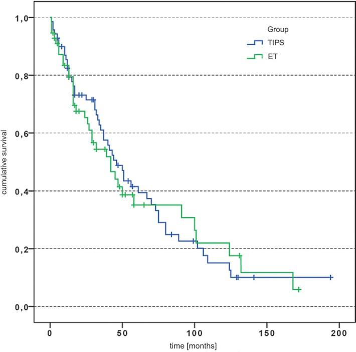
Figure 1

Figure 2

Predictive factors of recurrent bleeding in the two groups
| P | OR | 95% CI for OR | ||
|---|---|---|---|---|
| value | Lower | Upper | ||
| Treatment | 0.000 P < 0.001 | 7.088 | 3.039 | 16.529 |
| Age > 60 years | 0.074 | 2.216 | 0.927 | 5.299 |
| Aetiology of liver cirrhosis | 0.382 | 0.656 | 0.255 | 1.688 |
| Child A | 0.716 | |||
| Child B | 0.684 | 1.279 | 0.391 | 4.190 |
| Child C | 0.818 | 0.848 | 0.209 | 3.442 |
| Site of bleeding: E | 0.251 | |||
| Site of bleeding: G | 0.097 | 3.089 | 0.815 | 11.712 |
| Site of bleeding: E + G | 0.857 | 1.103 | 0.381 | 3.190 |
| HE prior to procedure | 0.747 | 0.932 | 0.607 | 1.430 |
Cause of death of 86 patients in the two groups
| TIPS | ET | |||
|---|---|---|---|---|
| N = 50 | N = 36 | |||
| N | % | N | % | |
| Variceal bleeding | 7 | 10.0 | 16 | 28.6 |
| Liver failure | 22 | 31.4 | 12 | 21.4 |
| Sepsis | 1 | 1.4 | 0 | 0.0 |
| Pneumonia | 3 | 4.3 | 2 | 3.6 |
| Tumor progression | 6 | 8.6 | 1 | 1.8 |
| Accidental | 2 | 2.9 | 0 | 0.0 |
| Cardiovascular disease | 3 | 4.3 | 3 | 5.4 |
| Unknown | 6 | 8.6 | 2 | 3.6 |
Baseline demographic, clinical and biochemical characteristics of the 126 patients
| TIPS | ET | P | |
|---|---|---|---|
| n = 70 | n = 56 | value | |
| Sex | |||
| Male | 45 (64.3%) | 35 (62.5%) | |
| Female | 25 (35.7%) | 22 (37.5%) | 0.836 |
| Age | 53.56 ± 11.15 | 57,57 ± 11,69 | 0.052 |
| Etiology | |||
| Alcohol | 49 (70%) | 30 (67.9%) | |
| Non-alcohol | 21 (30%) | 18 (32.1%) | 0.796 |
| Child A | 15 (21.4%) | 8 (14.3%) | |
| Child B | 41 (58.6%) | 31 (55.4%) | |
| Child C | 14 (20.0%) | 17 (30.4%) | 0.319 |
| Child-Pugh score | 7.9 ± 1.7 | 8.5 ± 1.7 | 0.051 |
| Variceal grade | |||
| I–II | 11 (15.8%) | 6 (10.7%) | |
| III–IV | 59 (84.2%) | 50 (89.3%) | 0.519 |
| Type of varices | |||
| Esophageal | 36 (51.4%) | 32 (57.1%) | |
| Gastroesophageal | 34 (48.6%) | 24 (42.9%) | 0.573 |
| Site of bleeding | |||
| Esophagus | 46 (65.7%) | 41 (73.2%) | |
| Gastric | 7 (10.0%) | 6 (10.7%) | |
| Gastroesophageal | 17 (24.3%) | 9 (16.1%) | 0.526 |
| No. of variceal bleeds | 3.46 ± 1,15 | 3.36 ± 1,06 | 0.651 |
| Leukocytes (109/L) | 5.09 ± 1.87 | 6.31 ± 3.03 | 0.034 |
| Platelets (109/L) | 109.07 ± 47.82 | 101.96 ± 52.10 | 0.309 |
| PT (s) | 0.64 ± 0.14 | 0.57 ± 0.14 | 0.003 P < 0.05 vs. control group; bP < 0.001 vs. control group |
| Bilirubin (mmol/L) | 40.90 ± 34.98 | 50.91 ± 50.77 | 0.125 |
| Albumin (mmol/L) | 30.78 ± 6.30 | 29.44 ± 5.25 | 0.256 |
| Urea (mmol/L) | 5.81 ± 3.02 | 8.33 ± 4.69 | 0.001b |
| Creatinine (mmol/L) | 78.93 ± 20.46 | 105.91 ± 117.1 | 0.226 |
| Ammonia (mmol/L) | 48.37 ± 23.66 | 60.94 ± 43.79 | 0.234 |
| gGT (mkat/L) | 1.21 ± 1.21 | 1.64 ± 1.49 | 0.070 |
| ALT (mkat/L) | 0.51 ± 0.46 | 0.74 ± 1.83 | 0.409 |
| AST (mkat/L) | 0.75 ± 0.65 | 1.11 ± 2.18 | 0.330 |
| Ascites | |||
| No ascites | 31(44.3%) | 20 (35.7%) | |
| Ascites decrease | 18 (25.7%) | 13 (25.0%) | |
| Ascites increase | 21 (30.0%) | 22 (39.3%) | 0.507 |
| HE prior to proc. | |||
| No HE | 51 (72.9%) | 39 (69.6%) | |
| CS, no H | 17 (24.2%) | 11 (19.6%) | |
| CS + H | / | 3 (5.4%) | |
| CHE | 2 (2.9%) | 3 (5.4%) | 0.295 |