%): (a) deviator stress versus axial strain, (b) excess pore water pressure versus axial strain and (c) stress path diagram.

Undrained monotonic response of wet deposited sand–silt mixtures (Fc = 0%, OCR = 2, Dr = 52%): (a) deviator stress versus axial strain, (b) excess pore water pressure versus axial strain and (c) stress path diagram.

Undrained monotonic response of wet deposited sand–silt mixtures (Fc = 40%, OCR = 2, Dr = 52%): (a) deviator stress versus axial strain, (b) excess pore water pressure versus axial strain and (c) stress path diagram.
Table 3 presents the results of 36 monotonic undrained triaxial tests that were carried out on the different graded sand–silt mixtures under consideration.
Summary of monotonic triaxial tests of silty sand.
| Test No | Dr (%) | Fc (%) | Method | OCR | P’c (kPa) | η | ϕ’ins(°) | ϕ’s(°) | qins(kPa) | P’ins(kPa) |
|---|---|---|---|---|---|---|---|---|---|---|
| 1 | 100 | 55.56 | 56.11 | |||||||
| 2 | 1 | 200 | 1.01 | 45.28 | 25.61 | 136.77 | 138.14 | |||
| 3 | DFP | 300 | 219.72 | 21.92 | ||||||
| 4 | 100 | 86.34 | 94.97 | |||||||
| 5 | 2 | 200 | 1.10 | 47.73 | 27.70 | 1 79.88 | 197.87 | |||
| 6 | 0 | 300 | 307,45 | 338,19 | ||||||
| 7 | 100 | 34.26 | 20.90 | |||||||
| 8 | 1 | 200 | 0.61 | 31.38 | 16.07 | 78.24 | 47.72 | |||
| 9 | WD | 300 | 125.96 | 76.83 | ||||||
| 10 | 100 | 51.46 | 37.36 | |||||||
| 11 | 2 | 200 | 0.72 | 36.01 | 18.75 | 122.01 | 88.58 | |||
| 12 | 300 | 208.06 | 151.05 | |||||||
| 13 | 100 | 51.48 | 39.12 | |||||||
| 14 | 1 | 200 | 0.65 | 37.47 | 19.85 | 98.89 | 75.15 | |||
| 15 | DFP | 3 00 | 1 42.67 | 108.43 | ||||||
| 16 | 100 | 23.51 | 63.64 | 58.93 | ||||||
| 17 | 2 | 2 00 | 0.93 | 42.82 | 142.05 | 131.54 | ||||
| 18 | 20 | 300 | 236.87 | 219.34 | ||||||
| 19 | 52 | 100 | 35.02 | 24.16 | ||||||
| 20 | 1 | 200 | 0.69 | 34.60 | 18.02 | 79.31 | 54.72 | |||
| 21 | WD | 300 | 128.19 | 88.45 | ||||||
| 22 | 100 | 52.11 | 40.12 | |||||||
| 23 | 2 | 200 | 0.77 | 37.59 | 19.95 | 126.16 | 97.14 | |||
| 24 | 300 | 211.95 | 163.20 | |||||||
| 25 | 100 | 48.58 | 36.43 | |||||||
| 26 | 1 | 200 | 0.75 | 36.87 | 19.47 | 86.78 | 65.08 | |||
| 27 | DFP | 300 | 139.97 | 104.98 | ||||||
| 28 | 100 | 59.78 | 49.01 | |||||||
| 29 | 2 | 200 | 0.83 | 39.58 | 21.14 | 138.05 | 113.20 | |||
| 30 | 40 | 300 | 227.03 | 186.16 | ||||||
| 31 | 100 | 36.33 | 26.16 | |||||||
| 32 | 1 | 200 | 0.72 | 35.75 | 18.75 | 81.89 | 58.96 | |||
| 33 | 300 | 131.05 | 94.36 | |||||||
| 34 | WD | 100 | 55.34 | 42.94 | ||||||
| 35 | 2 | 200 | 0.78 | 37.83 | 20.12 | 129.75 | 100.68 | |||
| 36 | 300 | 214.43 | 166.40 |
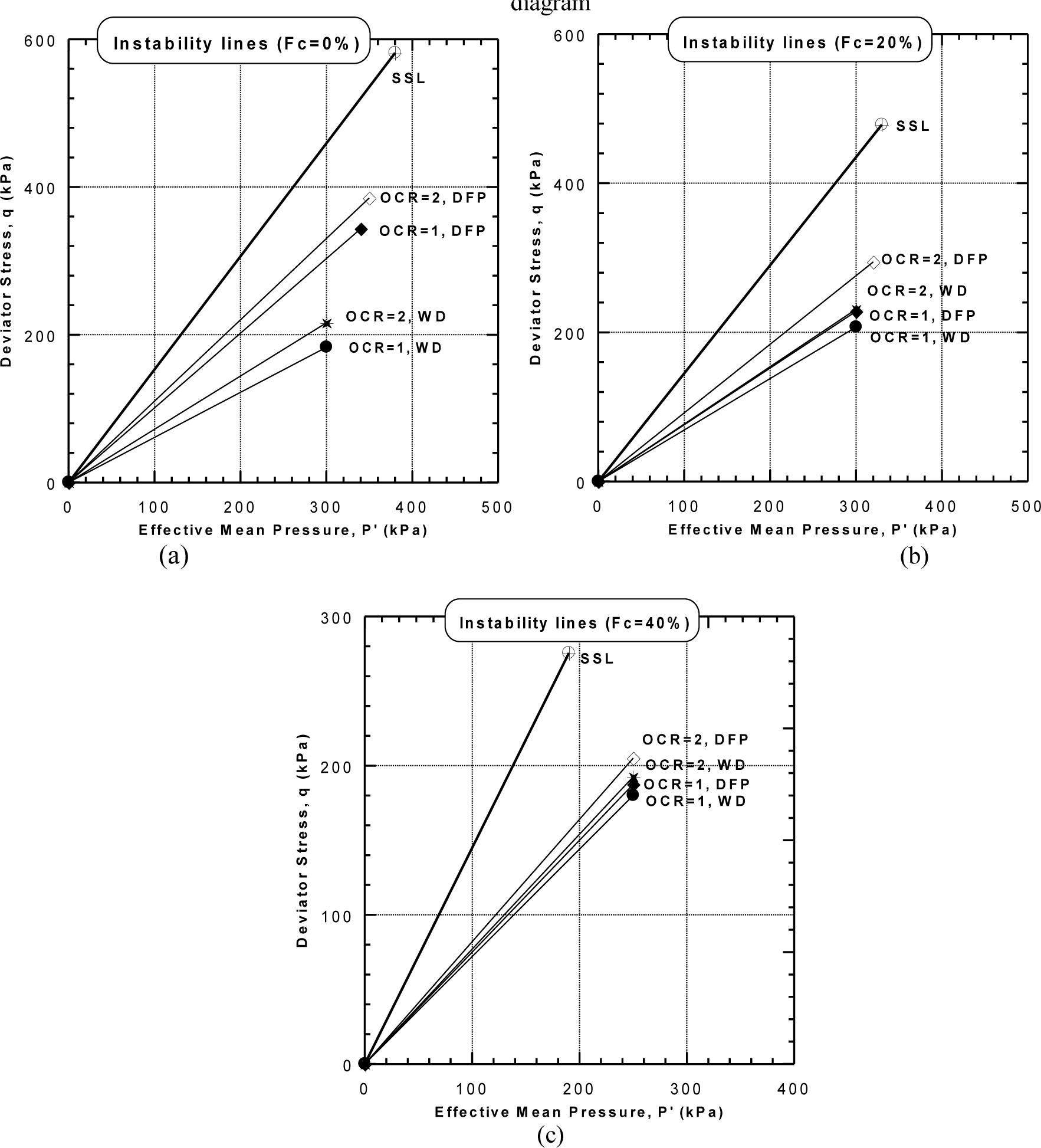
Data from the present study (Figures 7–14) are reproduced in Figure 15 for the purpose of analysing the effects of the OCR (1 and 2) and fines content (Fc = 0%, 20% and 40%), 20% and 40%), considering two sample preparation methods (DFP and WD) on the undrained shear strength instability lines. It is observed from the plot that the slopes of instability lines (η) increases with the increase in the OCR (1 and 2) for the range of fines content and initial relative density under study (Dr = 52%). Moreover, the samples reconstituted using DFP are more stable and dilatant than those prepared using WD (slopes of the instability lines of dry funnel pluviated samples are greater than those of wet deposited samples). The results of this research work are in good agreement with the findings of [15, 16]; thus, they stated that DFP method appeared to exhibit a more dilative character or stable samples, whilst WD method appeared to induce a more contractive response or unstable samples. Moreover, it can be observed from Figure 15 that the slope of the instability lines (η) decreases with the increase in fines content for dry funnel pluviated samples and the inverse tendency was observed in the case of wet deposited samples.

Instability and steady-state lines of Chlef sand–silt mixtures = (Dr = 52%): (a) Fc = 0%, (b) Fc = 20% and(c) Fc = 40%.
For the purpose of analysing the effects of the presence of the low plastic fines fraction and depositional methods (DFP and WD) on the instability friction angle (ϕ’ins) of normally consolidated and overconsolidated sand–silt mixture samples (OCR = 1 and 2) reconstituted with an initial relative density Dr = 52%, Figure 16 reproduces the test results obtained from the current study. It is clear from the plots that the instability friction angle decreases linearly with the increase in the fines content (0% ≤ Fc ≤ 40%) in the case of the dry funnel deposited samples. However, the inverse tendency was observed in the case of wet deposited samples. The observed instability friction angle trend is a result of the fact that the low plastic fines in combination with DFP and WD sample preparation techniques induce contractive and dilative character to the sand–silt mixture, respectively. The influence of the OCR on the ϕ’ins is clearly observed for both depositional methods (DFP and WD). Moreover, it is clearly observed that the instability friction angle increases with the increase in the OCR for a given fines content. The following expressions are suggested to express instability friction angle (ϕ’ins) in terms of fines content (Fc) for the range of the OCR under study by considering the two methods (DFP and WD):

Instability friction angles versus fines content of sand–silt mixtures (Dr = 52%): (a) OCR = 1 and (b) OCR = 2.
Table 4 illustrates the coefficients a and b and the corresponding coefficient of determination (R2) for the selected material under consideration.
Coefficients a, b and R2 for equation (2).
| Methods | DFP | WD | ||
|---|---|---|---|---|
| OCR | 1 | 2 | 1 | 2 |
| a | 44.08 | 47.44 | 31.72 | 36.19 |
| b | –0.21 | –0.20 | 0.11 | 0.03 |
| R2 | 0.80 | 0.99 | 0.93 | 0.83 |
Figure 17 shows the variation of the DFP instability friction angle (ϕ’ins_DFP) versus WD friction angle (ϕ’ins_WD) of sand–silt mixture samples. It can be observed that the DFP instability friction angle decreases linearly with the increase in WD friction angle. For selected OCRs, the ϕ’ins_DEP correlates very well (R2 = 0.76 for OCR = 1 and R2 = 0.95 for OCR = 2) with the ϕ’ins_WD within the range of fines content (0% ≤ Fc ≤ 40%) under consideration. The instability friction angles of both DFP and WD increase with the increase in OCR (1 and 2). The following expression is suggested to correlate the DFP instability friction angle (ϕ’ins_DFP) as a function of the WD friction angle (ϕ’ins_WD) for the range of the OCR (1 ≤ OCR ≤ 2) under study:

DFP instability friction angle versus WD friction angle of Chlef sand–silt mixtures (Dr = 52%).
Table 5 illustrates the coefficients a and b and the corresponding coefficient of determination (R2) for the selected material under consideration.
Figure 18 shows the variation of the overconsolidated instability friction angle (ϕ’ins_OC) versus the normally consolidated instability friction angle (ϕ’ins_NC) of Chlef sand–silt mixtures for both sample preparation techniques under consideration (DFP and WD). The samples were reconstituted with an initial relative density Dr = 52%. It can be noted from Figure 18 that the overconsolidated dry funnel pluviated sample’s instability friction angle increases linearly with the increase in the normally consolidated dry funnel pluviated sample’s instability friction angle for the range of fines content tested. However, the reverse trend was observed in the case of wet deposited sand–silt mixture samples. The WD sample reconstitution technique appears to produce important variation in the instability friction angle for the different tested OCR (1 and 2) and range of fines content (Fc = 0%, 20% and 40%) in comparison to the dry pluviation sample reconstitution technique. The following equation is suggested to express the overconsolidated instability friction angle (ϕ’ins_OC) as a function of the normally consolidated instability friction angle (ϕ’ins_NC) for both sample preparation techniques (DFP and WD):

Overconsolidated instability friction angle versus normally consolidated friction angle of sand–silt mixtures (Dr = 52%).
Table 6 illustrates the coefficients a and b and the corresponding coefficient of determination (R2) for the selected material under consideration.
Figure 19 illustrates the evolution of the instability friction angle of the sand–silt mixtures with the instability friction angle of the clean sand for the two samples preparation techniques (DFP and WD) under consideration. It is observed from the plot that the instability friction angle of the sand–silt mixture increases with the increase in the instability friction angle of the clean sand for the two fines contens (Fc = 0% and 40%) and the range of OCR (1 and 2), considering the two sample depositional techniques under study (DFP and WD). The dry funnel pluviated and wet deposited samples are clearly affected by the presence of low plastic fines. However, the slope of DFP instabiliy friction angle of sand–silt mixtures versus DFP instability friction angle of clean sand is higher than that of WD instabiliy friction angle of sand–silt mixtures versus WD instability friction angle of clean sand.

Instability friction angle of sand–silt mixtures versus instability friction angle of sand (Dr = 52%).
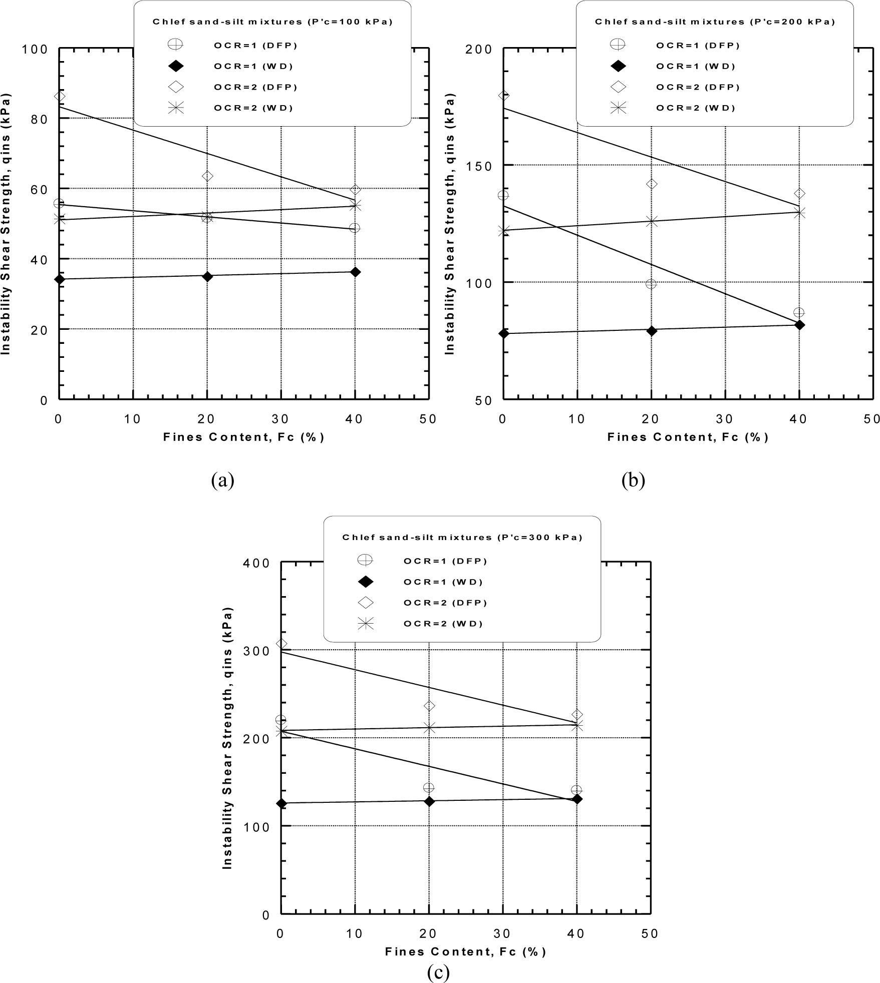
Data from the present study (Figures 7–14) are reproduced in Figure 20 for the purpose of analysing the effects of the OCR (1, 2, 4 and 8), low plastic silty fines content (Fc = 0%, 20% and 40%) and sample fabric (DFP and WD) on the instability shear strength (qins) of sand–silt mixtures. The samples were subjected to three confining pressures (P’c = 100, 200 and 300 kPa). It is observed from the plot that the instability shear strength (qins) generally decreases linearly with the increase in the fines content (0% ≤ Fc ≤ 40%) for the range of the OCR (1 and 2) and confining pressure under consideration in the case of the DFP. However, the reverse trend was observed in the case of WD. The observed instability shear strength tendency results is due to the fact that the low plastic fines in combination with DFP and WD induce contractive and dilative character to the sand–silt mixture, respectively. The influence of the OCR on the instability shear strength (qins) is clearly observed for the overconsolidated samples reconstituted by both depositional methods and fines content. Moreover, it can be observed that the instability shear strength increases with the increase in the OCR for a given fines content for both methods (DFP and WD) and all the confining pressures under study. The observed trend results from the role of the overconsolidation to increase the particle interlocking because of the existence of smaller silt particles between larger sand particles and the dilation phase of the sand–silt mixtures, leading to a more stable structure of the samples. It also shows that instability shear strength increases with the increase in confining pressure. The following equation is proposed to express the instability shear strength (qins) as a function of the fines content (Fc):

Instability shear strength of sand–silt mixtures versus fines content (Dr = 52%): (a) P’c = 100 kPa;(b) P’c = 200 kPa; (c) P’c = 300 kPa.
Table 7 illustrates the coefficients a and b and the corresponding coefficient of determination (R2) for the selected material under consideration.
Coefficients a, b and R2 for equation (5).
| P’c (kPa) | 100 | 200 | 300 | ||||||||||
|---|---|---|---|---|---|---|---|---|---|---|---|---|---|
| Method | DFP | WD | DFP | WD | DFP | WD | |||||||
| OCR | 1 | 2 | 1 | 2 | 1 | 2 | 1 | 2 | 1 | 2 | 1 | 2 | |
| a | 55.4 | 83.2 | 34.2 | 51.0 | 132.5 | 174.2 | 78.0 | 122.1 | 207.3 | 297.3 | 125.9 | 208.3 | |
| b | –0.17 | –0.66 | 0.05 | 0.097 | –1.25 | –1.04 | 0.09 | 0.19 | –1.99 | –2.01 | 0.13 | 0.16 | |
| R2 | 0.99 | 0.86 | 0.98 | 0.87 | 0.92 | 0.82 | 0.95 | 0.99 | 0.78 | 0.84 | 0.99 | 0.98 |
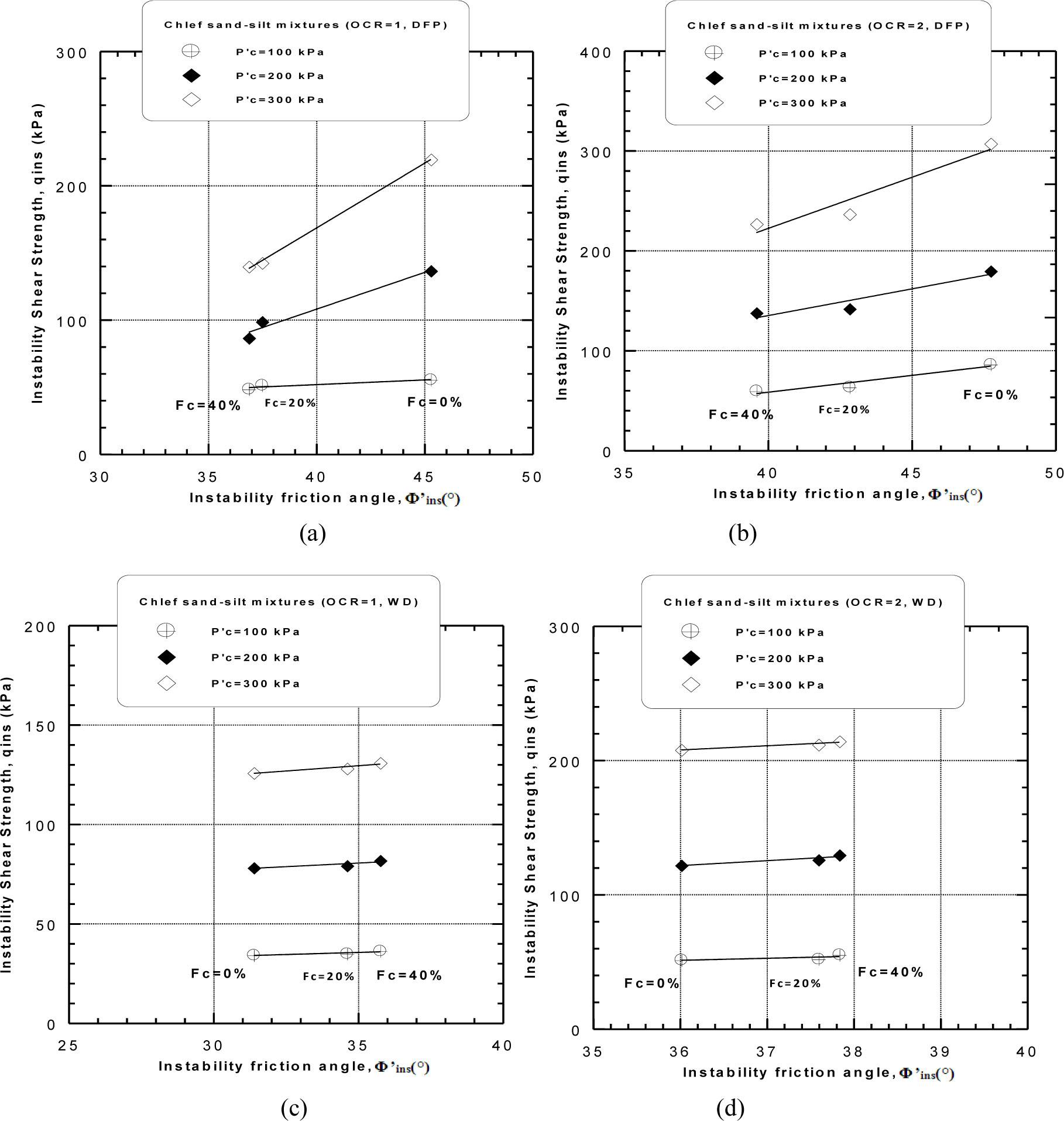
Figure 21 presents the variation of the instability shear strength (qins) as a function of the instability friction angle (ϕ’ins) of normally consolidated and overconsolidated sand–silt mixtures reconstituted with DFP and WD at different fines content (Fc = 0%, 20% and 40%) and subjected to three confining pressures (P’c =100, 200 and 300 kPa). It is clear from Figure 21 that the instability shear strength (qins) increases as the instability friction angle increases (ϕ’ins) for both dry funnel pluviated and wet deposited samples and the range of confining pressures under study. This increase becomes very pronounced for samples reconstituted by DFP compared to samples reconstituted by WD. Moreover, it is observed that the instability shear strength and instability friction angle friction angle decrease with the increase in fines content (Fc = 0%, 20% and 40%) in the case of the dry funnel pluviated samples and the inverse tendency was observed for the wet deposited samples. The slope of DFP instability shear strength (qins = f(ϕ’ins)) is higher than the slope of the WD instability shear strength. The following equation is proposed to express the instability shear strength (qins) as a function of the instability friction angle (ϕ’ins):

Instability shear strength versus the instability friction angle of sand-silt mixtures (Dr = 52%): (a) OCR = 1, DFP; (b) OCR = 2, DFP; (c) OCR = 1, WD; (d) OCR = 2, WD.
Table 8 illustrates the coefficients a and b and the corresponding coefficient of determination (R2) for the selected material under consideration
Coefficients a, b and R2 for equation (6).
| Method | DFP | WD | ||||||||||
|---|---|---|---|---|---|---|---|---|---|---|---|---|
| OCR | 1 | 2 | 1 | 2 | ||||||||
| P’c (kPa) | 100 | 200 | 300 | 100 | 200 | 300 | 100 | 200 | 300 | 100 | 200 | 300 |
| a | 24.01 | 110.8 | 216.8 | 76.24 | 78.36 | 186.7 | 20.88 | 55.18 | 92.37 | –3.15 | 10.18 | 95.39 |
| b | 0.70 | 5.74 | 9.64 | 3.37 | 5.34 | 10.23 | 0.42 | 0.73 | 1.06 | 1.51 | 3.66 | 3.12 |
| R2 | 0.88 | 0.97 | 0.99 | 0.93 | 0.90 | 0.92 | 0.83 | 0.77 | 0.89 | 0.52 | 0.88 | 0.93 |
For the purpose of analysing the effect of the presence of the low plastic fines fraction and depositional method (DFP and WD) on the mobilised friction angle at instability lines (ϕs), Figure 22 reproduces the test results obtained from the current study. It is clear from the results that the mobilised friction angle at instability line (ϕs) decreases linearly with the increase in the fines content in the case of the dry funnel deposited samples. However, the reverse tendency was observed in the case of wet deposited samples. The observed mobilised friction angle trend results from the fact that the low plastic fines in combination with DFP and WD induce contractive and dilative character to the sand–silt mixture soil, respectively. The effect of the depositional methods (DFP and WD) on the mobilised friction angle at instability line (ϕs) is clearly observed for both OCR values (1 and 2) and that the mobilised friction angle increases with the increase in the OCR for a given fines content. The following expression is suggested to express the mobilised friction angle (sin ϕs) = 6*η / (3+η)) in terms of fines content (Fc) for the range of the OCR under study, considering the two sample preparation techniques (DFP and WD):

Mobilised friction angles versus fines content of sand–silt mixtures (Dr = 52%): (a) OCR = 1 and (b) OCR = 2.
Table 9 illustrates the coefficients a and b and the corresponding coefficient of determination (R2) for the selected material under consideration.
Coefficients a, b and R2 for equation (7).
| Methods | DFP | WD | ||
|---|---|---|---|---|
| OCR | 1 | 2 | 1 | 2 |
| a | 24.71 | 27.39 | 16.27 | 18.92 |
| b | – 0.15 | – 0.16 | 0.0 6 7 | 0.03 |
| R2 | 0.80 | 0.97 | 0.94 | 0.84 |
Figure 23 shows the relationship between the mobilised friction angle at instability lines (ϕs) and instability friction angle (ϕ’ins) of the different dry funnel pluviated and wet deposited samples reconstituted at an initial relative density Dr = 52%, considering at once all the initial applied parameters under study (sample reconstitution, fines content, overconsolidation ratio and confining pressure). As it can be observed from Figure 23, the mobilised friction angle increases linearly with the increase in the instability friction angle and a good linear relationship (R2 = 0.99) may represent their variation, confirming that both angles (mobilised friction angle or instability friction angle) are suitable for the mechanical response characterisation of sand–silt mixtures. The following equation is proposed to express the mobilised friction angle (ϕs) as a function of the instability friction angle (ϕ’ins):

Mobilised friction angles versus instability friction angle of Chlef sand–silt mixtures.
Figure 24 illustrates the instability friction angle versus the initial global void ratio at different fines content of normally consolidated and overconsolidated sand–silt mixtures prepared using DFP and WD. It is clear from Figure 24 that the dry pluviation instability friction angle decreases as the initial global void ratio decreases and fines content increases for up to 20%. Beyond 20% of fines content, the dry pluviation instability friction angle continues to decrease with the increase in the global void ratio and fines content for both OCR values (1 and 2. The tendency inverse was generally observed for WD instability friction angle variation. The global void ratio appears to be a parameter not as pertinent in sand–fines mixtures as in clean sands for characterising the mechanical response because of the fact that the decrease in the global void ratio and increase in the fines content induce a decrement in the undrained shear strength and instability friction angle.

Instability friction angles versus global void ratio: (a) OCR = 1 and (b) OCR = 2.
Data from the present study (Figures 7–14) are reproduced in Figure 25 for the purpose of analysing the effects of the intergranular void ratio and silty fines content on the instability friction angles of the dry funnel pluviated and wet deposited sand–silt mixture samples, considering the OCR parameter. It is observed from Figure 25 that instability friction angle decreases with the increase in the intergranular void ratio and fines content from 0% to 40 % for the both OCR values (1 and 2. However, the DFP instability friction angle variation with the intergranular void ratio is very significant for the range of fines content (Fc = 0–20%). The tendency inverse was observed in the case of the wet deposited samples, where the instability friction angle increases with the increase in intergranular void ratio of silty sand (Figure 25).

Instability friction angles versus intergranular void ratio: (a) OCR = 1 and (b) OCR = 2.
This article presents an experimental study including a series of saturated untrained monotonic triaxial tests to express the impact of depositional methods (DFP and WD), confining pressure, low plastic fines (Fc=0%, 20% and 40%) and OCR (1 and 2 on the instability shear strength behaviour of Chlef sand–silt reconstituted at a medium initial relative density of Dr = 52% and subjected to three confining pressures (P’c =100, 200 and 300 kPa). The following conclusions can be drawn:
- –
Undrained monotonic triaxial compression tests performed on reconstituted sand–silt mixture samples using two depositional methods (DFP and WD) showed that the low plastic fines, confining pressure and OCR control in a significant manner the instability friction angle and undrained instability shear strength of sand–silt mixture samples.
- –
The results from the instability lines, friction angles and shear strength indicate that the samples prepared with DFP are more stable than those prepared with WD. The DFP method gives rise to a more dilative or stable soil character, whilst the WD method exhibits more contractive or unstable behaviour method and that a complete static liquefaction cases of samples reconstituted with WD method were observed for the clean sand samples. The obtained results are in good agreement with the results of [4, 15, 16].
- –
The instability friction angle decreases with the increase in fines content for DFP for both the OCR values (1 and 2 under study. However, it decreases with the increase in fines content for the same OCR range. This results from the role of low plastic fines to increase the contractive and dilative character of sand–silt mixture samples prepared by DFP and WD, respectively, in a way that the low plastic silty fines make the soil structure more or less compressible and consequently decreases or increase the liquefaction resistance of overconsolidated samples reconstituted by DFP and WD, respectively.
- –
The instability shear strength of the sand–silt mixture samples increases with the increase in the OCR and confining pressure for both the DFP and WD methods. The effect of the OCR and confining pressure on the undrained shear strength is more significant for the DFP method in comparison to the WD.
- –
The obtained data demonstrated a good relationship between the mobilised friction angle at instability lines (ϕs) and instability friction angle (ϕ’ins) for all parameters under study (sample reconstitution, fines content, overconsolidation ratio and confining pressure). It can be characterising mechanical response of sand–silt mixtures as for use instability friction angle or mobilised friction angle.
- –
The global void ratio appears to be a parameter not as pertinent in sand fines mixtures as in clean sands for characterising the mechanical response because of the fact that the decrease in global void ratio and the increase in fines content induce a decrement in the instability friction angle and undrained shear strength. However, the DFP instability friction angle decreases with the increase in the intergranular void ratio and fines content from 0% to 40 % for the both the OCR values (1 and 2. The inverse tendency was observed in the case of the WD instability friction angle.