Gastroesophageal variceal bleeding (GEVB) is a severe complication of portal hypertension. In cirrhotic patients with a history of variceal bleeding, the incidence of GEVB within 1 year is 60%, while the mortality from each rebleeding episode is nearly 20%.1 In terms of prevention of recurrent bleeding, current guidelines recommend management of patients with the history of variceal bleeding. The first-line treatment for preventing recurrent variceal bleeding is pharmacologic treatment with non-selective β-adrenergic blockers (NSBB), or a combination of isosorbide mononitrate (ISMN) and nadolol combined with endoscopic treatment (ET), i.e. variceal sclerotherapy and/or variceal ligation.2, 3 In frequently recurring bleeding episodes, in patients unresponsive to pharmacological and endoscopic treatment, transjugular intrahepatic portosystemic shunt (TIPS) or surgical procedures (i.e. portocaval or splenorenal shunt) are the treatments of choice. TIPS is recommended as a “rescue-urgent” treatment if primary haemostasis cannot be obtained with endoscopic and pharmacological treatment, or if uncontrollable early rebleeding occurs within 48 hours.4, 5, 6 TIPS is used as an elective procedure after the second or third (and/or more) recurrent bleeding episode from varices (especially if repeated over short periods of time) in hemodynamically and clinically stable patients with optimally regulated risk factors for the complication of the procedure (i.e. improvement of coagulation factors, elimination or reduction of ascites, regulation of cardiac and renal function, and clinically significant improvement in hepatic encephalopathy). In most of the randomized studies, patients were included in the study 24 to 96 hours from the last bleeding.7, 8, 9, 10, 11 Studies which could evaluate the role of elective TIPS in comparison to combined ET and NSBB treatment in patients with recurrent variceal bleeding episodes are rare.8,12, 13 According to literature, there are even fewer studies which analysed the long-term effect of TIPS vs. ET, 30 months being the longest observation period in terms of survival.14 The purpose of our study was therefore to compare elective TIPS with combined ET and NSBB treatment in terms of their long-term efficacy in preventing recurrent GEVB in patients with portal hypertension.
This retrospective study included 126 patients with liver cirrhosis and recurrent GEVB episodes originating from ruptured esophageal and gastric varices. The inclusion criteria were: (1) at least three gastroesophageal variceal bleedings or two recurrent episodes of bleeding within a less than a month period; (2) < 1 month since the previous bleeding episode; (3) Child-Pugh score < 13; (4) technically successful TIPS procedure; (5) 18 < age < 75; (6) patient’s written informed consent. Exclusion criteria were: (1) patients who did not meet inclusion criteria; (2) chronic occlusion of portal vein; (3) hepatocellular carcinoma (HCC) or/ and other types of cancer (with the exceptions of non-melanoma skin cancer and in situ cervical cancer); (4) acute hepatitis.
Patients who were treated with elective TIPS were included in the study from the time of the procedure, i.e. on average 35 days after the last variceal bleeding episode. Those patients were hemodynamically and otherwise (in terms of disease) stable. ET patients were included in the study after the last variceal bleeding, that is after successful pharmacological and endoscopic eradication, i.e. on average 30 days after the last bleeding episode. All patients were followed-up with clinical evaluations, serum laboratory tests, and Doppler ultrasound before hospital discharge, in the outpatient clinic at 3 months after TIPS and every 6 months thereafter. Portal venography was performed only as an introduction to a re-intervention in patients with suspected or impaired shunt malfunction. Patients were followed-up from inclusion in the study until death, liver transplantation, the last follow-up observation or until the end of our study.
Primary endpoint of our study was rebleeding rate. Bleeding-related mortality and survival were considered as secondary endpoints.
The study took place at the Institute of Radiology and Department of Gastroenterology of University Medical Centre Ljubljana, and at the Department of Gastroenterology of University Medical Centre Maribor.
The study was approved by the National Medical Ethics Committee of the Republic of Slovenia (Number 94/11/11) and was in agreement with the Declaration of Helsinki.
TIPS was placed using a technique described in available literature, the procedure took place in the interventional radiology suite.12, 15 Prior to elective TIPS, patients were hemodynamically and systemically stable. After indirect portography between the portal and hepatic veins, shunt tracts were lined with wallstent endoprosthesis (Wallstent, Schneider, Switzerland) or polytetrafluoroethylene-covered stents (GoreÒViatorrÒ; United States). Portal and central venous pressures were measured before and after stenting. Patients were cared for in a semi-intensive care unit for 24 h after the procedure.
In patients with recurrent variceal bleeding, endoscopic sclerosation (EST) via paravariceal and intravariceal injection of 1% polydocanol (Resinag, Zug, Switzerland) was performed first, after that EST was repeated or endoscopic ligation (EVL) was performed until scarring of the varices was achieved. Histoacryl adhesive (B Braun Medical, Melsungen, Switzerland), used in the same proportion as polydocanol, was injected directly into the varices. Patients received antibiotic prophylaxis prior to and after ET, and octreotide (1.2 mg/24 h for 3–5 days) after the procedure. Until the varices were eradicated, subsequent ET was undertaken at 3–4 weeks intervals on an outpatient basis. After variceal obliteration, surveillance endoscopy was performed at 6 months and then annually to identify patients in whom varices had recurred. Repeat ET was performed whenever residual or recurrent varices were identified during surveillance endoscopy. All patients in the ET group received oral propranolol twice a day, starting at 40 mg/day and increasing to a maximum of 120 mg/day, according to the target reduction of pulse rate.
Collected data were coded, tabulated and analysed by the biomedical statistician using SPSS statistical software, version 19.0 for Windows. The results are presented in graphical, tabular and numerical form as mean + SD. Demographic data, laboratory values and other numerical data were analysed using descriptive statistics methods. To compare the two methods of treatment, t-test, χ2-test and Mann-Whitney test were used. Data for prognostic factors of recurrent bleeding was analysed using multivariate logistic regression method. Cox proportional hazards regression model was used for the evaluation of prognostic factors of time to rebleeding. P < 0.05 was considered as statistically significant.
Demographic, clinical and biochemical characteristics of the patients are shown in Table 1, as is aetiology of their liver disease. In the ET group of patients, leukocytes and urea values were significantly higher (P = 0.034 and P = 0.001, respectively; Mann-Whitney test) in comparison to those in TIPS group. Moreover, prothrombin time was significantly lower in ET group of patients (P = 0.003; Mann-Whitney test). There were no other statistically significant differences between the two groups.
Baseline demographic, clinical and biochemical characteristics of the 126 patients
| TIPS | ET | P | |
|---|---|---|---|
| n = 70 | n = 56 | value | |
| Sex | |||
| Male | 45 (64.3%) | 35 (62.5%) | |
| Female | 25 (35.7%) | 22 (37.5%) | 0.836 |
| Age | 53.56 ± 11.15 | 57,57 ± 11,69 | 0.052 |
| Etiology | |||
| Alcohol | 49 (70%) | 30 (67.9%) | |
| Non-alcohol | 21 (30%) | 18 (32.1%) | 0.796 |
| Child A | 15 (21.4%) | 8 (14.3%) | |
| Child B | 41 (58.6%) | 31 (55.4%) | |
| Child C | 14 (20.0%) | 17 (30.4%) | 0.319 |
| Child-Pugh score | 7.9 ± 1.7 | 8.5 ± 1.7 | 0.051 |
| Variceal grade | |||
| I–II | 11 (15.8%) | 6 (10.7%) | |
| III–IV | 59 (84.2%) | 50 (89.3%) | 0.519 |
| Type of varices | |||
| Esophageal | 36 (51.4%) | 32 (57.1%) | |
| Gastroesophageal | 34 (48.6%) | 24 (42.9%) | 0.573 |
| Site of bleeding | |||
| Esophagus | 46 (65.7%) | 41 (73.2%) | |
| Gastric | 7 (10.0%) | 6 (10.7%) | |
| Gastroesophageal | 17 (24.3%) | 9 (16.1%) | 0.526 |
| No. of variceal bleeds | 3.46 ± 1,15 | 3.36 ± 1,06 | 0.651 |
| Leukocytes (109/L) | 5.09 ± 1.87 | 6.31 ± 3.03 | 0.034 |
| Platelets (109/L) | 109.07 ± 47.82 | 101.96 ± 52.10 | 0.309 |
| PT (s) | 0.64 ± 0.14 | 0.57 ± 0.14 | 0.003(1) |
| Bilirubin (mmol/L) | 40.90 ± 34.98 | 50.91 ± 50.77 | 0.125 |
| Albumin (mmol/L) | 30.78 ± 6.30 | 29.44 ± 5.25 | 0.256 |
| Urea (mmol/L) | 5.81 ± 3.02 | 8.33 ± 4.69 | 0.001b |
| Creatinine (mmol/L) | 78.93 ± 20.46 | 105.91 ± 117.1 | 0.226 |
| Ammonia (mmol/L) | 48.37 ± 23.66 | 60.94 ± 43.79 | 0.234 |
| gGT (mkat/L) | 1.21 ± 1.21 | 1.64 ± 1.49 | 0.070 |
| ALT (mkat/L) | 0.51 ± 0.46 | 0.74 ± 1.83 | 0.409 |
| AST (mkat/L) | 0.75 ± 0.65 | 1.11 ± 2.18 | 0.330 |
| Ascites | |||
| No ascites | 31(44.3%) | 20 (35.7%) | |
| Ascites decrease | 18 (25.7%) | 13 (25.0%) | |
| Ascites increase | 21 (30.0%) | 22 (39.3%) | 0.507 |
| HE prior to proc. | |||
| No HE | 51 (72.9%) | 39 (69.6%) | |
| CS, no H | 17 (24.2%) | 11 (19.6%) | |
| CS + H | / | 3 (5.4%) | |
| CHE | 2 (2.9%) | 3 (5.4%) | 0.295 |
ALT = alanine aminotransferase; AST = aspartate aminotransferase; CHE = chronic hepatic encephalopathy; CS = clinical signs; ET = endoscopic treatment; gGT = gamma-glutamyl transferase; H = hospitalization; HE = hepatic encephalopathy; PT = prothrombin time; TIPS = transjugular intrahepatic portosystemic shunt
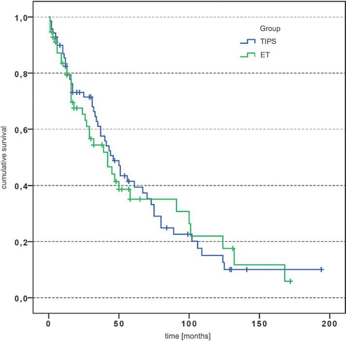
The median observation time was 47 months (range 3–194 months) in the TIPS group and 40 months (range 2–168 months) in the ET group. The observation time for the survivours in the TIPS group (n = 20) was 57.65 months (median 38 months) and 42.65 months (median 32 months) in the ET group (n = 20).
In 68 patients, the procedure was performed in general anaesthesia, and in two patients in the local anaesthesia. Wallstent (diameter 8–10 mm) was used in 48 patients and Viatorr-type endoprosthesis, 8–10 mm in diameter, 6–8 cm in length, in 22 patients. TIPS was dilated to 8 mm of diameter reaching the hemodynamic target of a portosystemic pressure gradient (PSG). In 9 patients, not reaching the hemodynamic target, the stent was dilated to 10 mm of diameter. After reaching a sufficient pressure reduction, which in our study was, on average, 35.9% lower than the baseline, the procedure was completed, and the manual haemostasis was made after removal of the vascular device from the jugular vein. The mean portal pressure prior to procedure was 29.32 ± 5.93 mmHg (range 20–45 mmHg) and 18.67 ± 4–22 mmHg (range 8–30 mmHg) after the procedure.
Prior the study, 25.7% of patients in the TIPS group and 30.4% in the ET group had hepatic encephalopathy (HE). The difference between the groups was not statistically significant (P = 0.563; χ2-test). At the end of the study, 42.8% of patients had hepatic encephalopathy in the TIPS group and 35.6% in the ET group. The difference between the groups was not statistically significant (P = 0.542; χ2-test; p = 0.058; Wilcoxon test). In the TIPS group, 7.1% of patients with chronic hepatic encephalopathy and 8.9% in the ET group were present. The difference between groups was not statistically significant (P = 0.584; χ2-test). 21.4% of patients treated with TIPS and 12.5% of patients treated with ET experienced new or worsening of pre-existing hepatic encephalopathy. The difference between the groups was not statistically significant (P = 0.150; χ2-test). Only 14.3% of patients in the TIPS group and 11.1% of patients in the ET group had to be hospitalized due to HE.
10 patients (14.3%) in the TIPS group and three patients (5.4%) in the ET group had liver transplantation. Statistically significant differences in the number of liver transplantations were not observed (P = 0.102; χ2-test).
In the TIPS group, 15 (21.4%) patients developed recurrent bleeding episode from gastroesophageal varices; 1 patient had two episodes of bleeding. 33.3% of patients had recurrent bleeding within the first year and 46.6% within the first two years. In the ET group, 37 (66.1%) patients developed recurrent bleeding episode from gastroesophageal varices; 20 patients had several recurrent bleedings. 56.7% of patients had recurrent bleeding within the first year and 83.7% within the first two years. There were 63 recurrent bleeding episodes in the ET group. The difference in the number of patients with recurrent bleeding episodes was statistically significant (P = 0.001; χ2-test). Most frequently, i.e. 11 of the 15 cases (73.3%), the recurrent bleeding in the TIPS group occurred due to shunt malfunction. In 3 TIPS patients, liver failure was the cause of the recurrent bleeding, and progression of HCC in 1 patient. In all those 4 patients, shunt malfunction was excluded using ultrasound. 11 patients with recurrent variceal bleeding due to shunt malfunction underwent esophagogastroduodenoscopy (EGDS), which confirmed esophageal variceal bleeding in 8 patients and gastric variceal bleeding in 3 patients. 6 of 11 shunt malfunctions were successfully repaired with an additional procedure, 5 of 11 patients died before the additional procedure.
The proportion of patients without recurrent bleedings after 6 months, 1 year, 2 years and 5 years in the TIPS group compared to the ET group was 89% vs. 63%; 89% vs. 43% ; 87% vs. 36% and 78% vs. 26% (Figure 1).

Proportion of patients without recurrent bleedings in the two groups.
ET = Endoscopic treatment; TIPS = Transjugular intrahepatic portosystemic shunt
Prognostic value of predictive factors of recurrent variceal bleeding was analysed using multivariate logistic regression method. Cathegorized variables, such as site ob bleeding and Child-Pugh classification for prognosis of chronic liver disease, were divided into three cathegories. Our study showed that only ET was a significant independent predictor of recurrent bleeding (P = 0.001). The odds ratio for recurrent bleeding in the ET group versus TIPS group was 7 (95% confidence interval [CI]; 3.0–16.5).
During our observation time, 50 (71.4%) patients died of various causes in the TIPS group and 36 (64.3%) in the ET group (Table 3). There were no statistically significant differences between the two groups (P = 0.392; χ2-test). Mean survival time of the patients treated with TIPS was 64.38 ± 8.6 months and 50.4 ± 9.6 months of the patients who were treated with ET. The median survival time of patients in the TIPS group was 50.0 ± 5.2 months and 32.0 ± 7.4 months in the ET group. The leading cause of death in the group of patients treated with TIPS was liver failure (31.4% of the patients), and recurrent bleeding in the group of patients treated with ET (28.6% of the patients) (Table 3). The difference in the causes of recurrent bleeding between the two groups was statistically significant (P = 0.086; χ2-test).
7 patients (10%) in the TIPS group died due to recurrent variceal bleeding; in 5 of those patients, recurrent bleeding was caused by shunt malfunction. Of those 5 patients, 2 patients died within 1 year; in total, 4 patients died within first 2 years. In the ET group, 8 (38.1%) of 21 patients with recurrent bleeding died within 1 year, and 16 (51.6%) of 31 patients within the first two years. Cumulative survival after 1 year, 2 years and 5 years in the TIPS group compared to the ET group was 85% vs. 83%, 73% vs. 67% and 41% vs. 35% (Figure 2).
Predictive factors of recurrent bleeding in the two groups
| P | OR | 95% CI for OR | ||
|---|---|---|---|---|
| value | Lower | Upper | ||
| Treatment | 0.000(2) | 7.088 | 3.039 | 16.529 |
| Age > 60 years | 0.074 | 2.216 | 0.927 | 5.299 |
| Aetiology of liver cirrhosis | 0.382 | 0.656 | 0.255 | 1.688 |
| Child A | 0.716 | |||
| Child B | 0.684 | 1.279 | 0.391 | 4.190 |
| Child C | 0.818 | 0.848 | 0.209 | 3.442 |
| Site of bleeding: E | 0.251 | |||
| Site of bleeding: G | 0.097 | 3.089 | 0.815 | 11.712 |
| Site of bleeding: E + G | 0.857 | 1.103 | 0.381 | 3.190 |
| HE prior to procedure | 0.747 | 0.932 | 0.607 | 1.430 |
CI = confidence interval; ; E = esophagus; ET = endoscopic treatment; G = stomach; HE = hepatic encephalopathy; OR = odds ratio; TIPS = transjugular intrahepatic portosystemic shunt
Cause of death of 86 patients in the two groups
| TIPS | ET | |||
|---|---|---|---|---|
| N = 50 | N = 36 | |||
| N | % | N | % | |
| Variceal bleeding | 7 | 10.0 | 16 | 28.6 |
| Liver failure | 22 | 31.4 | 12 | 21.4 |
| Sepsis | 1 | 1.4 | 0 | 0.0 |
| Pneumonia | 3 | 4.3 | 2 | 3.6 |
| Tumor progression | 6 | 8.6 | 1 | 1.8 |
| Accidental | 2 | 2.9 | 0 | 0.0 |
| Cardiovascular disease | 3 | 4.3 | 3 | 5.4 |
| Unknown | 6 | 8.6 | 2 | 3.6 |
ET = endoscopic treatment; TIPS = transjugular intrahepatic portosystemic shunt

Survival curves for the two groups.
Kaplan-Meier curve. ET = Endoscopic treatment; TIPS = transjugular intrahepatic portosystemic shunt; N (TIPS) = 70; N (ET) = 56
Following the current guidelines for preventing recurrent gastroesophageal variceal bleeding, TIPS should not be used as a first-line treatment and should be limited to those bleedings, which are refractory to pharmacologic and endoscopic treatment.3, 4 This recommendation is mainly because the rate of hepatic encephalopathy is significantly higher in patients undergoing TIPS than in those receiving ET and NSBBs. Moreover, according to meta-analysis, deaths due to all causes do not differ between the two groups of patients.11, 16 Consequently, use of TIPS treatment has been limited worldwide in the last decade. However, in the present study, elective TIPS was found to be more effective than ET in terms of prevention of recurrent GEVB and was associated with a similar rate of encephalopathy, and with a similar survival rate which accords with the results of recently published studies.5,15, 16, 17, 18 These results were also in line with a meta-analysis that included mostly studies from 2000–2010.19 So far, most evidence for the use of TIPS for secondary prevention of GEVB comes from randomized studies published between 1995 and 2002 with patient’s follow-up period, on average 20 months (ranged from 15 to 37 months).7, 8, 9, 10, 11 In twelve studies, patients were included in the study 24 hours to 96 hours from the last bleeding and only in one study two weeks after the last bleeding.8 A meta-analysis of studies showed a small number of recurrent bleeding in the TIPS group (19%, range 9–40% vs. 44.4%, range 21–61% in the ET group). In these studies, they basically did not distinguish urgent TIPS from elective TIPS.
Studies which could evaluate the role of elective TIPS in comparison to ET in patients with recurrent variceal bleeding episodes are rare.12 There is even fewer studies which could analyse the longterm effect of TIPS vs. ET.13, 14
In our study, there was less recurrent bleeding episodes in the TIPS group of patients in comparison to the ET group of patients (21.4% vs. 66.1%, respectively), which accords with the results of previous comparable studies.17, 18, 19, 20 Most of the patients in our study had recurrent bleeding episode within the first two years (46.6% in the TIPS group vs. 83.7% in the ET group). Moreover, a total number of recurrent bleeding episodes (which required endoscopic intervention and hospitalization) was lower in the TIPS group; the difference between the two groups was statistically significant. Multivariate analysis identified ET as the only significant independent predictor of recurrent bleeding. The main advantage of TIPS procedure compared to ET seems to be due to the direct and controlled reduction of hepatic venous pressure gradient (HVPG) during procedure below the threshold value for variceal rupture and bleeding (i.e. < 12 mmHg) or ≥ 20% reduction of baseline HVPG value.20, 21 By reducing HVPG, we not only improve the rate of variceal rebleeding, but also reduce other complications of PH, such as ascites, and improve liver and kidney function. In our study, the mean reduction of HVPG was 35.9%. This correlates to previous studies, which showed that reducing HVPG > 20% below baseline value contributes to lower risk for recurrent bleeding, spontaneous bacterial peritonitis, ascites and death.21 Reducing of HVPG is therefore crucial for higher quality and longer survival of patients with liver cirrhosis. There are also fewer recurrent bleeding episodes in patients who are treated with surgical portosystemic shunts, which correlates with our asumption of direct impact of reduced HVPG on the course of disease.22 The recurrent bleeding in the TIPS group occurred most frequently due to shunt malfunction, and in more than half of patients, shunt malfunctions were successfully repaired with an additional balloon dilatation and stent or stent graft insertion. In the majority of patients, shunt malfunction was determined by Doppler ultrasound before the appearance of clinical signs. Fewer reintervention and rebleeding episodes were reported for studies where patients, as in the present study, had regular ultrasound monitoring.23
Because rebleeding is associated with increased risk of mortality, preventing variceal rebleeding may be a substitute outcome of survival.24, 25, 26 Based on our study, recurrent bleeding episode seems to be the leading cause of death in the ET group of patients and liver failure in the TIPS group of patients; differences were statistically significant (Table 3). Despite statistically significant lower mortality rate due to recurrent variceal bleeding episode in the TIPS group of patients, it did not result in improved long-term survival between the two groups. The TIPS group of patients had better 2-year survival rates, but the difference was not statistically significant. We assumed that other factors than rebleeding may have contributed to the observed mortality in both groups. Liver failure was the leading cause of death in patients who survived more than 2 years, which suggests that preserved liver function is the main predicting factor of long-term survival in patients with liver cirrhosis and portal hypertension, whereas occurrence of recurrent variceal bleeding only has a minor effect (5–10% based on our study).17
The incidence of hepatic encephalopathy before joining the study was the same in both groups and is comparable to literature.14,27, 28 Causes of the same frequency of HE are the most likely comparable clinical characteristics of patients prior to being included in the study: hemodynamically stable and under-conditions, patients with similar liver cirrhosis, the same number of patients with Child B and Child C hepatic impairment, and similar age of patients. Compared to previous studies, the incidence of HE in the TIPS group is lower in our study and slightly higher than in the ET control group, but the difference is not statistically significant, which accords with the results of comparable studies.27, 28
Our study has limitations which have to be mentioned. First, the most important is its retrospective nature, so the analysis is subject to potential patient selection bias. Our data recording was limited to the available medical records and documentation, so we cannot exclude some degree of underreporting due to inherent limitations of non-standardized clinical documentations outside of clinical studies. Second, because the primary endpoint is variceal rebleeding, the power calculation is primarily based on a difference in the rate of variceal rebleeding between both groups. Thus, the data regarding mortality should not be overemphasized. Third, this study is being conducted in a single tertiary centre with the TIPS technique experience. Accordingly, our findings might not be promptly generalized to other centres with less experience. Fourth, treatment of GEVB has improved over the past few decades in all fields of medicine, including the treatment of complications of liver cirrhosis and portal hypertension, EVL and the use of endoprosthesis in the TIPS group in later years as compared to earlier years, when EST and stent were commonly used. Despite these limitations, there was a large number of patients enrolled in this study, and they were followed for a long time period. Acorrding to available international literature, our study was the longest in terms of observation time of both, TIPS and ET, groups of patients (median observation time 47 months for the TIPS group and 40 months for the ET group).
In conclusion, TIPS compared to ET in combination with NSBB was more effective in the prevention of recurrent gastroesophageal variceal bleeding, had significantly lower mortality due to recurrent variceal bleeding, but did not result in long-term survival benefit. The incidence of hepatic encephalopathy was similar in both groups. Liver failure was the leading cause of death in patients surviving more than 2 years, which suggests that preserved liver function is the main predicting factor of long-term survival, whereas occurrence of recurrent variceal bleeding only has a minor effect.
P < 0.05 vs. control group; bP < 0.001 vs. control group
P < 0.001