Prostate cancer (PC) was one of the most common malignant tumors in men. PC therapy should theoretically benefit from hypofractionated radiotherapy (HFRT) due to its low α/β value which may be even lower than surrounding late-response tissues and organs.1, 2, 3 Our previous report had shown that HFRT was efficient and well tolerated in 67 PC patients with low incidences of severe acute toxicity complications.4
HFRT has gradually become the trend of treatment in many solid tumors, and its advantages, compared to conventionally fractionated radiation therapy (CFRT), are mainly reflected in higher level of biological effective dose (BED) with a lower total dose/fewer fractions, and shorter treatment course.3 Thus, without a significant increase of radiation related toxicities, it can effectively save medical resources and bring potential economic benefits. Studies evaluating HFRT regimen in prostate cancer reported that it was not inferior to conventional CFRT in efficacy and was not associated with increased late toxicity.5, 6
In addition, according to Roach et al.,7 in patients with a risk of lymph node (LN) involvement, due to the need of preventive irradiation for pelvic lymph nodes, simultaneous modulated accelerated radiation therapy is recognized as the most appropriate RT method. At present, two HFRT regimens, including moderate hypofractionation and ultra-hypofractionation, are applied to localized PC. Some randomized controlled trials (RCTs) have confirmed the safety and efficacy of moderate HFRT compared to CFRT, in particular comparable rate of grade ≥ 2 adverse events6 or grade ≥ 3 late genitourinary and gastrointestinal toxicity.8 However, few results from RCTs are available to support the application of ultra-hypofractionation in high-risk tumors.
Based on the foregoing, the aim of our study was to compare the long-term outcomes and toxicities between the moderate HFRT regimens and to further investigate the feasibility of shorter-duration, moderate HFRT for high-risk prostate cancer. After > 7 years follow-up, in this paper we report treatment outcomes and late toxicities.
This was a single center, prospective, phase I– II clinical trial (registered number: ChiCTR-ONC-13004037) in Medical School of Chinese PLA designed to investigate the non-inferiority of two moderate HFRT dose models. All patients were recruited in chronological order, 33 and 34 patients were consecutively recruited from February 2009 to July 2011, July 2011 to February 2014 as Group-1 and Group-2, and were treated on helical tomotherapy with 76 Gy in 34 fractions (2.24 Gy/F) for 49.1 days and 71.6 Gy in 28 fractions (2.56 Gy/F) for 40.5 days on average, respectively. With calculated by the Roach formula7 lymph node involvement (LNI) risk > 15%, 25 patients in Group-2 received elective lymph node irradiation according to Radiation Therapy Oncology Group (RTOG) Trial #9413, while 23 patients in Group-1 did not.9 According to the NCCN guideline 2014, patients in both groups with intermediate or higher risk received neoadjuvant androgen deprivation therapy (ADT) for 3 months and concurrent ADT with RT, after which patients with high risk or very high risk continued ADT for a total duration of 2 to 3 years.
Eligible patients were older than 65 years and had biopsy-proven prostate adenocarcinoma (cT1c–4N0M0, stage I–IIIC) with ECOG performance status of 0–2. Clinical staging was adopted according to the American Joint Committee on Cancer (AJCC) 2009 staging system.10, 11 Exclusion criteria comprise distant metastasis, lymph node involvement, previous prostate surgical operation, previous pelvic radiation therapy, active collagen vascular disease, active inflammatory bowel disease or hip prosthesis.
The authors are accountable for all aspects of the work in ensuring that questions related to the accuracy or integrity of any part of the work are appropriately investigated and resolved. The trial was conducted in accordance with the Declaration of Helsinki (as revised in 2013). The study was approved by ethics board of the Chinese PLA General Hospital (No. S2013-109-02) and informed consent was taken from all individual participants.
All patients underwent computed tomography (CT) scan in the treatment position (supine, arms crossed on forehead, and immobilized by thermoplastic mask). Contrast-enhanced axial images were obtained from the lower level of L3 to proximal femur at 3-mm intervals. A single-phase treatment plan was generated by the workstation of the TomoTherapy Hi-Art Treatment System (Accuray, Sunnyvalle, CA, USA) using plain CT images. Details of plan designing and dose-volume constraints for organs at risk (OARs) referred to our previous article.4
The dose-volume constraints for OARs in Group-1 were as follows: 1) femoral head V50 = 0%; 2) bladder and rectum V40 ≤ 40%; 3) bladder and rectum V65 ≤ 20%. In Group-2, the dose-volume constraints for OARs were: 1) femoral head V50 = 10%; 2) bladder and rectum V40 ≤ 40%; 3) bladder and rectum V60 ≤ 20%. BED3 in both groups reached 132.7 Gy (α/β = 3 Gy). The plan required that the prescription dose covers at least 95% of the PTV. A field width of 2.5 cm was used for all patients.

Consort diagram of the trial.
The target volumes and OARs were contoured by the same group of radiation oncologists. Physicists in the same group designed and verified the treatment plans. The plans were delivered after having been approved by senior radiation oncologists.
Physician-reported toxicity was prospectively evaluated after treatment and at each follow-up visit. Late toxicity of genitourinary (GU) and gastrointestinal (GI) were defined as highest level of toxicity appearing more than 6 months from start of radiotherapy. Toxicities were evaluated according to the established RTOG and European Organization for Research on Treatment of Cancer (EORTC) scale.12
The main primary outcomes were biochemical failure (BF), biochemical failure and clinical disease failure (BCDF) recorded from the beginning of radiotherapy to BCDF, progression-free survival (PFS) and overall survival (OS). Clinical evaluation and PSA measurement were scheduled every 3 to 4 months in the first 2 years and twice a year thereafter, follow-up through outpatient or telephone. The clinical failure was either local or distant failure, defined as detection of tumor recurrence and metastases by CT, MRI, bone scan, or ultrasound examinations. Biochemical failure (BF) (with an accuracy of > 80% for clinical failure) was defined as any PSA increase > 2 ng/mL higher than the PSA nadir value, regardless of the serum concentration of the nadir according to RTOG and American Society for Radiation Oncology (ASTRO) Phoenix Consensus Conference.6 Additional primary outcomes were late toxicity of GU and GI. The secondary outcomes were biochemical failure free survival (BFFS) and prostate cancer specific survival (PCSS), all recorded from the beginning of radiotherapy to death.13
Categorial data and ranked data were described as number (percentage), and comparisons between two groups were determined by the Chi-square test, Fisher’s exact test or Mann-Whitney test. Continuous data conformed to normal distribution were described as mean and standard deviation (SD), and their comparisons were determined by t-test. Non-normally distributed data were expressed as median (range), and compared by Mann-Whitney test. The Kaplan-Meier method was used to estimate event rates of PFS, BFFS, PCSS, OS, grade 2 or higher GU and GI toxicity and the log-rank test was used to compare treatment groups. The Cox proportional hazards model was used for multivariate analysis to identify potential factors of OS and PFS by forward stepwise including factors in univariate analysis (age, initial PSA, Gleason score, clinical T stage, risk classification, lymph node involvement radiotherapy). Toxicity events were compared using chi-square or Fisher’s exact tests where appropriate.
Efficacy analysis was performed by full analysis set (FAS), which consisted of 67 patients who actually received moderate hypo-fractionated radiotherapy. There were three patients lost to follow-up (one in Group-1 and two in Group-2), 64 patients with complete safety data were included in safety set (SS).
All data analyses were performed using SPSS 24.0 (IBM, Armonk, NY, USA). A value of p < 0.05 was considered statistically significant.
From February 2009 to February 2014, a total of 72 patients were recruited in chronological order. The 4 patients were ineligible and 1 patient technically unsuitable. The 33 and 34 patients were allocated to Group-1 and Group-2, with mean age before the beginning of treatment of 79.7 ± 3.9 and 77.3 ± 5.1 years old (p = 0.284), respectively. The 3 (9.1%) and 7 (20.5%) patients were diagnosed with AJCC T stage > 3 (p = 0.121), and 26 (78.8%) and 28 (82.4%) patients were diagnosed with intermediate- or high-risk tumor (p = 0.204), in Group-1 and Group-2 respectively. The detailed baseline characteristics of patients are shown in Table 1. Group-1 had longer time of radiotherapy treatment (6.8 ± 0.4 vs. 5.8 ± 0.5 weeks, p<0.001). 25 (73.5%) patients with LNI > 15% in Group-2 received additional elective lymph node irradiation. At the time of our last follow-up, the median follow-up time reached 8.9 (1.5–11.4) and 6.8 (2.6–8.4) years, in Group-1 and Group-2 respectively (p = 0.002). There were 3 patients lost to follow-up (1 in Group-1 and 2 in Group-2) and the trial consort diagram is shown in Figure 1.

Kaplan-Meier curves of (A) progression-free survival (PFS), (B) biochemical failure free survival (BFFS), (C) prostate cancer specific survival (PCSS), and (D) overall survival (OS) in patients received hypofractionated radiation therapy (HFRT).
Demographic characteristics of patients and baseline risk assessment
| Characteristics | Full analysis set | ||
|---|---|---|---|
| Group-1 (76.0 Gy/34 F, N = 33) | Group-2 (71.6 Gy/28 F, N = 34) | p-value | |
| Age, y (mean ± SD) | 79.7 ± 3.9 | 77.3 ± 5.1 | 0.284 |
| Median time of follow-up, y (range) | 8.9 (1.5–11.4) | 6.8 (2.6–8.4) | 0.002 |
| AJCC T stage, no. (%) | 0.121 | ||
| T1c/T1x | 1 (3.0) | 0 | |
| T2a/T2b/T2c/T2x | 29 (87.9) | 27 (79.4) | |
| T3a/T3b/T3x | 3 (9.1) | 6 (17.6) | |
| T4 | 0 | 1 (2.9) | |
| Risk stage, no. (%) | 0.204 | ||
| low risk | 3 (9.1) | 1 (2.9) | |
| intermediate risk | 11 (33.3) | 10 (29.4) | |
| high risk | 15 (45.5) | 18 (53.0) | |
| very high risk | 4 (12.1) | 5 (14.7) | |
| Gleason score, no. (%) | 0.775 | ||
| 5–6 | 12 (36.4) | 13 (38.2) | |
| 7 | 10 (30.3) | 13 (38.2) | |
| 8–9 | 8 (24.2) | 5 (14.7) | |
| unknown | 3 (9.1) | 3 (8.8) | |
| Pre-treatment PSA, no. (%) | 0.442 | ||
| < 10 ng/mL | 11 (33.3) | 7 (20.6) | |
| 10–20 ng/mL | 8(24.2) | 8 (23.5) | |
| > 20 ng/mL | 14 (42.4) | 19 (55.9) | |
| Comorbidity | |||
| Diabetes | 4 (12%) | 3 (8.8%) | 0.659 |
| Hypertension | 7 (21.2%) | 8 (23.5%) | 0.820 |
| Symptomatic haemorrhoids | 3 (9.1%) | 1 (2.9%) | 0.288 |
| Intended androgen deprivation therapy | 0.288 | ||
| LHRH plus short-term AA | 30 (90.9%) | 33 (97.1%) | |
| Other | 3 (9.1%) | 1 (2.9%) | |
| Radiotherapy (mean ± SD) treatment time, w | 6.8 ± 0.4 | 5.8 ± 0.5 | < 0.001 |
| Result by Roach formula, no. (%) | 0.791 | ||
| > 15% | 23 (69.7) | 25 (73.5) | |
| ≤ 15% | 10 (30.3) | 9 (26.5) | |
| Elective (%) lymph node irradiation, no. | 0 | 25 (73.5) | |
Data are presented as mean ± SD or median (range), categorial data are described as number (percentage).
AA = anti-androgen; AJCC = American Joint Committee on Cancer; F = fractions; LHRH = luteinising-hormone-releasing hormone; PSA = prostate-specific antigen; y = year
At last follow-up, out of 67 patients, 16 (23.9%) cases experienced BF: 9 (27.3%) in Group-1 and 7 (20.6%) in Group-2 (Table 2), with a median time until BF of 3.3 years; 9 patients with BF eventually progressed to clinical failure (5 with bone metastases, 1 with lung metastases, 2 with lung and bone metastases, and 1 with local recurrence combined with lung and bone metastases), and no regional recurrence was observed. A total of 26 (38.8%) patients reached primary endpoints, in which 18 deaths were reported BCDF events without statistical difference between the two groups (45.5% vs. 32.4%, p = 0.271). Out of all deaths, there were only 5 cases (27.8%) who died of PC (3 in Group-1, and 2 in Group-2, p = 0.638), and 13 cases (72.2%) who died of non-prostate cancer (nPC) related diseases (9 in Group-1, and 4 in Group-2, p = 0.213). The most common nPC cause of death was pneumonia (6 cases). Other causes of death included cardiovascular and cerebrovascular accidents (4 cases), second primary tumor (1 case with lung cancer, and 1 case with oral cancer) and multiple organ failure (1 case). The median survival time in patients died of nPC related diseases was 5.2 years (6.0 years in Group-1, and 5.0 years in Group-2), almost the same as the patients with BF whose median survival time was 5.0 years (5.1 years in Group-1, and 5.0 years in Group-2).
Survival analysis of PC patients according to the data obtained during the last follow-up
| Measures | Events at 7 years | |||
|---|---|---|---|---|
| Total (n = 67) | Group-1 (n = 33) | Group-2 (n = 34) | p-value | |
| Full analysis set | ||||
| BF, no. (%) | 16 (23.9) | 9 (27.3) | 7 (20.6) | 0.521 |
| BCDF, no. (%) | 26 (38.8) | 15 (45.5) | 11 (32.4) | 0.271 |
| Overall deaths, no. (%) | 18 (26.9) | 12 (36.4) | 6 (17.6) | 0.164 |
| Deaths of PC in overall death, no. (%) | 5 (27.8) | 3 (25.0) | 2 (33.3) | 0.638 |
| nPC deaths, no. (%) | 13 (72.2) | 9 (75.0) | 4 (66.7) | 0.213 |
| PFS, % | 71.6 | 68.6 | 74.8 | 0.591 |
| BFFS, % | 77.6 | 74.0 | 80.3 | 0.915 |
| PCSS, % | 91.9 | 89.9 | 93.8 | 0.605 |
| OS, % | 77.0 | 71.9 | 87.5 | 0.376 |
| Total (n = 48) | Group-1 (n = 23) | Group-2 (n = 25) | p-value | |
|---|---|---|---|---|
| Subgroup analysis (LNI > 15%) | ||||
| BF, no. (%) | 15 (31.3) | 9 (39.1) | 6 (24.0) | 0.259 |
| BCDF, no. (%) | 21 (43.8) | 12 (52.1) | 9 (36.0) | 0.259 |
| Overall deaths, no. (%) | 14 (29.2) | 9 (39.1) | 5 (20.0) | 0.145 |
| Deaths of PC in overall death, no. (%) | 5 (10.4) | 3 (13.0) | 2 (8.0) | 0.568 |
| nPC deaths, no. (%) | 9 (18.8) | 6 (26.1) | 3 (12.0) | 0.212 |
| PFS, % | 61.7 | 58.7 | 60.1 | 0.667 |
| BFFS, % | 62.6 | 56.4 | 57.3 | 0.643 |
| PCSS, % | 88.3 | 85.1 | 91.3 | 0.552 |
| OS, % | 72.0 | 63.6 | 70.8 | 0.433 |
Categorial data are described as number (percentage).
BCDF = biochemical and clinical disease failure; BF = biochemical failure; BFFS = biochemical failure free survival; OS = overall survival; PC = prostate cancer; PCSS = prostate cancer specific survival; PFS = progression-free survival; nPC = non-prostate cancer
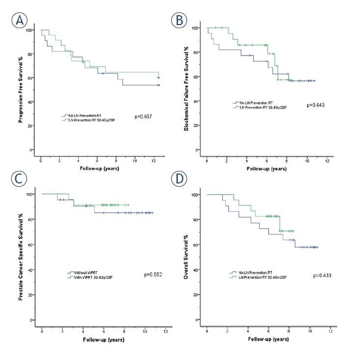
The primary endpoint of 7-year PFS (71.6% for all) showed no significant differences between the two groups (68.6% vs. 74.8%, p = 0.591) (Figure 2 and Table 2). The 7-year BFFS, PCSS, and OS for all the patients were 77.6%, 91.9%, and 77.0%, respectively, without significant differences between the two groups (BFFS: 74.0% vs. 80.3%, p = 0.915; PCSS: 89.9% vs. 93.8%, p = 0.605; OS: 71.9% vs. 87.5%, p = 0.376). For patients with LNI risk > 15%, the 7-year PFS and OS was 58.7% and 63.6% in Group-1, and 60.1% and 70.8% in Group-2, respectively, without significant differences between the two groups (p = 0.667 and 0.433, respectively) (Figure 3 and Table 2).

Kaplan-Meier curves of (A) progression-free survival (PFS), (B) biochemical failure free survival (BFFS), (C) prostate cancer specific survival (PCSS), and (D) overall survival (OS) in patients with pelvic lymph nodes involvement (LNI) risk > 15% in Group-1 who had no elective pelvic node irradiation (blue line), and in Group-2 who had an irradiation of 50.4 Gy/28 fractions (F) (green line).
In the multivariate analysis for OS (Table 3), prognostic factors including hypofractionation mode (76 Gy / 71.6 Gy), age (> 80y / ≤ 80y), pretreatment PSA level, Gleason score (≥ 8 / < 8), cT stage (cT3b–4 / cT1–3a), risk level (high and very high / low and intermediate) and LNI risk by Roach formula (> 15% / ≤ 15%) were routinely considered as covariates, but none of them affected OS (Table 3). As for PFS, multivariate analysis showed that AJCC T stage > 3 was an independent prognostic factor (HR 0.197, 95% CI 0.065–0.594, p = 0.004).
Univariate and multivariate analysis for OS, PFS
| Factor | Univariate analysis | Multivariate analysis | ||||
|---|---|---|---|---|---|---|
| HR | 95% CI | p-value | HR | 95% CI | p-value | |
| OS | ||||||
| HFRT regimens | 0.846 | 0.083–2.286 | 0.326 | 1.681 | 0.533–5.305 | 0.375 |
| Age > 80y | 0.631 | 0.170–2.021 | 0.398 | 0.536 | 0.161–1.786 | 0.310 |
| iPSA > 20ng/ml | 1.151 | 0.088–8.015 | 0.880 | 1.008 | 0.992–1.025 | 0.303 |
| Gleason ≥ 8 | 0.835 | 0.177–4.670 | 0.908 | 0.885 | 0.252–3.104 | 0.849 |
| T > 3b | 1.062 | 0.219–14.069 | 0.596 | 2.941 | 0.505–17.137 | 0.230 |
| High and very high risk | 1.340 | 0.072–13.742 | 0.996 | 0.875 | 0.196–3.904 | 0.861 |
| Roach > 15% | 0.787 | 0.426–9.305 | 0.381 | 5.581 | 0.623–49.969 | 0.124 |
| RT time > 42 d | 0.883 | 0.218–6.949 | 0.813 | 0.267 | - | 0.605 |
| PFS | ||||||
| HFRT regimens | 1.843 | 0.347–9.794 | 0.473 | 1.659 | - | 0.198 |
| Age > 80y | 1.224 | 0.371–4.035 | 0.740 | 0.517 | - | 0.472 |
| iPSA > 20ng/ml | 0.331 | 0.023–4.806 | 0.418 | 0.277 | - | 0.598 |
| Gleason ≥ 8 | 0.749 | 0.140–4.001 | 0.735 | 0.851 | - | 0.356 |
| T > 3b | 0.119 | 0.010–1.363 | 0.087 | 0.197 | 0.065–0.594 | 0.004 |
| High and very high risk | 2.639 | 0.135–51.718 | 0.523 | 0.169 | - | 0.681 |
| Roach > 15% | 0.660 | 0.156–2.796 | 0.837 | 1.075 | - | 0.300 |
| RT time > 42 d | 0.832 | 0.144–4.807 | 0.324 | 0.257 | - | 0.605 |
Data are presented as HR with 95% CI.
CI = confidence interval; cT stage = clinical T stage; GS = Gleason score; HFRT = hypofractionated radiotherapy; HR = hazard ratio; iPSA = initial (pretreatment) prostate-specific antigen; OS = overall survival; RT = radiotherapy; PFS = progression-free survival.
Late toxicities of GU and GI were still the most common side effects in PC patients after radiation therapy. Both groups showed very low incidences of severe late GU and GI toxicities after a median follow-up of 7.2 years. The incidence of 7-year grade ≥ 2 late GU toxicities was 2 (6.2%) and 2 (6.3%) in Group-1 and -2, respectively. The grade 3 or 4 late GI toxicities were detected in 3 (9.4%) cases in Group-1 and 5 (15.6%) cases in Group-2. The difference in the incidences of GU and GI toxicities between the two groups was not statistically significant (p = 0.127 for GU, 0.554 for GI) (Table 4). No other late toxicities or radiation induced secondary tumors were detected.
Late genitourinary and gastrointestinal toxicities after a median follow-up of 7.2 years
| Toxicity | Safety set | ||
|---|---|---|---|
| Group-1 (n = 32) | Group-2 (n = 32) | p-value | |
| GU | 0.127 | ||
| Grade 0 | 15 (46.9%) | 17 (53.1%) | |
| Grade 1 | 15 (46.9%) | 13 (40.6%) | |
| Grade 2 | 1 (3.1%) | 0 | |
| Grade 3 or 4 | 1 (3.1%) | 2 (6.3%) | |
| GI | 0.554 | ||
| Grade 0 | 24 (75.0%) | 24 (75.0%) | |
| Grade 1 | 5 (15.6%) | 3 (9.4%) | |
| Grade 2 | 3 (9.4%) | 2 (6.2%) | |
| Grade 3 or 4 | 0 (0%) | 3 (9.4%) | |
GI = gastrointestinal; GU = genitourinary
This nonrandomized, single center, prospective Phase I–II trial showed that older patients with localized prostate cancer treated with 76 Gy/34F or 71.6 Gy/28F both had similar PFS, BFFS, PCSS, and OS for more than 7 years follow-up. Two moderate hypofractionated therapy regimens shared mild high-grade late GU and GI toxicities, indicating well toleration. For the risk of pelvic lymph nodes involvement (LNI) > 15%, 50.4 Gy/25F prophylactic pelvic node irradiation showed no difference in PFS, BFFS, PCSS and OS, compared to similar risk patients who did not undergo further treatment.
It is well known that local control of malignant tumors can be improved by increasing the BED, which is usually related to three factors: total dose, fractionated dose and total treatment time. In the 1990s, under the background of two-dimensional (2D) radiation therapy and three-dimensional conformal radiotherapy (3DCRT), increasing the total dose became a hotspot of research, and there were also studies on dose-escalated radiation therapy in PC patients. Many studies had confirmed that increasing the prescription dose to 78–80 Gy in conventional fraction could significantly improve BFFS and reduce PC-related mortality.14, 15, 16 According to the National Comprehensive Cancer Network (NCCN) guidelines of 2005, the prescription dose for low-risk patients should reach to 70– 75 Gy, while for patients with intermediate- and high-risk that should be up to 75–80 Gy in conventional fraction.17 However, as the dose was further increased, the incidence of severe GU and GI toxicities would increase significantly, which limited the benefit from dose-escalation with CFRT. In the Dutch multicenter phase III study5, the cumulative incidence of ≥ grade 2 GI toxicities was 35% in the 78 Gy group and 25% in the 68 Gy group (p = 0.04). MRC RT01 multicenter phase III study18 in UK confirmed that the incidence of late bowel toxicity in the 74 Gy group was higher than that in the 64 Gy group (33% vs. 24%) according to the RTOG (grade ≥ 2) scale within 5 years from starting treatment.
Intensity modulated radiation therapy (IMRT), developed on the basis of 3DCRT, can deliver a high dose to the target volume and effectively protect the surrounding OARs. RTOG-0126 study19, 20, which enrolled 1532 PC patients with intermediate-risk, confirmed that compared with 3DCRT, IMRT could significantly reduce ≥ grade 2 acute GU and GI toxicities. Univariate and multivariate analyses also showed a lower incidence of ≥ grade 2 late GI toxicities in IMRT group.21 Cahlon et al.22 increased the prescription dose to 86.4 Gy/48F (BED3 = 138.24 Gy) using IMRT technique and achieved excellent results. The incidence of ≥ grade 2 GI and GU toxicities was 3.8% and 15.1%, and the 5-year BFFS was 98%, 85% and 70% in the low-, intermediate-, and high-risk groups, respectively. In a meta-analysis published in 2009, Viani et al.23, 24 pointed out that prescription dose was directly proportional to biochemical control for patients with localized PC and high-dose radiation therapy was superior to conventional-dose radiation therapy. However, it was not easy to achieve high dose with 3DCRT technique, and IMRT showed its advantages.

Late grade ≥ 2 genitourinary and gastrointestinal toxicity-free survival in patients received hypofractionated radiation therapy (HFRT).
At the beginning of this century, many studies have shown lower α/β value of PC than many common cancers, even lower than late-responding tissues. Therefore, when the total dose remained the same, increasing fractionated dose could effectively kill PC cells, with limited increased toxicities. Based on this theory, studies of HFRT on prostate cancer became the hotspot from then till now.25 Arcangeli et al.26 first reported the long-term results of a phase III study. The 70-month BFFS in patients with high-risk PC in the HFRT group (62 Gy/20 F) and CFRT group (80 Gy/40 F) was 85% and 79% (p = 0.065), respectively. The 10-year BFFS was 72% in HFRT group and 65% in CFRT group (p = 0.148), and 95% and 88% for the 10-year PCSS (p = 0.066), respectively.27 Although no significant difference was detected between the two groups, the study revealed that hypofractionation was a significant prognostic factor for BFFS and PCSS. Kupelian et al.28, 29, 30 used IMRT technique with a prescription dose of 70 Gy at 2.5 Gy per fraction, and the initial results showed low incidence of adverse reaction without ≥ grade 2 late toxicities after 18 months follow-up. The 5-year BFFS was 82% (95% CI: 79%–85%) and the incidence of ≥ 2 grade late GI and GU toxicities was only 6% and 7%, respectively. In 2013, Pollack et al.31 first reported the results of a phase III trial using hyporfractionated IMRT technique, in which two fractionation regimens of 76 Gy/38 F and 70.2 Gy/26 F were compared. The 5-year BCDF was 21.4% and 23.3% (p = 0.745) without significant difference, and the incidence of late toxicities was similar in the two groups. The results were confirmed in the subsequent phase III trials (CHHiP, HYPRO, PROFIT and RTOG-0415).6,8,21,32 This study was a dose-escalating trial using two hypofractionation regimens (BED3 was more than 130 Gy, and BED1.5 was about 190 Gy), and the results were similar to the previously published literature in terms of late toxicities or survival, with the 7-year PFS, BFFS, PCSS, and OS for all the patients being 71.6%, 77.6%, 91.9%, and 77.0%, respectively, without significant differences between the two regimens. The meta-analysis of Yin et al.33, in which seven of 365 studies fulfilled inclusion criteria with 8156 participants, provided reliable evidence that moderate HFRT decreased BF rate, while did not improve OS. Compared with CFRT, HFRT with an increase in BED1.5 improved BFFS, and accordingly an increase in BED5 would result in elevated late GI and GU toxicities. Although those results did not show OS benefit from HFRT in PC patients, it is necessary to carry out more randomized trials with more samples and longer follow-up to achieve better prognosis for PC patients.
Another original intention of using HFRT for PC patients was to reduce GU and GI toxicities. In this study, we selected a scan thickness of 4 mm for IGRT, and only 0.015 Gy dose received by patients for each scanning, so even with daily image guidance, the cumulative dose was far less than actual prescription dose. After 7 years of follow-up, no radiation-induced second primary tumor was detected. Although different fractionation regimens, RT techniques, and evaluation systems had been used in different clinical trials, the results were not satisfactory. This may be associated with the special anatomical location of the prostate, which is close to bladder and rectum, and affected by the filling degree of the two organs. Because of the uncertainty of target location, high dose area would cover a certain volume of bladder and rectum. According to the traditional positioning methods, the CTV to PTV margin often required > 1cm, which would increase the incidence of adverse reactions. Relevant study suggested that reducing the CTV-PTV margin could reduce the normal tissue complications (NTCP) of rectum by up to 10%.34 Maund et al.35 showed that the reduction in NTCP for > 2 grade rectal toxicity of 0.7% corresponded with a 2 mm margin reduction for IMRT. Utsunomiya et al.36 used both IMRT and CTV-PTV margin reduction technique, and reported rectal NTCP < 5% when the dose was escalated from 70 to 78 Gy.
Three-dimensional image guidance technique is another revolutionary progress in radiation therapy (image-guided radiation therapy, IGRT). By monitoring and correcting deformation and displacement of the target and OARs, it provides effective help to improving irradiation accuracy and reducing the CTV-PTV margin. In a sub-study of CHHiP trial, 293 patients were secondly randomized and assigned to no-IGRT, IGRT-with standard CTV-PTV margins, or IGRT-with reduced CTV-PTV margins. Rectal and bladder dose-volume and surface percentages were significantly decreased by the reduction of CTV-PTV margins, and overall side effect profiles were acceptable in all groups but lowest with IGRT and reduced margins.37 In 2019, ESTRO ACROP (Advisory Committee on Radiation Oncology Practice) released the consensus guideline on the use of IGRT for localized PC, and daily on-line correction was preferred for CFRT and recommended in case of HFRT, with a reduction of the CTV-PTV margin to 4–6 mm. In this study, the TomoTherapy system had the image-guidance function with its MV-CT. Compared with KV-CT, the resolution of soft tissue was relatively poor, but the spatial resolution and the homogeneity of images were the same.38 With daily on-line image-guidance in our previous study, with a 5-mm margin in left-right and cranial-caudal directions, and a 3-mm margin in anterior-posterior direction, both the incidences of acute GU and GI toxicities were only 4.7%4, which was similar to the studies conducted by Murthy et al.39 and Schiller et al.40 using TomoTherapy system. Relevant studies and our data also showed that the imaging dose was generally between 0.01 Gy and 0.03 Gy, which significantly correlated with pitch and layer thickness.
At present, high-dose CFRT or moderate HFRT has been recognized as standard treatment for localized PC, but whether to perform pelvic lymph node irradiation for intermediate- or higher risk patients is still controversial. Since the Roach formula was used to clinically predict the probability of pelvic lymph node metastasis, most studies used LNI risk > 15% or > 30% as the reference value for preventive pelvic irradiation. Earlier retrospective studies all showed that intermediate- and high-risk patients could benefit from this irradiation. However, the level of evidence for these results was low due to differences in prescription dose, absence of ADT, and impact of confounding factors. Until now, there had been two phase III studies comparing results of either applying elective lymph node irradiation or not in patients with intermediate- and high-risk PC, and long-term follow-up results had been obtained. The GETUG-01 study41 showed that elective lymph node irradiation did not improve event-free survival or OS. The longterm update of RTOG 9413 study demonstrated neoadjuvant ADT plus whole pelvic radiotherapy improved 10-year PFS compared with neoadjuvant ADT plus prostate only radiotherapy and whole pelvic radiotherapy plus adjuvant ADT, albeit increased risk of grade 3 or worse intestinal toxicity.42 However, neither trial used IMRT technique or delivered doses that would be considered inadequate by today’s standards. The ongoing RTOG 09-24 trial using IMRT with increased dose might provide more conclusive evidence for the effects of pelvic node irradiation. In this study, the strategy of pelvic lymph node irradiation was different between the two groups. Twenty-five patients with LNI risk > 15% by Roach formula in Group-2 all received elective lymph node irradiation, while 23 patients with the same risk in Group-1 did not. The 7-year BFFS and OS were 62.1% and 68.2% in Group-1, and 68.8% and 82.6% in Group-2, without significant differences between the two groups, even for the 7-year BCDF which was 46.9% and 34.4%, respectively. At the same time, the incidence of late GU and GI toxicities for patients with LNI risk > 15% by Roach formula, either received elective lymph node irradiation or not also had no statistical difference. The reasons may be as follows: 1) High dose IMRT, combined with daily image guidance, targeting prostate and seminal vesicles would be sufficient in localized PC patients who have no clinical node involvement; 2) For older patients with PC, non-tumor factors had a greater impact on survival, which partly covered the impact of tumor itself; 3) This non-randomized study with small sample size might have resulted in biased statistical results.
In 2016, the American Joint Committee on Cancer (AJCC) established criteria to evaluate prediction models for cancer staging, with following works indicating high-risk for prostate cancer defined by a patient’s Gleason score, prostate-specific antigen level, and clinical AJCC T stage.10,43 In addition to that, intraductal carcinoma of the prostate44,45 and 22-Gene Genomic Classifier46 were reported as a prognostic factors for PFS, CSS, and OS in patients with high-risk prostate cancer. In line with those findings, clinical T stage > 3b in our study was an independent prognostic factor of PFS (HR 0.197, 95% CI 0.065–0.594, p = 0.004). As far as we know, patients with different age distributions may correspond to different survival outcomes in many cancers. Patients at extreme ages may not be able to accurately show the effects of intervention factors, so ≥ 70 or 75 years-old participants were usually underrepresented in most of the clinical trials. Unlike other cancers, prostate cancer often develops in patients with old age, and over 80% of the cases are diagnosed after the age 65. Syrigos et al.47 thoroughly reviewed the detailed evidence of prostate cancer in the older patients and concluded that age alone should not constitute an obstruction for optimal treatment administration. In a retrospective outcome analysis of radical radiotherapy for PC patients, comparing patients above or below the age of 80, no difference in 5-year BFFS, distant metastasis-free survival (DMFS), or PCSS was detected.48 A meta-analysis showed that radiation therapy seemed to be associated with a reduction in the risk of death in patients aged 80 or above with clinically localized PC compared to observation.49 These studies all showed that the treatment for older patients with prostate cancer should be more active. Besides that, excellent outcomes were also reported in these patients with HFRT.50, 51, 52 However, there have been few randomized studies focusing on the outcome of HFRT in older patients with prostate cancer. In this study, the median age was 80 years and 78 years in the two groups, respectively, and both showed satisfied outcomes and low incidence of toxicities.
This study has several limitations. Firstly, the outcomes are from a single institution, and the sample size of the trial is relatively small, resulting in a large proportion of failures probably caused by non-tumor factors of high-risk patients. Secondly, robust multivariate analysis was not feasible due to a small number of observed toxicity events, and multiple analysis of clinical factors associated with toxicity needed further investigation. Clinical trial data from other centers are needed to evaluate the identified association of clinical parameters with toxicity.
In conclusion, two moderately hypofractionation regimens, 76 Gy/34 F and 71.6 Gy/28 F, delivered with daily image-guided HT technique, were well tolerated in older aged prostate cancer patients with minor severe late toxicities and satisfied survival, and prophylactic pelvic lymph node irradiation might not be necessary. A phase III trial is needed to explore the optimal hypofractionation regimen and the necessity of prophylactic pelvic node irradiation in older aged patients with localized prostate cancer.