The Leksell Gamma Knife ICON was introduced in 2015 and first installed in the US in 2016. This model of the Gamma Knife added a relocatable thermoplastic based fixation with an integrated Cone beam CT (CBCT) system that allows for hypo-fractionated radiosurgery. Since the traditional Gamma Knife user base has been accustomed to the submillimeter accuracy inherent in the frame based stereotactic radiosurgery (SRS) system there has been interest in comparing the relative accuracy of the two approaches. Several aspects of the system have been evaluated including the accuracy of the CBCT based stereotactic space1 and frame and CBCT co-localization accuracy.2 One significant aspect of the fixation is the thermoplastic mask itself and its characteristics. We present here a simple analysis of the force characteristics of a curing thermoplastic mask and have correlated these findings with a few cases from our clinical practice.
In order to record the curing characteristics of the ICON Nanor® mask (Art. No 1514925, Elekta Inc. Atlanta, GA, USA) we created a phantom using a head mannequin (Amazon.com: search term:15″ Tall Male Mannequin Head Durable Plastic Flesh [50013]). On the mannequin, we attached 5 and 15 mm FSR 400 force sensing resistors (FSR) (Interlink Electronics, Inc. Westlake Village, CA, USA) as depicted in Figure 1. This FSR was chosen for its relative stability over the measured temperature range and small size. The output of the FSR400 is correlated to the force applied, load resistance across the FSR (10Kohms) and the voltage applied to the measuring circuit (5V in this case).

Mannequin with FSR 400 sensors mounted at forehead (A), supra-orbital ridge (B & C), malar eminence (D & E) and chin (F).
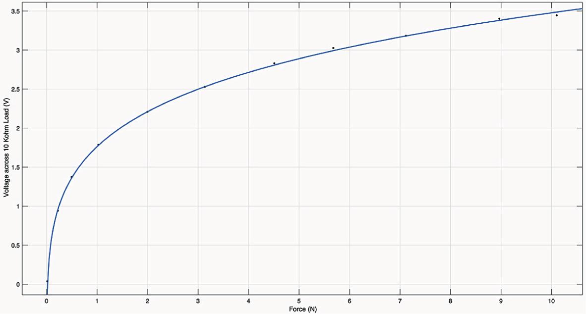
The correlation is depicted in Figure 2 and corresponds to a two term power curve fit using Nonlinear least squares method and the Levenberg-Marquardt algorithm:3

Force response curve for a FSR 400 with a 5 V supply and 10 K resistive load.5
Inter-FSR variation is less than 2% within one batch. All FSRs used in this design were from the same manufacturing batch. The mannequin with mounted sensors is shown in Figure 1.
The reading from the sensors was captured together with a timestamp and mask temperature using a data logger. The data logger (Figure 3) was constructed based on an Ardunio® board equipped with an SD card socket, temperature probe, LCD display, and connectors for the FSRs.

Data-logger assembly to record sensor data together with mask temperature and timestamp.
The mannequin was then placed on the mold-care pillow which was formed to its shape. After verification of the connections data acquisition was initiated. A heated Nanor® mask (165 °F [73.9 °C] for 11 minutes) was then placed by two operators and molded to the mannequin as it would be to a real patient (Figure 4). The mask was then allowed to cure overnight in that position. Pressure and temperature readings were acquired every 200 milliseconds.

Mannequin in position for measurement.
The force recordings (Figures 5 and 6) revealed that the force recorded at the sensors increases as the mask cools and hardens or cures. Maximum force is recorded at the chin, followed by the supra-orbital ridges and the malar eminences. The forehead recordings were the lowest and showed the most drift. This was ascribed to the fact that the mannequin had a somewhat depressed forehead profile (Figure 1) and lacked the skin and elasticity of a normal human head – perhaps resulting in intermittent contact with the FSR.

First hour force readings at the chin, supra-orbital ridges, malar eminences and forehead (50 °F = 10 °C; 100 °F = 37.8 °C).

Extended 24-hour force recordings at the chin, supra-orbital ridges, malar eminences and forehead (50 °F = 10 °C; 100 °F = 37.8 °C).
In the first hour of recording (Figure 5) all sensors recorded increasing force at a rapid rate between 2 and 12 minutes and slowed at approximately 24 minutes. Extended force recordings over 24 hours (Figure 6) revealed that force stabilized after approximately 16 hours at the chin and supraorbital regions. The malar eminence and forehead regions reach their peak values within the first hour and then show no further increase.
Immobilization with a thermoplastic mask is not novel in radiation therapy and LINAC SRS. Thermoplastic immobilization has been used for stereotactic localization in neurosurgery as well.4
To our knowledge this is the first report of its kind evaluating the curing characteristics of the ICON Nanor thermoplastic mask and its implication on the pressure sensation experienced by the patient. Our findings are in keeping with the observation that patients find that their masks feel considerably tighter on day 2 and beyond of a multisession treatment.
The Nanor® material is a nanoparticle composite that is specifically designed to provide molding at low temperatures (145 °F [62.8 °C] and up) and high strength and precision with a short curing time. Another desirable characteristic of the nanoparticle composite masks is reduced shrinkage, enhancing comfort for the patient while retaining a high flexural modulus which ensures precision.
The curing characteristics provide insight into the planning of treatment for patients treated on the ICON®. For patients being treated with masks made the same day as the treatment, often in the same sitting with no removal and replacement of the patient from the treatment cradle, based on the curves 80% of the force of fixation is reached at 30 minutes. Allowing for curing over 10–15 minutes and the subsequent localizing and delivery CBCTs as well as the plan evaluation this is a reasonable time to start of therapy. For more exacting targets that are still requiring hypo-fractionation a cure period of 15 hours or greater will ensure that maximum rigidity of fixation is achieved. For practical considerations in our practice, we make the mask on the first day of a multi-session treatment.
The authors recognize that patient position and stability is a function of multiple factors which include the patient clinical condition, pain and discomfort level, anxiety, treatment duration as well as fixation. When a very high premium is placed on precise location based on the indication being treated, a stereotactic frame is preferable. Understanding the curing characteristics of the mask can help in determining the best treatment schedule for a patient. These characteristics are also critical to identifying the patient population most suitable for frameless radiosurgery delivered with fixation using similar thermoplastic masks.
There is a longer curing period for the ICON Nanor® mask than the published Nanor material characteristics indicate. While a rigid reproducible fixation is rapidly achieved for added stability of position overnight curing of the mask may be preferred.