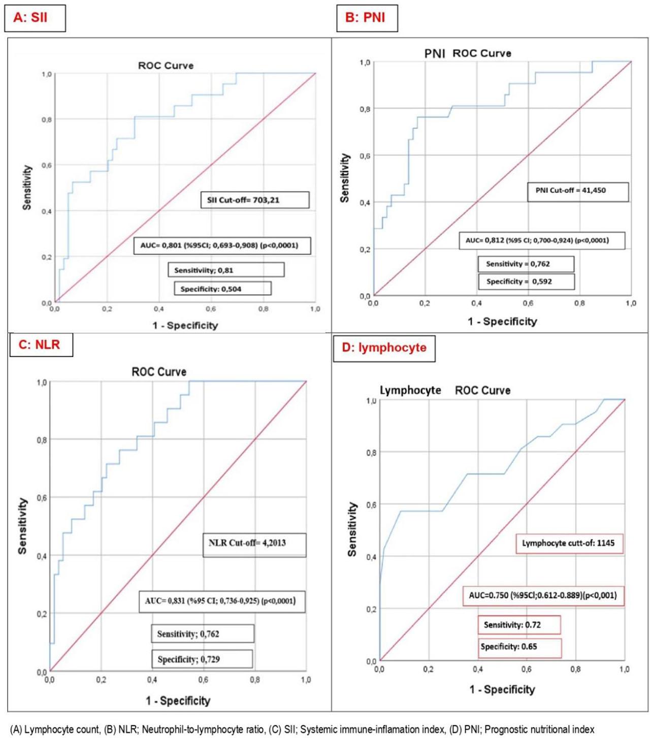
Figure 1.

Figure 2.

Relationship between hematological indices and mortality
| N | Mean | SD | p | |||
|---|---|---|---|---|---|---|
| Hemoglobin | survivor | 59 | 10.9 | 1.6 | 1.73¥ | 0.089 |
| non-survivor | 21 | 10.1 | 1.8 | |||
| total | 80 | 10.7 | 1.7 | |||
| Neutrophil | survivor | 59 | 5105.6 | 3915.3 | 361.5¶ | 0.005 |
| non-survivor | 21 | 6924.3 | 3221.3 | |||
| total | 80 | 5583.0 | 3811.9 | |||
| Lymphocyte | survivor | 59 | 1415.1 | 548.9 | 309.5¶ | 0.001 |
| non-survivor | 21 | 966.7 | 470.5 | |||
| total | 80 | 1297.4 | 562.8 | |||
| NLR | survivor | 59 | 3.92 | 3.15 | 210.0¶ | 0.001 |
| non-survivor | 21 | 9.12 | 6.80 | |||
| total | 80 | 5.28 | 4.93 | |||
| SII | survivor | 59 | 825.3 | 1180.9 | 247.0¶ | 0.001 |
| non-survivor | 21 | 2110.7 | 1952.5 | |||
| total | 80 | 1162.7 | 1520.8 | |||
| PNI | survivor | 59 | 45.88 | 5.52 | 5.41¥ | 0.001 |
| non-survivor | 21 | 37.59 | 7.3 | |||
| total | 80 | 43.7 | 7.03 | |||
| n | % | Cut-off | X2 | P | ||
| Lymphocyte categorical | survivor | 21 | 35.6 | <1145/mm3 | 8.04 | 0.005 |
| 38 | 64.4 | ≥1145/mm3 | ||||
| non-survivor | 15 | 71.4 | <1145/mm3 | |||
| 6 | 28.6 | ≥1145/mm3 | ||||
| NLR categorical | survivor | 43 | 72.9 | <4.2 | 15.54 | 0.001 |
| 16 | 27.1 | ≥4.2 | ||||
| non-survivor | 5 | 23.8 | <4.2 | |||
| 16 | 76.2 | ≥4.2 | ||||
| SII categorical | survivor | 41 | 69.5 | <703 | 16.01 | 0.001 |
| 18 | 30.5 | ≥703 | ||||
| non-survivor | 4 | 19.0 | <703 | |||
| 17 | 81.0 | ≥703 | ||||
| PNI categorical | survivor | 10 | 16.9 | <41.45 | 24.77 | 0.001 |
| 49 | 83.1 | ≥41.45 | ||||
| non-survivor | 16 | 76.2 | <41.45 | |||
| 10 | 23.8 | ≥41.45 |
Relationship between blood biochemical values and mortality
| Status | N | Mean | Total Mean | SD | p | ||
|---|---|---|---|---|---|---|---|
| Glucose (mg/dL) | Survivor | 59 | 128.98 | 131.2 | 52.6 | 585.5¶ | 0.710 |
| Non-survivor | 21 | 137.33 | |||||
| Creatinine (mg/dL) | Survivor | 59 | 7.85 | 7.30 | 2.4 | 3.7¥ | 0.001 |
| Non-survivor | 21 | 5.77 | |||||
| eGFR (mL/min/1.73m2) | Survivor | 59 | 7.53 | 8.09 | 3.5 | 382.5¶ | 0.009 |
| Non-survivor | 21 | 9.68 | |||||
| Sodium (mEq/L) | Survivor | 59 | 137.75 | 137.2 | 3.5 | 2.6¥ | 0.012 |
| Non-survivor | 21 | 135.52 | |||||
| Potassium (mEq/L) | Survivor | 59 | 4.74 | 4.7 | 0.7 | −0.08¥ | 0.931 |
| Non-survivor | 21 | 4.76 | |||||
| dCa (mg/dL) | Survivor | 59 | 8.57 | 8.6 | 0.7 | −0.3¥ | 0.775 |
| Non-survivor | 21 | 8.62 | |||||
| Phosphorus (mg/dL) | Survivor | 59 | 5.03 | 5.0 | 1.4 | 0.40¥ | 0.693 |
| Non-survivor | 21 | 4.89 | |||||
| CaxP | Survivor | 59 | 42.66 | 42.5 | 11.5 | 0.18¥ | 0.856 |
| Non-survivor | 21 | 42.13 | |||||
| Magnesium (mg/dL) | Survivor | 34 | 2.10 | 2.1 | 0.3 | 1.31¥ | 0.197 |
| Non-survivor | 21 | 2.00 | |||||
| LDH (U/L) | Survivor | 28 | 253.64 | 265.2 | 90.4 | 214.0¶ | 0.167 |
| Non-survivor | 20 | 281.25 | |||||
| Uric acid (mg/dL) | Survivor | 59 | 5.55 | 5.5 | 1.6 | 519.0¶ | 0.272 |
| Non-survivor | 21 | 5.16 | |||||
| BNP (ng/L) | Survivor | 23 | 11957.6 | 13500.2 | 13087.6 | 107.5¶ | 0.288 |
| Non-survivor | 12 | 16456.9 | |||||
| PTH (ng/L) | Survivor | 58 | 427.96 | 446.2 | 15.5 | 537.5¶ | 0.427 |
| Non-survivor | 21 | 447.92 | |||||
| Vitamin D (μg/L) | Survivor | 48 | 18.21 | 12.8 | 3.2 | 192.0¶ | 0.323 |
| Non-survivor | 10 | 14.67 | |||||
| HbA1C (%) | Survivor | 37 | 6.11 | 6.1 | 1.3 | 0.13¥ | 0.897 |
| Non-survivor | 20 | 6.07 | |||||
| Albumin (g/L) | Survivor | 59 | 38.8 | 37.2 | 5.8 | 3.86¥ | 0.001 |
| Non-survivor | 21 | 32.8 | |||||
| Ferritin (μg/L) | Survivor | 58 | 628.4 | 801.4 | 1107.7 | 559.0¶ | 0.579 |
| Non-survivor | 21 | 1279.2 | |||||
| CRP (mg/L) | Survivor | 59 | 18.8 | 44.3 | 76.5 | 230.5¶ | 0.001 |
| Non-survivor | 21 | 108.5 | |||||
| Kt/V | Survivor | 59 | 1.59 | 1.57 | 0.39 | 0.97¥ | 0.333 |
| Non-survivor | 21 | 1.50 |
Demographic characteristics, duration of hemodialysis and comorbidities
| status | N | Mean ±SD | Median(IQR) | t | P | ||
|---|---|---|---|---|---|---|---|
| Age | Total | 80 | 60.7±16.4 | −1.89 | 0.062 | ||
| Survivor | 59 | 58.6±16.6 | |||||
| Non-survivor | 21 | 66.4±14.6 | |||||
| BMI | Total | 80 | 25.2±5.0 | −0.47 | 0.637 | ||
| Survivor | 59 | 25.0±4.9 | |||||
| Non-survivor | 21 | 25.6±5.3 | |||||
| HD duration (months) | Total | 80 | 25.0 (9.75–83) | 838.5¶ | 0.895 | ||
| Survivor | 59 | 26.0 (9–84) | |||||
| Non-survivor | 21 | 24.0 (10–82) | |||||
| Blood pressure (mmHg) | Syst. | Total | 80 | 132.0±23.8 | 1.57 | 0.119 | |
| Survivor | 59 | 134.5±23.6 | |||||
| Non-survivor | 21 | 125.0±23.7 | |||||
| Diast. | Total | 80 | 77.4±12.2 | 0.34 | 0.735 | ||
| Survivor | 59 | 77.7±12.8 | |||||
| Non-survivor | 21 | 76.6±10.4 | |||||
| Gender | Male | Total | 56 | %70.0 | X2=6.79 | 0.009 | |
| Survivor | 46 | %82.1 | |||||
| Non-survivor | 10 | %17.9 | |||||
| Female | Total | 24 | %30.0 | ||||
| Survivor | 13 | %54.2 | |||||
| Non-survivor | 11 | %45.8 | |||||
| Vascular Acces | AVF | Survivor | 40 | %80.0 | X2=2.69 | 0.101 | |
| Non-survivor | 10 | %20.0 | |||||
| Kateter | Survivor | 19 | %63.3 | ||||
| Non-survivor | 11 | %36.7 | |||||
| Diabet | VAR | Survivor | 19 | %63,3 | X2=2.69 | 0.101 | |
| Non-survivor | 11 | %36.7 | |||||
| YOK | Survivor | 40 | %80.0 | ||||
| Non-survivor | 10 | %20.0 | |||||
| Hypertension | VAR | Survivor | 44 | %72.1 | X2=0.35 | 0.555 | |
| Non-survivor | 17 | %27.9 | |||||
| YOK | Survivor | 15 | %78.9 | ||||
| Non-survivor | 4 | %21.1 | |||||
| CAD | VAR | Survivor | 16 | %59.3 | X2=4.42 | 0.036 | |
| Non-survivor | 11 | %40.7 | |||||
| YOK | Survivor | 43 | %81.1 | ||||
| Non-survivor | 10 | %18.9 | |||||
| CHF | VAR | Survivor | 12 | %54.5 | X2=5.78 | 0.016 | |
| Non-survivor | 10 | %45.5 | |||||
| YOK | Survivor | 47 | %81 | ||||
| Non-survivor | 11 | %19 |
Independent variables predicting mortality in multiple logistic regression analysis
| B | S.E. | Wald | df | Sig. | Exp(B) | 95% C.I. for EXP(B) | ||
|---|---|---|---|---|---|---|---|---|
| Lower | Upper | |||||||
| Gender (E=2) | 2.033 | 0.967 | 4.420 | 1 | 0.036 | 7.640 | 1.148 | 50.87 |
| Diabetes (0) | −0.554 | 0.806 | 0.472 | 1 | 0.492 | 0.575 | 0.118 | 2.79 |
| CAD (0) | 1.568 | 1.029 | 2.319 | 1 | 0.128 | 4.795 | 0.638 | 36.06 |
| CHF (0) | 1.022 | 0.852 | 1.438 | 1 | 0.230 | 2.779 | 0.523 | 14.77 |
| Creatinine | −0.086 | 0.211 | 0.166 | 1 | 0.684 | 0.917 | 0.606 | 1.39 |
| Sodium | −0.034 | 0.097 | 0.123 | 1 | 0.726 | 0.967 | 0.799 | 1.17 |
| Magnesium | −0.695 | 1.292 | 0.289 | 1 | 0.591 | 0.499 | 0.040 | 6.28 |
| Hemoglobin | 0.157 | 0.221 | 0.504 | 1 | 0.478 | 1.170 | 0.758 | 1.81 |
| Vascular_Acces (1) | 0.693 | 0.781 | 0.788 | 1 | 0.375 | 2.000 | 0.433 | 9.24 |
| Albumin | −0.154 | 0.076 | 4.181 | 1 | 0.041 | 0.857 | 0.739 | 0.99 |
| Albumin Categorical (1) | 1.859 | 1.007 | 3.404 | 1 | 0.065 | 6.415 | 0.891 | 46.208 |
| NLR | 0.200 | 0.088 | 5.169 | 1 | 0.023 | 1.222 | 1.028 | 1.452 |
| NLR Categorical (1) | 2.346 | 0.938 | 6.259 | 1 | 0.012 | 10.442 | 1.662 | 65.607 |
| SII | 0.000 | 0.000 | 1.849 | 1 | 0.174 | 1.0 | 1.0 | 1.0 |
| SII Categorical (1) | 1.941 | 0.788 | 6.063 | 1 | 0.014 | 6.964 | 1.486 | 32.643 |
| PNI | −0.191 | 0.071 | 7.244 | 1 | 0.007 | 0.826 | 0.718 | 0.949 |
| PNI Categorical (1) | 3.532 | 1.166 | 9.178 | 1 | 0.002 | 34.176 | 3.479 | 335.72 |
| Lymphocyte | −0.004 | 0.002 | 6.166 | 1 | 0.013 | 0.996 | 0.993 | 0.999 |
| Lymph_Categorical(1) | 2.652 | 1.042 | 6.482 | 1 | 0.011 | 14.179 | 1.841 | 109.20 |
| Constant | 10.440 | 13.514 | 0.597 | 1 | 0.440 | 34214.988 | ||