Have a personal or library account? Click to login
Quantum Implementation of Non-unitary Operations with Biorthogonal Representations Cover

Quantum Implementation of Non-unitary Operations with Biorthogonal Representations

Open Access
|May 2025

Full Article

1.
Introduction

Implementing non-unitary operations in a quantum computer is an inherently challenging task due to the unitary operational framework of quantum machines. However, non-unitarity is of significant physical interest, as it plays a key role in several areas relevant to quantum technologies, including open quantum systems [1,2], pseudo–Hermitian and Parity-Time symmetric (𝒫𝒯) systems [36], and quantum simulation of differential equations[79].

One prominent approach for treating non-unitary quantum operations leverages the concept of duality quantum computing, leading to the Linear Combination of Unitaries (LCU) method [1013]. The LCU framework has been applied for quantum simulation of differential equations [7] and open quantum systems [14], as well as for implementing non-unitary quantum gates in quantum computers [15]. Alternate methods for realizing non-unitary operators involve different unitary decompositions [16,17] as well as dilation methods [1822]. In principle, all the aforementioned techniques require introduction of ancillary qubits to mimic an appropriate environment. Then, the evolution of the total system is dictated by a unitary operator in an enlarged Hilbert space [23].

In this paper we develop a novel dilation technique that is appropriate for a class of non-unitary operators that possess a unitary counterpart in the biorthogonal representation of quantum mechanics [24]. In standard quantum computing, states and operations are implemented under a complete and orthonormal basis set {|k〉} provided by a Hermitian operator Ô–observable. However, when Ô is non-Hermitian but diagonalizable, as in the case of non-Hermitian quantum Hamiltonians [2528], there is a set {|u, |ζ} composed by the right and left eigenvectors, 1O^|un=λn|un,un|O^=λn*un|, 2O^|ζn=λn*|ζn,ζn|O^=λnζn|, that forms a biorthogonal basis with an overlapping orthogonality relation, 3 ζnum = ζnun δnm, (no summation implied) .

In Eqs. (1) and (2), λn are the complex eigenvalues with the superscript * indicating complex conjugate.

By treating the biorthogonal basis set {|u〉, |ζ〉} as a new quantum representation for the 𝒩 –qubit non-unitary operator V^ we devise a proper biorthogonal counterpart V^b that attains a unitary matrix representation in the computational basis {|k〉}. This unitary representation V^ mediates, the post-selective implementation of the non-unitary action V^|Ψ in a dilated space consisting of 𝒩 ancillary qubits.

In contrast to the LCU method, the quantum implementation scaling of the biorthogonal dilation is insensitive to the number of unitary operators in the respective decomposition. This attribute makes the biorthogonal dilation technique particularly effective in quantum implementation of non-contraction non-unitary operators of small dimension. Thus, an effective scheme incorporating both the LCU and the biorthogonal method for implementing complex non-unitary operations is proposed with applications to positive-only quantum channels and pseudo-Hermitian systems.

The paper is organized as follows. Section 2 presents the biorthogonal formalism that is fundamental to our paper, introducing the associated states and the biorthogonal operations in an analogy with the standard quantum mechanics. In Section 3.1 the general implementation algorithm for the non-unitary operator V^ is presented under the condition that its biorthogonal representation V^b possesses a unitary structured representation V^ in the computational basis {|k〉}. Then, in Section 3.2 a direct comparison with the Linear Combination of Unitaries (LCU) method and Sz.- Nagy dilation is performed, in terms of efficiency for the different classes of non-unitary operators. Application of the implementation algorithm is demonstrated in Section 3.3 for single-qubit non-unitary matrices with different characteristics. Finally, Section 3.4 considers a range of applications where the associated non-unitary operators possess complex stability features, for which the biorthogonal dilation in conjunction with the LCU method could facilitate an efficient quantum implementation.

2.
The Biorthogonal Framework

Following [24], we discuss the building blocks of the biorthogonal quantum mechanics pertinent to our purposes. In what follows, we assume that the Hilbert space is finite dimensional of dimension 2𝒩, and the indices n, m, k span {0, 1, …, 2𝒩 – 1}.

2.1.
Associated Spaces, States and Inner Product

Any state |ψ〉 ∈ ℋ can be written in terms of a non-orthogonal basis set {|u〉} that spans the Hilbert space ℋ as, 4|ψ=ncn|un, umun δnm, where the bra set {〈u|} belongs to the dual space ℋ*. To obtain a biorthogonal set, we define a linear, invertible mapping f^ between the original Hilbert space ℋ and its associated Hilbert space ˜, such that 5f^:˜,f^|u=|ζ, ζnum =κnδnm with κn > 0. The mapping f^ and its inverse f^1, are orthogonal projections between the Hilbert spaces ℋ and ˜, explicitly provided by, 6f^=n1κn|ζnζn|,f^1=n1κn|unun|,

By definition, the mapping f^ in Eq. (6) is Hermitian and introduces |ψ˜ as the associate state of |ψ〉, 7|ψ˜=f^|ψ=n,mcnκm ζmun |ζm=ncn|ζn˜.

The associated bra state ψ˜| is given by 8ψ˜|=(|ψ˜)=nζn|cn*, and it is an element in the associated dual space, ψ˜|˜*.

It follows from Eqs. (4) and (7) that the bi-linear functional :˜×, is a proper inner product, 9ϕ˜ψ=n,mdn*cm ζnum =nκndn*cn.

Thus, any state |ψ〉 can be normalized in terms of the biorthogonal norm (9), 10|ψ|ψψ˜ψ=ncn|unnκn| cn |2.

Following Eq. (9), we define an involution operation, 11(|ψ)=ψ˜|.

The involution in Eq. (11) is the biorthogonal complex conjugation which serves as a biorthogonal analog to the standard complex conjugation involution. Using these involutions we can translate operator properties between the orthonormal and biorthogonal representations.

2.2.
Operators

In the biorthogonal framework (indicated by the superscript b) any operator V^b has an outer product form, 12V^b=n,mVnm|unζm|, where Vnm is the matrix representation of operator V^b in the biorthogonal basis vectors, and is isomorphic to the operator V^, 13VnmV^=n,mVnm|nm|, in the orthonormal basis {|k〉}. From Eq. (12) the completeness relation is, 141^b=n1κn|unζn|, with 1^b being the biorthogonal identity operator, 1^b|ψ=|ψ.

2.2.1.
Biorthogonal Hermitian Operators

In quantum mechanics, the set of physically meaningful measurement outcomes, known as observables, corresponds to a set of Hermitian operators ensuring the reality of the outcome, 15Ψ|V^|ΨV^=V^.

In the biorthogonal extension, the reality of observables is secured under an analogous condition to Eq. (15), but now the associated operator has to be biorthogonal Hermitian (bi-Hermitian), i.e., Hermitian under the new involution defined in Eq. (11), 16ψ˜|V^b|ψV^b=V^b, with the state |ψ〉 properly normalized according to Eq. (10).

By explicitly calculating the mean value quantity in Eq. (16), using Eqs. (4), (8) and (12) we obtain, 17V^b=V^bVnm=Vmn*.

In addition, the standard complex conjugation involution and its biorthogonal counterpart are related through 18V^b=f^V^bf^1.

Equation (18) demonstrates that a bi-Hermitian operator, V^b=V^b, possesses a pseudo-Hermitian structure [4,5,29] under the complex conjugation involution, with the Hermitian operator f^ acting as the metric operator. Given the positive definiteness of operator f^, all bi-Hermitian operators correspond to pseudo-Hermitian operators with a real spectrum [30,31] in an orthonormal basis representation. Additionally, a Dyson map η^ can be constructed, satisfying f^=η^η^, thereby establishing an equivalence between Hermiticity and bi-Hermiticity in the Hilbert space ℋ and facilitating quantum computing tasks by using the η^|ψ states [32].

2.2.2.
Biorthogonal Unitary Operators

In analogy with the definition of unitary operators in the orthonormal case, a biorthogonal unitary (bi-unitary) operator, V^b, preserves the inner product structure of Eq. (9), 19ϕ˜|V^bV^b|ψ=ϕ˜ψV^bV^b=1^b.

With the aid of Eq. (18), the bi-unitarity condition (19) in terms of the complex conjugation involution reads, 20V^bf^V^b=f^.

Equation (20) reveals that bi-unitary operators possess a complex Lorentz transformation structure [33] in the orthonormal basis representation with metric f^, akin to a pseudo-unitary structure [34] with a positive definite metric. Therefore, since bi-unitary operators are generated from bi-Hermitian operators, they correspond to pseudo-unitary operators with unimodular eigenvalues V| = 1 in the orthonormal basis representation [34].

3.
Implementing Non-unitary Operators with Biorthogonal Unitary Representations

Throughout this section we set ∥un2 = 1 to resolve the rescaling ambiguity in the biorthogonal vectors [35]. Then, according to Eq. (13), the action of the biorthogonal operators is equivalent to the action of its matrix representation in the orthonormal basis, 21V^bV^,|u|k.

The following lemma is useful for implementing the biorthogonal operator V^b in a dilated orthonormal basis.

Lemma 1

Let V^b=Vnm|unζm| be a 𝒩 -qubit operator expressed in the biorthogonal basis {|u〉, |ζ〉}. Consider the operator V^, 22V^=n,mVnm|nm|, which is assumed to be unitary in the orthonormal basis {|k〉}. Then, for any state |ψ〉 = ∑k ck|uk〉, the action of Vb on |ψcan be written as a 𝒩 -qubit dilation, 23n|n(V^b|ψ)n where (V^b|ψ)n denotes the n-th component of the V^b|ψ state in the {|u}〉 basis.

Proof

Define an auxiliary state |ψ¯ in the orthonormal basis {|k〉} as, 24|ψ¯=kckκk|k.

Next, we dilate the auxiliary state |ψ¯ by adding 𝒩 ancillary qubits initialized in the state |0N:|ψ¯|0N. Since ∥un2 = 1 there exist a set of unitary operators U^n such that U^n|0N=|un.

Then, a dilation operator U^ in the dilated space of 2𝒩 -qubits is defined as, 25U^=n,mVnm|nm|U^n.

Given that V^ is unitary and each of the U^n are also unitary operators, it follows that U^ is also unitary. Acting on the dilated state reads, 26U^(|ψ¯|0N)=n,mVnmcmκm|n|un.

On the other hand, the action V^b|ψ is, 27V^b|ψ=n,mVnmcmκm|un

To select the n-th component of Eq. (27), the biorthogonal projection operator Π^nb is defined as, 28Π^nb=|unζn|κn,Π^nbV^b|ψ=mVnmcmκm|un, such that 29(V^b|ψ)n=mVnmcmκm|un.

Combining Eq. (29) with the action of U^ operator in Eq. (26), and rearranging the coefficients in the tensor product, we obtain, 30U^(|ψ¯|0N)=n|n(V^b|ψ)n.

This completes the proof that the action of the V^b operator on the |ψ〉 state can be implemented in the orthonormal basis {|k〉} through the 𝒩 -qubit dilation of Eq. (23).

The key takeaway from Lemma 1 is that that if the operator V^ is unitary, then it mediates the implementation of the corresponding operator V^b expressed in the biorthogonal basis {|u〉, |ζ〉}. In particular, 31ψ¯ψ¯=ψ¯|V^V^|ψ¯=ψ˜ψ=nκn2| cn |2.

Consequently, if a non-unitary operator V^ in the orthonormal basis, 32V^=n,mvnm|nm|, possesses a counterpart operator V^b in the biorthogonal basis {|u〉, |ζ〉} such that the operator V^ is unitary, then, by Lemma 1, the non-unitary V^ can be implemented within the computational orthonormal basis {|k〉}.

In the following section, we present the explicit steps for implementing the non-unitary operator V^ in Eq. (32) on a quantum computer.

3.1.
The Implementation Algorithm

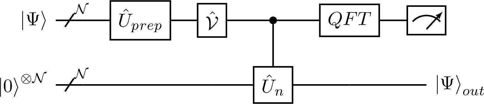
The implementation process begins with a biorthogonal amplitude preparation an1cκncn in the 𝒩 qubit state |Ψ〉 = ∑n an|n〉, performed by a unitary operator U^prep , 33|ψ¯=U^prep |Ψ=1cncn|n, where, 34c=kκn2| cn |2.

The unitary operator U^prep  will be treated as an oracle operation.

Coupling the state |ψ¯ in Eq. (33) with an 𝒩 qubit environment in the zero state |0〉⊗𝒩, we apply the V^1^ operator with V^ defined in Eq. (22), 35(V^1^)(|ψ¯|0N)=1cn,mVnmcmκm|n|0n

Subsequently, applying at most 2𝒩 consecutive 𝒩-fold controlled operators U^select  in the ancillary state, 36U^select =n|nn|U^n with U^n|0N=|un, non-orthogonal basis {|u〉} is generated. The form of the product operator U^=U^select (V^1^) has been presented in Eq. (25), 37U^(|ψ¯|0N)=1cn,m|nVnmcmκm|un.

Finally, applying either a 𝒩-fold tensor product of Hadamard gates Ĥ⊗𝒩, or more generally a quantum Fourier transform (QFT) [36] to the orthonormal basis vectors {|n〉} at the first register, 38QFT:|n12N/2k=02N1e2πink/2N|k, yields the target state V^|Ψ together with an orthogonal state |⊥〉, 39(QFT1^)U^select (V^1^)(|ψ¯|0N)==|0N1c2NV^|Ψ+|, where |(|0N1c2NV^|Ψ)=0. The final result in Eq. (39) follows from the relation V^b|ψ=V^|Ψ in the biorthogonal and orthonormal representations respectively.

Thus, a projective measurement Π^0=|0NN0|1^ in the first register, implements the non-unitary operator V^ up to a normalization factor, 40|Ψout =V^|ΨV^|Ψ, with success probability psuccess, 41psuccess =Ψ|V^V^|Ψc22N

The steps involved in the implementation process described in Eqs. (33)(40) are illustrated in Figure 1.

Figure 1.

The quantum circuit implementation of quantum operations (33)–(41) that produce the output state |Ψout V^|Ψ. The controlled operation represents a series of 2𝒩 multi-qubit controlled operations according to the definition of U^select in Eq. (36).

3.2.
Implementation Scaling and Comparison with the LCU and Sz.-Nagy Techniques

The algorithm for implementing the non-unitary operator V^, as presented in Section 3.1, is a unitary 𝒩-qubit dilation method. In this section we compare its advantages and limitations against other methods for implementing non-unitary operations, namely the Sz.-Nagy dilation [23] and the LCU method [10,15].

Our dilation consists of a quantum Fourier transform that can be implemented using O(𝒩2) elementary gates and O(2𝒩) 𝒩-fold controlled U^n gates. Hence, the overall implementation requires, at most, O(𝒩22𝒩) single qubit and Controlled-NOT (CNOT) gates. Additionally, assuming that the unitary operator V^ can be efficiently decomposed in O[poly(𝒩)] simple gates, the total implementation cost scales as O(𝒩22𝒩). Note that the implementation cost of the unitary oracle operator U^prep has not been considered in the previous analysis.

An interesting attribute of our algorithm is that, according to Eq. (41), the success probability psuccess decreases with the dimension of the non-unitary matrix V^, as psuccess ~ 1/2𝒩. However, this probability remains unchanged regardless of the number of summands of unitary operations into which V^ is decomposed. This is a striking difference with the LCU method where the success probability psuccess LCU depends on the number N of the unitary summands. The LCU method also requires log2 N ancillary qubits.

In general, any complex operator V^ can be expressed as the sum of two unitary operators in the form of [37], 42V^=||V^||2(V^1+V^2) where ||V^|| denotes the spectral norm of V^, that is the largest singular value, ||V^||=max{σ(V^)}. As a result, the LCU method can, in principle, be employed using only a single ancillary qubit with a success probability given by, 43psuccess LCU=Ψ|V^V^|Ψ||V^||2.

By comparing Eq. (43) with Eq. (41), the condition under which the biorthogonal method achieves a higher success probability than LCU is derived, 44psuccess >psuccess LCU ||V^||>c2N/2.

The probability threshold in Eq. (44) shows that the proposed biorthogonal dilation technique can outperform the LCU method for a spectrum of non-contraction operators ||V^||>1. This higher implementation probability comes at a cost of introducing N ancillary qubits, compared to a single extra qubit for the LCU method.

However, the two-unitary decomposition in Eq. (42) is not always optimal in terms of implementation cost of unitary operators V^1 and V^2. Ideally, we seek to decompose the non-unitary operator V^ into a weighted sum of 𝒩-fold tensor products in the Pauli basis { 1^,σ^x,σ^y,σ^z }N. For such a decomposition, the number N of unitary summands for an 𝒩-qubit non-unitary operator V^ scales as O(4𝒩). Therefore, the LCU method requires 2N ancillary qubits, whereas the biorthogonal dilation method requires only N ancillary qubits, offering a significant reduction in overhead resources.

For 𝒩 = 1 qubit and c ~ O(1), implementation success probability of the biorthogonal dilation method surpasses LCU for non-contraction operators satisfying ||V^||>2. Illustrative examples and comparisons with LCU are discussed in Section 3.3.

For contraction operators ||V^||1, Eq. (44) no longer holds. Therefore, the LCU method and the Sz.-Nagy unitary dilation U^V [23], 45U^V=[ V^D^V+D^VV^+ ],D^V=1^V^+V^, outperform our method. The two approaches have a significantly higher implementation success probability compared to the biorthogonal method while requiring only a single ancillary qubit.

3.3.
Application to Different Classes of Non-unitary Operations

In this section, we showcase the advantages of the proposed biorthogonal dilation method over the LCU method for implementing pseudo-unitary operators as well as non-unitary operators which have no underlying symmetry.

As discussed in Section 2.2.2, pseudo-unitary operators are generated from pseudo-Hermitian operators. Thus, the eigenvalues of a pseudo-unitary operator can be either unimodular or form complex-conjugate pairs [34]. When dictating evolution generated by a pseudo-Hermitian operator, pseudo-unitary operators play a crucial role in describing both stable and unstable regions, as well as the underlying physical mechanisms governing the transition from stability to instability in classical and quantum systems [3842].

3.3.1.
Unimodular Pseudo-Unitary Operators
Lemma 2

A bi-unitary matrix, satisfying Eq. (19), has a unitary matrix representation V^ if and only if κn = 1, ∀n.

Proof

Upon substituting Eq. (14) into Eq. (19) we obtain, 46km[ nκnVkn*Vnm ]|ukζm|=m|umζm|κm.

It follows that, 47nκnVkn*Vnm=δkmκm.

The operator V^ in Eq. (22) is unitary if and only if, 48nVkn*Vnm=δkm.

Therefore, Eq. (47) and Eq. (48) are equivalent if and only if κm = 1, for all m.

An immediate consequence of Lemma 2 is that the proposed biorthogonal method is applicable to any unimodular pseudo-unitary operator. This follows from Eq. (20) and the discussion in Section 2.2.2, where it is shown that all bi-unitary operators are biorthogonal representations of pseudo-unitary operators with a positive definite metric.

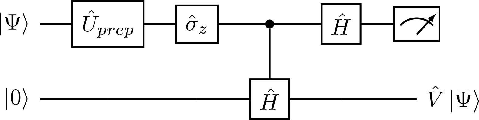
As an illustration, suppose we want to implement the following single qubit non-unitary operator, 49V^=σ^z(σ^x+iσy)=[ 1201 ], in the {|0〉, |1〉} computational basis. Here, σ^i are the Pauli matrices and V^|Ψ=(a02a1)|0a1|1, where |Ψ〉 = a0|0〉 + a1|1〉.

Operator V^ is a non-contraction ||V^||=3+22, pseudo-unitary operator [34], 50V^f^V^=f^,f^=[ 1113 ].

By choosing to decompose f^ (Eq. (6)) into the biorthogonal basis, 51|u0=|0,|ζ0=|0|1, 52|u1=|0+|12,|ζ1=2|1, the non-unitary operator V^ is converted to a bi-unitary operator, 53V^b=|u0ζ0||u1ζ1|,V^bV^b=1^b.

This is exactly the action of σ^z in the biorthogonal basis; thus, V^=σ^z. The coefficients c0, c1 for the |ψ〉 state in the {|u0〉, |u1〉} basis representation are c0 = a0a1 and c1=2a1.

Following the procedure in Section 3.1, we obtain, 54step 1=U^prep |Ψ=1c(c0|0+c1|1),step 2 =(σ^z1^)(step 1|0 )=1c(c0|0c1|1)|0step 3=CH^step 2=1c(c0|0|u0c1|1|u1)step 4=(H^1^)|step3=|01c2V^b|ψ+|V^b|ψ=V^|Ψ

The last step in Eq. (54) incorporates a 0-bit measurement in the first register while omitting the normalization factor in the output state. In addition, Ĥ gate is the Hadamard gate and is the controlled Hadamard gate, 55H^=12[ 1111 ],U^select=CH^=|00|1^+|11|H^

The success probability of this process is, 56psuccess=|a02a1|2+|a1|22(|a0a12|+2|a1|2).

The quantum circuit implementation of the operations in Eq. (54) is depicted in Figure 2.

Figure 2.

Quantum circuit implementation of non-unitary operator V^ in Eq. (49), following the procedure of Eq. (54). The measurement outcome in the first register is conditioned on the 0-bit value.

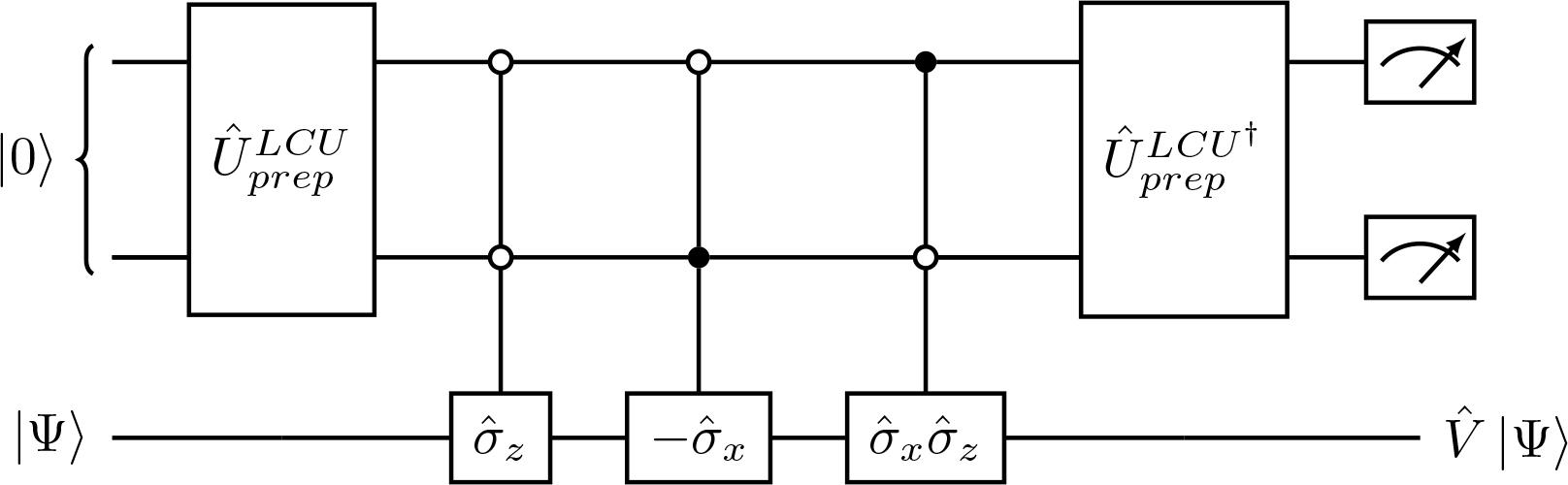
To apply the LCU method, the unitary decomposition in Eq. (49) is re-written using positive coefficients, 57V^=σ^z+(σ^x)+σ^xσ^z.

Since there are three unitary summands, U^1=σ^z,U^1=σ^x, and U^3=σ^xσ^z, two ancillary qubits are required. The corresponding preparation operator U^prepLCU acts on the ancillary register as, 58U^prepLCU|0=13(|0+|1+|2).

Defining, the following unitary two-qubit control gates, 59U^select LCU=i|ii|U^i,i=0,1,2, the implementation sequence is, 60U^prepLCUU^selectLCUU^prepLCU(|0|Ψ)=13|0V^|Ψ+|.

Consequently, the success probability of implementing V^ is, 61psuccessLCU=|a02a1|2+|a12|9.

Comparing Eq. (61) with Eq. (56) we note that we note that success probability for implementing the non-unitary operator V^ using LCU method is smaller than when using the biorthogonal method for c2 ∼ 1. In addition, the LCU accomplishes the implementation of the non-unitary operator as a two-qubit dilation, while the biorthogonal dilation accomplishes the same task with only one extra qubit. Evidently, by comparing the implementation quantum circuits illustrated in Figure 3 for the LCU and Figure 2 for the biorthogonal dilation, the LCU circuit has significantly larger depth. This includes two invokes to the oracle operation U^prepLCU as well as three two-qubit controlled gates.

Figure 3.

The LCU quantum circuit of Eq. (60), implementing the non-unitary operator V^ in Eq. (49).

Finally, it is important to highlight that the proposed LCU implementation in Figure 3 does not account for the underlying pseudo-unitary symmetry. As demonstrated in [15,43], incorporating these symmetries allows the respective operators to be implemented using a single ancillary qubit, akin to the biorthogonal dilation shown in Figure 2.

3.3.2.
Inverse Eigenvalue Pseudo-Unitary Operators and General Non-unitary Operators

By parametrizing the unimodular non-unitary matrix in Eq. (49) from the previous example as, 62V^=[ κ0κ1κ00κ1 ], with κ0 > 0, we will delineate how our method can implement non-unitary operators with diverse stability characteristics, accommodating both amplifying and dissipative effects.

The eigenvalues λ, of matrix V^ in Eq. (62) are given by λ = {κ0, κ1}. When κ0 = 1/κ1, the matrix V^ is pseudounitary with inverse eigenvalues [34]. Such operators characterize unstable physical systems [3842], arising from the spontaneous breaking of pseudo-Hermiticity symmetry. Conversely, for general values of κ0, κ1, no underlying symmetry is present, leading to dissipative instabilities [44].

Analogous to Eqs. (51) and (52), we employ the biorthogonal basis, 63|u0=|0,|ζ0=κ0(|0|1), 64|u1=|0+|12,|ζ1=2|κ1||1, with κ > 0, distinguishing two cases: κ1 < 0 and κ1 > 0.

For κ1 < 0 the non-unitary matrix V^ admits a biorthogonal representation V^<b, 65V^<b=|u0ζ0||u1ζ1|, with 66V^<=σ^z.

Therefore, the implementation process follows the same steps as in Section 3.3.1, except for the state preparation in Eq. (54), which now reads, 67|ψ¯=U^prep|Ψ=1c(κ0c0|u0+| κ1 |,c1|u1), where c=κ02c02+κ12c22. As a result, the implementation of the V^ operator for κ1 < 0 has the same quantum circuit as in Figure 2, benefiting from the advantages of the biorthogonal implementation discussed in Section 3.3.1.

For κ1 > 0, the non-unitary matrix V^ has a simpler biorthogonal representation V^<b, 68V^>b=|u0ζ0|+|u1ζ1|, which corresponds to the identity matrix, 69ν^>=1^.

Thus, implementing V^ for κ1 > 0 is essentially straightforward within the biorthogonal framework, as illustrated in Figure 4.

Figure 4.

The implementation quantum circuit for the non-unitary operator V^ in Eq. (62) with κ1 > 0. Notice that because V^>=1^ the circuit is considerably simple.

In both cases, operators V^<b and V^<b are not bi-unitary.

For general choices of κ0, κ1, where no underlying symmetry exists, the decomposition of V^ in Eq. (62) into Pauli summands, 70V^=κ0+κ121^+(κ1κ0)2(σ^x+iσ^y)+κ0κ12σ^z, can be reduced, at best, to three terms [15]. Consequently, the biorthogonal dilation provides a more resource-efficient implementation approach by incorporating one ancillary qubit compared to the two additional qubits needed for the LCU, similar to Figure 3. In the case of inverse eigenvalues, V^ is generated by an operator with pseudo-Hermiticity symmetry; hence, there exists a single ancilla qubit LCU implementation [15,43] similar to that presented in Figure 4.

3.4.
Discussion on Potential Applications

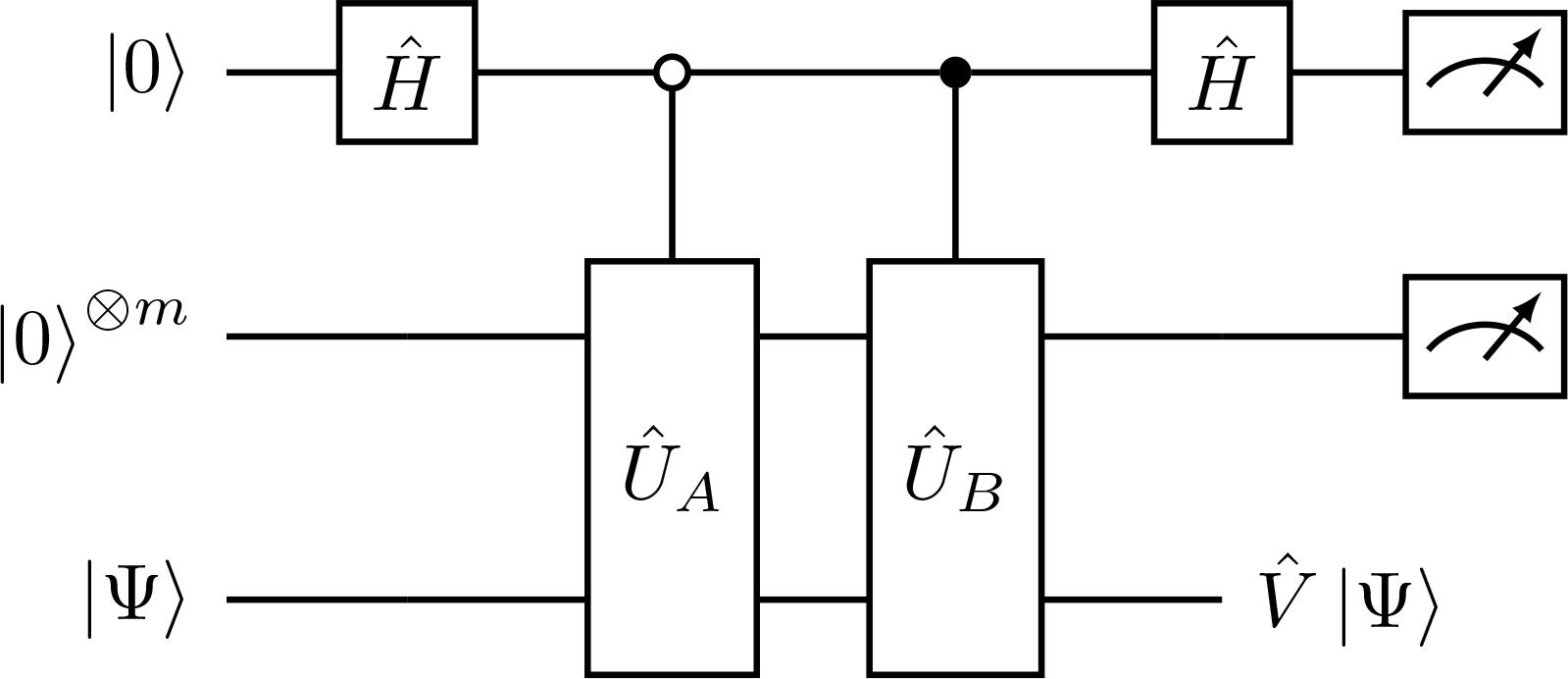
Taking into consideration the implementation scaling and the advantages of the biorthogonal dilation as presented in Section 3.2, we recommend a synergistic application of both LCU and dilation methods for efficient quantum implementation of large dimensional non-unitary operators possessing a small-dimensional non-contractive subspace. In this scenario, the LCU protocol efficiently handles the large-dimensional contraction space, whereas the present biorthogonal dilation implementation process addresses a few amplification components.

We delineate this synergistic approach as follows. Consider a 𝒩-qubit non-unitary operator V^ that can be decomposed into two non-unitary terms, 71V^=V^A+V^B where each of the V^A and V^B terms can be efficiently implemented using the LCU and the biorthogonal method, respectively. Specifically, we assume that V^A can be expressed as 72V^A=iNaiU^i,ai>0,m=log2N, where m > 1 is the number of ancillary qubits required to perform LCU and that V^B acts non-trivially only within a ℳ-qubits subspace, satisfying Eq. (44) for ℳ < < 𝒉 and ℳ ≤ m. Then, by defining the LCU and biorthogonal unitary implementations of V^A and V^B as U^A and U^B, respectively we can further perform an LCU on these black-box U^A,B unitaries using only one additional ancillary qubit. Therefore, the total number of ancillary qubits required is m + 1 The corresponding LCU-select operator is given by, 73U^select LCU=|00|U^A+|11|U^B, and the overall implementation process is schematically illustrated in Figure 5.

Figure 5.

Synergistic quantum implementation of V^|Ψ using the LCU and biorthogonal unitary implementations U^A and U^B for the non-unitary components V^A and V^B, respectively.

The hybrid approach is well suited for implementing non-unitary operations in positive only and possibly tracepreserving (PTP) quantum systems. These systems typically occur when the initial correlations between the open system ρS and the environment ρE cannot be ignored, leading to a non-separable composite density matrix ρSEρSρE. Then, the reduced dynamics of the open system, 74ρS=(ρS)=TrE(U^SEρSEU^SE), extends beyond the Markovian completely positive and trace-preserving (CPTP) Kraus representation [1,20,45–49]. Therefore, the reduced dynamics can be non-linear and PTP. In Eq. (74), U^SE is the unitary operator acting on the composite system. For example, in the linear PTP quantum channels, 75ρS=(ρS)=jγjK^jρSK^j,γj=±1, for some of the participating Kraus operators K^j applies that K^j >1. Hence, a quantum computing implementation of Eq. (75) is not possible under the Sz.-Nagy dilation of the Kraus operators as in [18]. Instead, it could be facilitated by the proposed LCU–biorthogonal approach.

Another potential application is for the pseudo-Hermitian systems [4,5,29–31], which have either a purely real spectrum or a complex conjugate eigenvalues, marking a transition from stable dynamics to instabilities and dissipation in classical physical systems [4042]. At this point, the dissipative part in the associated non-unitary dynamics can be treated with the LCU while the amplifying part can be managed with the biorthogonal method. In quantum systems the break of a pseudo-Hermitian symmetry is related with the violation of adiabaticity [26]. Thus, instead of solving the time-dependent pseudo-Hermiticity relation for the time-dependent metric operator f^(t) [29,50], the biorthogonal framework can be employed [28] and, subsequently, the biorthogonal dilation method for quantum implementation of the non-adiabatic dynamics.

4.
Conclusions

In this paper, we have established a 𝒩-qubit dilation protocol for the quantum implementation of a 2𝒩-dimensional non-unitary operation for which the LCU method can be challenging. The implementation cost of the method scales as Ô(𝒩22𝒩) using a single unitary oracle.

The algorithm requires that the non-unitary operator possesses a biorthogonal matrix representation with unitary structure. While this requirement may seem restrictive, such a construction is fairly general [51]. The implementation success probability of the algorithm decreases with the dimensionality of the non-unitary operator while remaining unaffected by the number of unitary summands, regardless of the stability properties and the underlying symmetries of the non-unitary operator.

Therefore, when the non-unitary operator of interest is not a contraction or when it describes complex stability dynamics, the biorthogonal dilation method could be proven more efficient than the LCU method. Thus, it can be leveraged as a sub-routine in the quantum implementation of a general non-unitary operator possessing a small dimensional component with non-contractive characteristics for which a proper biorthogonal basis representation can be constructed [52]. Such dynamics are present in realistic physical systems in both quantum and classical realms, notably in PTP open quantum systems, pseudo-Hermitian as well as general non-Hermitian systems.

DOI: https://doi.org/10.2478/qic-2025-0007 | Journal eISSN: 3106-0544 | Journal ISSN: 1533-7146
Language: English
Page range: 141 - 155
Submitted on: Dec 24, 2024
Accepted on: Mar 5, 2025
Published on: May 26, 2025
Published by: Cerebration Science Publishing Co., Limited
In partnership with: Paradigm Publishing Services
Publication frequency: 1 issue per year
Related subjects:

© 2025 Efstratios Koukoutsis, Panagiotis Papagiannis, Kyriakos Hizanidis, Abhay K. Ram, George Vahala, óscar Amaro, Llucas I Iñigo Gamiz, Dimosthenis Vallis, published by Cerebration Science Publishing Co., Limited
This work is licensed under the Creative Commons Attribution-NonCommercial-NoDerivatives 4.0 License.