Figure 1

Figure 2

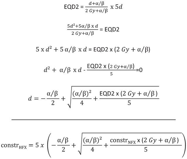
Figure 3

Dose constraints
| Constraints | ||||
|---|---|---|---|---|
| Bone | α/β = 1.8 Gy | α/β = 2.8 Gy | ||
| V40 < 64% | V23.4 < 64% | V24.8 < 64% | [18] | |
| Dmean < 37 Gy | Dmean < 22.4 | Dmean < 23.6 Gy | [18] | |
| D2 < 59 Gy | D2 < 29.3 Gy | D2 < 31.3 Gy | [18] | |
| Circumferential < 50 Gy | Circumferential < 26.4 Gy | Circumferential < 28.3 Gy | Institutional standard | |
| Soft tissue | α/β = 2.0 Gy | |||
| Circumferential < 40 Gy | Circumferential < 23.7 Gy | Institutional standard | ||
Patient characteristics and postoperative complications
| Age at diagnosis | Localisation | Size [cm] | Histology | Grading | Days to resection | Resection status | Postoperative complication | Follow up |
|---|---|---|---|---|---|---|---|---|
| 85 | forearm | 7.5 | NOS | 2 | 45 | 1 | hematoma | alive, NED |
| 91 | lower leg | 5.4 | NOS | no surgery | lost to follow up | |||
| 82 | thigh | 7.0 | myxofibrosarcoma | 2–3 | 25 | 0 | alive, NED | |
| 84 | forearm | 6.0 | epitheliod myxofibrosarcoma | 3 | 18 | 0 | alive, NED | |
| 91 | thigh | 5.5 | NOS | 3 | 15 | 2 | local and distant recurrence | |
| 79 | thoracic wall | 7.7 | liposarcoma | 2 | 29 | 0 | alive, NED | |
| 80 | gluteus | 10.0 | NOS | 3 | 30 | 0 | alive, NED | |
| 84 | thigh | 3.7 | leiomyosarcoma | 3 | 34 | 0 | alive, NED | |
| 83 | thigh | 10.0 | liposarcoma | 3 | 21 | 1 | wound healing complication | local and distant recurrence |
| 80 | thigh | 8.0 | NOS | 3 | 31 | 0 | wound healing complication, seroma | alive, distant recurrence lower leg, curative treatment |
| 90 | thigh | 8.5 | leiomyosarcoma | 2 | 29 | 0 | wound healing complication | alive, NED |
| 85 | axilla | 9.2 | liposarcoma | 2 | 31 | 1 | alive, NED | |
| 82 | thigh | 17.0 | liposarcoma | 2 | 23 | 0 | alive, NED | |
| 87 | thoracic wall | 5.0 | NOS | 3 | 20 | 0 | alive, NED | |
| 82 | thoracic wall | 9.0 | NOS | 3 | 23 | 0 | wound healing complication | alive, NED |
| 91 | upper arm | 5.2 | NOS | 3 | 31 | 0 | recurrence distant | |
| 81 | thigh | 8.3 | myxoid fibrosarcoma | 3 | 31 | 0 | alive, NED | |
| 81 | upper arm | 8.3 | NOS | 2 | 32 | 0 | alive, NED |