Quantum entanglement is a crucial resource in quantum communication [1]. Yet, the long-distance transmission of quantum information is often compromised by environmental noise [2], which can significantly impair the efficiency of establishing direct long-distance entanglement connections. To mitigate this, a prevalent approach involves the use of intermediate devices known as “relays”, coupled with various foundational communication protocols. Key among these are entanglement swapping [3,4] and entanglement distillation [5,6], which are supplemented by more intricate protocols like recursive and nested repeater protocols [7,8,9]. Consider each participant as a node comprising a set of information carriers, and regard each bipartite state with partial entanglement among these information carriers across nodes as a link. This conceptualization effectively creates a network model that captures the spatial distribution of entanglement resources, commonly referred to as a quantum network (QN) [10].
Entanglement percolation is a statistical physics theory that characterizes the entanglement transmission on QNs. In 2007, Acín and others extended classical percolation theory to QN, proposing classical entanglement percolation (CEP) [10], and the quantum entanglement percolation (QEP)[10] which are probabilistic. Later the QEP is extended to QNs whose resource pairs are mixed states [5], tripartite entanglement (GHZ states) [11], and random networks [12,13,14,15].
In 2021, Meng and others proposed a deterministic entanglement transmission scheme [16] based on concurrence [17]. On this basis, the concurrence percolation theory (ConPT) [16,17] has been established between two arbitrarily distant nodes. In Ref. [16], they mainly studied the entanglement percolation problem of some specific regular [18] lattices as shown in Figure 1 based on the ConPT.

Four examples of regular networks. (a) Bethe lattice. (b) Square lattice. (c) Honeycomb lattice. (d) Triangular lattice.
In the aforementioned lattices, when the peripheral nodes are disregarded, each node in the network has the same number of connections (i.e., the degree is the same), and the networks are highly symmetric, thus qualifying as regular networks. However, in real life, regular networks are relatively rare, and most are irregular networks (i.e., the degree is different) [18]. Therefore, we study more irregular networks based on the ConPT, focusing on their characteristics. We explore QNs model based on the widely used butterfly network [19] and the parallel-then-series network [20] where each link represents a entangled two-qubit pure state with the concurrence c.
In butterfly networks, the degree of each node is unequal, and in parallel-then-series networks, the degree of each node is also different when the number of parallel resource states between adjacent nodes varies, hence both are considered irregular networks. Our main discoveries are as follows:
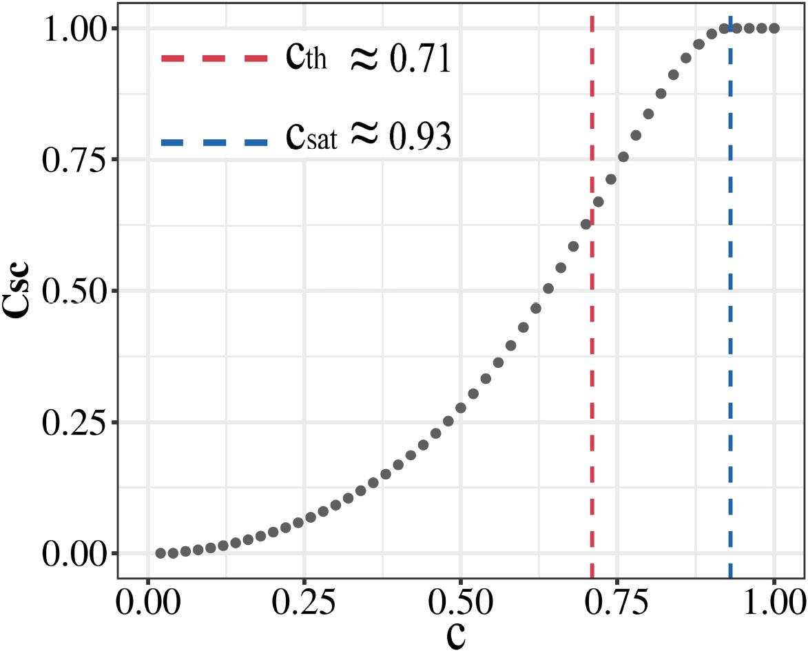
For the butterfly network, through calculation and numerical simulation, we find that the entanglement percolation threshold [16] and the saturation point [16] of c is approximately 0.71 and 0.93 when the precision is 0.02 under the ConPT.
For the parallel-then-series network, we find that the threshold can be calculated by fixing the number of parallel resources. The saturation point, on the other hand, is jointly determined by both the minimum number of parallel resources between all adjacent nodes and the concurrence of resource states. Additionally, we calculate the entanglement thresholds and saturation points for several specific parallel-then-series networks, and we also derive an interesting result through analysis: if the number of parallel resource states between nodes and the concurrence of the shared resource states are fixed, then there exists a critical number of nodes such that when the number of nodes exceeds this critical value, all subsequent nodes will share maximally entangled states among them.
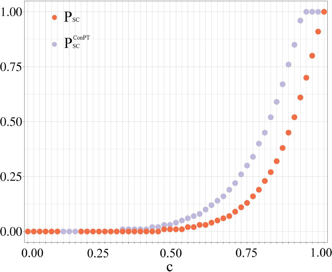
Furthermore, we compare the concurrence percolation and the CEP based on the aforementioned QNs and find that the concurrence percolation indeed demonstrates a quantum superiority.
Analyzing and calculating these helps us address the problem of efficient transmission resource allocation.
The organization of this paper is as follows. In Section 2, we briefly introduce some basic concepts. In Section 3, we calculate the entanglement transmission threshold and saturation point for the butterfly network. In Section 4, we address the computation of the entanglement transmission threshold and saturation point for the parallel-then-series network.
Consider two distant nodes A and B that originally do not share entangled states, connected by an n-node QN 𝒢θ(n). Each pair of nodes connected by a link shares a same resource state
In the ConPT, the weight of each link is characterized by the concurrence of the state,
After performing deterministic local operations and classical communication (LOCC) [21] operations on the nodes, we ultimately establish entanglement between A and B. This process is known as entanglement percolation.
For a QN, given nodes A and B, the topology can be categorized into different types (Figure 2). Topologies Figure 2a to Figure 2e are considered to be serial-parallel [16], but the topology shown in Figure 2f is not, because there is a “bridge” [16,22] as shown by the red line in the QN compared to Figure 2e.

Different QN topologies between A and B. (a) Simple series QN. (b) Simple parallel QN. (c) Parallel-then-series QN. (d) Series-then-parallel QN. (e) Series-parallel QN. (f) General QN.
Most QNs can be considered as being in series-parallel. Based on the series-parallel network [16], Ref. [16] presents a deterministic entanglement transmission scheme, which can be succinctly described as the series-parallel rule (see Table 1) [16].
Connectivity rules of ConPT.
| ConPT | |
|---|---|
| Series rule | C = c1 c2 ⋯ |
| Parallel rule |
|
Here, both C and ci, where i = 1, 2, ⋯, represent the degree of entanglement concurrence. If C is formed by ci in series, that is, C = seri(c1, c2, …), then according to the series-parallel rule, we have C = c1c2 ⋯. We denote the rule as C = seri(c1, c2, …) and C = para(c1, c2, ⋯), respectively. The sum of weights of all paths in this QN is referred to as the sponge-crossing concurrence [16,17] denoted as CSC. For an arbitrary QN, the CSC can be represented by the original concurrence c of each resource state.
Moreover, for a finite-size scaling network, the entanglement percolation threshold cth in Ref. [16] under this rule is defined as the value of c that makes the second derivative of CSC is zero,
Given the precision ɛ, we define the approximate saturation point csat under ɛ as:
In a series-parallel network, the calculation of CSC can be only carried out using the rules in Table 1. However, the current QNs still encompass some non-series-parallel networks (such as bridge circuits [16,23] ). For these types of QNs, Meng and others [16] proposed the star-mesh (SM) transform [16,24]. Next, we elucidate this process through a simple QN example, to remove node R from the Figure 3 (by simulating the mechanism of LOCC [21], we can sever the quantum entanglement between node R and all nodes connected to it, effectively excising node R from the QN), allowing the remaining nodes to form a complete network, namely a triangular network, we need to recalculate the entanglement between connections using the series-parallel rule.

SM transform. The left network becomes the right one after removing node R through the SM transform.
Since removing a node does not affect the value between two nodes in a QN under the serial-parallel rule, that is:
The Butterfly network [19] is an irregular network topology as shown in Figure 4a, where its advantages in parallel computing and data transmission optimization are particularly pronounced. Thus, we aim to investigate the advantages of the butterfly network through the lens of entanglement percolation. In this section, we discuss the issue of entanglement percolation in butterfly networks under the series-parallel rule. Clearly, the QN will become a series-parallel network after removing nodes 1 and 4, and the specific simplification process as shown in Figure 4.

Process of the entanglement transmission on a butterfly network. (a) The initial butterfly network. (b) The butterfly network after removing node 1 through SM transform. (c) The butterfly network after removing nodes 2 and 3 in Fig. (b). (d) The butterfly network after removing node 4 in Fig. (c) through SM transform. (e) The butterfly network after removing node 5 in Fig. (d) by performing series-parallel operations. Here, links with varying line colors denote the weights of the connections, which correspond to the degree of concurrence between the two nodes.
In Figure 4, the deep blue links represent the initial entanglement concurrence c of each resource pair. In the first step, we remove node 1 through the SM transform, resulting in Figure 4b. Where the red links indicate the entanglement concurrence x
In the second step, we remove nodes 2 and 3 using the series (topology) rule, resulting in Figure 4c. Where the yellow links represent entanglement concurrence c2 after the series operation. Let α represents the entanglement concurrence generated by the parallel connection of c2 and x, where α = para(c2, x). Then we have that
In the third step, we proceed to remove node 4 using the SM transform. In Figure 4d, the light blue link represents the entanglement concurrence y and the green link represents the entanglement concurrence y′, and the purple link represents the entanglement concurrence y″ satisfying the equation:
Let β represents the entanglement concurrence generated by the parallel connection of α and y′, where β = para(α, y′). Thus, β satisfies
Let α represents the entanglement concurrence generated by the parallel connection of c and y″, where γ = para(c, y″). Then we obtain
In the fourth step, we eliminate the remaining nodes between A and B using series-parallel rule. In Figure 4f, the black link represent the entanglement concurrence βγ after series connection below A and B, The final value of the sponge-crossing concurrence CSC is the entanglement concurrence value after y and βγ are connected in parallel, where CSC = para(y, βγ), i.e.,
Now we want to compare the concurrence percolation with the CEP [10]. For the CEP, the connection between two nodes is the sum of the weights of all paths between them, determining the probability of singlet state formation [15]. This sum weight is referred to as the classical “sponge-crossing” probability, denoted as PSC. By replacing the original weight of each link in the ConPT with the classical bond percolation p [25] of the state, and utilizing the CEP, then can derive the series-parallel rule as illustrated in Table 2 [16].
Connectivity rules of CEP.
| CEP | |
|---|---|
| Series rule | p = p1p2 ⋯ |
| Parallel rule | 1 − p = (1 − p1)(1 − p2) ⋯ |
In the case where nodes share an entangled state |ψ(θ)〉 (Eq. (1)), then, from Eq. (2), we derive that
Due to the difficulty in finding an analytical solution to the Eq. (11), we use numerical analysis obtain the results for Table 3. To more vividly demonstrate the quantum superiority of the butterfly network under the ConPT, we plot the relationship between c and CSC (Figure 5), as well as the relationship between PSC and

The scatter plot of c and CSC in the butterfly network under the ConPT. The black scatter plot represents the relationship graph between c and CSC, the red dashed line is the entanglement percolation threshold cth and the blue dashed line is the saturation point csat under the concurrence percolation.

Comparison of
The data supporting the Figure 5 and the Figure 6 in the butterfly network.
| c | CSC |
| PSC |
|
|
|---|---|---|---|---|---|
| 0.66 | 0.543678214 | 0.0013 | 0.0598251 | 7.1932 | 0.160706 |
| 0.68 | 0.584345788 | 0.0006 | 0.0733271 | 9.1772 | 0.188495 |
| 0.70 | 0.626347348 | 0.0004 | 0.0895879 | 10.3325 | 0.220455 |
| 0.72 | 0.668926005 | −0.0005 | 0.108726 | 11.7100 | 0.256671 |
| 0.74 | 0.711917832 | −0.00038694 | 0.131535 | 13.6725 | 0.297737 |
| 0.76 | 0.754400424 | −0.0014 | 0.158477 | 15.3625 | 0.343585 |
| 0.78 | 0.796496077 | −0.0021 | 0.190103 | 17.7075 | 0.395356 |
| 0.92 | 0.99929325 | −0.0069 | 0.605555 | 20.2300 | 0.962410 |
| 0.94 | 1 | −0.0094 | 0.699814 | 9.1200 | 1 |
| 0.96 | 1 | −0.0094 | 0.802165 | −35.4075 | 1 |
These results will contribute to the study of resource allocation problems in butterfly networks, aiding network designers in ensuring the minimum resource requirements for effective data transmission while avoiding excessive resource investment in the early stages of research.
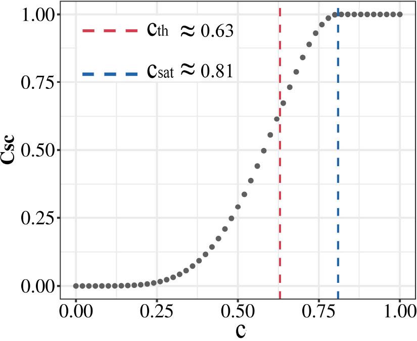
In this section, we study the parallel-then-series QNs (i.e. type (c) networks in Figure 2). The QN goes from A to B, there are nodes R1, R2, R3,..., Ri−1 between nodes A and B (treat node A as R0, treat node B as Ri). Between nodes Ri and Ri−1, there are ki shared resource states with an entanglement concurrence of c, as shown in Figure 7. Where ki is any positive integer (i.e., the degree of each node is not equal). Next, we calculate the percolation threshold and saturation point of this QN under the series-parallel rule with the results presented in Table 1.

Parallel-then-series QN network.
According to the series-parallel rule, we can deduce that the entanglement percolation formula for the above network is
In the formula, Ci is the entanglement concurrence shared between the nodes Ri and Ri−1 after the series-parallel rule, and CSC is the sponge-crossing concurrence of the nodes A and B.
Direct calculation of the analytical solution for the percolation threshold cth of this network is quite difficult. Here, we only calculate the analytical solution for its saturation point csat.
Next we calculate the saturation point of Eq. (13), it is known that the saturation point, csat, is given by the limit as CSC approaches 1, i.e., csat = limCSC→1 c. To achieve CSC = 1, it is sufficient to ensure that Ci = 1 hold for all i, i.e.
Regarding the calculation of percolation threshold cth for such network, we present the following example, where all ki = 3 and i = 5 (there are 5 sets of resource states, each of which is composed of 3 paralleled ones). Under these specific conditions, we calculate the percolation threshold, cth, for this type of network:
We compare the concurrence percolation [16,17] and CEP [10] based on the aforementioned QN, and obtain Figures 8 and 9 through numerical analysis methods. The results indicate that under a precision ɛ = 0.02, the threshold for the concurrence percolation cth ≈ 0.63 and for the

The scatter plot of c and CSC in the parallel-then-series network under conditions ki = 3 and i = 5. The black scatter plot represents the relationship graph between c and CSC, the red dashed line is the entanglement percolation threshold cth and the blue dashed line is the saturation point csat under the concurrence percolation.

Comparison of
The data supporting the Figure 8 and the Figure 9 for the parallel-then-series network under conditions ki = 3 and i = 5.
| c | CSC |
| PSC |
|
|
|---|---|---|---|---|---|
| 0.60 | 0.5551 | 2.8157 | 0.0277 | 4.6301 | 0.168216 |
| 0.62 | 0.6142 | 0.4345 | 0.0369 | 5.6487 | 0.210849 |
| 0.64 | 0.6734 | −2.2899 | 0.0487 | 6.7974 | 0.260721 |
| 0.66 | 0.7317 | −5.3403 | 0.0634 | 8.0677 | 0.318373 |
| 0.68 | 0.7878 | −8.6893 | 0.0816 | 9.4416 | 0.384068 |
| 0.70 | 0.8405 | −12.2992 | 0.1039 | 10.89 | 0.458188 |
| 0.72 | 0.8882 | −16.1206 | 0.1308 | 12.3698 | 0.540542 |
| 0.74 | 0.9294 | −20.0926 | 0.163 | 13.821 | 0.630925 |
| 0.76 | 0.9627 | −24.1425 | 0.201 | 15.1645 | 0.729428 |
| 0.78 | 0.9863 | −28.1861 | 0.2452 | 16.298 | 0.835038 |
| 0.80 | 0.9986 | −32.1289 | 0.2962 | 17.0934 | 0.947103 |
| 0.82 | 1 | −36.1567 | 0.3541 | 17.3919 | 1 |
| 0.84 | 1 | −40.1238 | 0.4189 | 16.9994 | 1 |
| 0.92 | 1 | −55.7857 | 0.7331 | 2.745 | 1 |
| 0.94 | 1 | −59.7285 | 0.8166 | −6.4183 | 1 |
| 0.96 | 1 | −63.6713 | 0.895 | −20.064 | 1 |
In Figure 7, under this QN, we focus on analyzing a special case where the number of parallel connections between adjacent nodes in the QN increases geometrically, the network goes from A to B, there are nodes R1, R2, R3,..., Rm−1 between nodes A and B (treat node A as R0, treat node B as Rm). Between nodes Rm and Rm−1, there are km (m and k are both positive integers) shared resource states with an entanglement concurrence of c. The entanglement percolation formula for this QN configuration is
In the formula, Cm is the entanglement concurrence shared between the Rm and Rm−1 nodes after the series-parallel rule are applied. Now we consider the simplest case of Eq. (15), the formula for ( k = 2 ) :
We calculate its saturation point csat by using Eq. (4),
Additionally, in this QN, we also derive an interesting result through analysis: if k and c are fixed, there exists a m such that
In this paper, we study two irregular QNs—the butterfly network and the parallel-then-series network based on a deterministic entanglement transmission scheme (ConPT). We calculate the approximate of the entanglement percolation thresholds and saturation points for these QNs under certain accuracy. Moreover, we compare the concurrence percolation and the CEP under these two types QNs, and then find that the concurrence percolation demonstrates quantum superiority. The calculation of entanglement transmission thresholds and saturation points has practical significance for the optimization of subsequent types of QNs and quantum resource allocation issues.
There have been no research findings on deterministic entanglement percolation schemes for high-dimensional complex QNs. Therefore, it is essential to continue exploring how to define swapping and concentration functions to adapt to high-dimensional complex QNs. Additionally, delving into the properties of infinite-dimensional QNs is another question worth considering deeply.