Pleural effusions are characterised by the accumulation of fluid in the pleural space, which can result from various common medical conditions, such as congestive heart failure, bacterial pneumonia and malignancy (1, 2). Thoracocentesis, also known as needle thoracostomy, is a procedure used to remove excess pleural fluid for diagnostic and therapeutic purposes (1), and is the third most commonly performed procedure in the intensive care unit (2).
Clopidogrel, a thienopyridine antiplatelet agent, works as a selective and irreversible inhibitor of ADP-induced platelet aggregation by binding to the P2Y12 purinoreceptor on platelets (3). P2Y12 inhibitors are widely prescribed for various cardiovascular conditions, primarily improving outcomes in ischemic cardiovascular events (3). Consequently, many patients requiring thoracentesis are also using clopidogrel for various clinical indications.
Current guidelines for periprocedural management of coagulation and bleeding risk generally recommend withholding clopidogrel for 5 days before invasive procedures (4). However, these guidelines are not specific to thoracentesis (5). The overall risk of major bleeding during thoracentesis is generally low, ranging from 1% to 3% (6). Additionally, discontinuing P2Y12 inhibitors before invasive procedures may increase the risk of adverse vascular events, particularly in patients with coronary artery disease who require ongoing antiplatelet therapy (6–8).
Given the need for robust and specific evidence regarding the risks of continuing clopidogrel during thoracentesis, we conducted a meta-analysis to assess the incidence of major bleeding events in patients using clopidogrel and other P2Y12 inhibitors during thoracentesis and other invasive pleural procedures. Our goal is to determine whether discontinuing clopidogrel before the procedure is necessary. We specifically focussed on major bleeding events as these are the events that would most significantly influence clinical decision-making and the management of patients on P2Y12 inhibitors during thoracentesis.
This systematic review and meta-analysis were conducted in accordance with the Preferred Reporting Items for Systematic Reviews and Meta-Analyses (PRISMA) guidelines (9). A comprehensive literature search was performed across the electronic databases PubMed/MEDLINE, Cochrane Library and Embase from inception through July 2025.
Included studies met the following criteria: (i) observational or randomised design, (ii) published as conference abstracts or full manuscripts and (iii) report on major bleeding events (such as haemothorax, a decrease in haemoglobin levels exceeding 2 g/dL, or the need for red blood cell [RBC] transfusion) in patients who continued using a P2Y12 inhibitor during (4) thoracentesis, indwelling catheter placement, or small-bore chest tube placement.
Studies were excluded if they met any of the following conditions: (i) overlapping populations, (ii) insufficient data on major bleeding events, or (iii) reported bleeding events in patients using antiplatelet therapy without specifically addressing the subgroup using continuous P2Y12 inhibitors. The search strategy employed terms for ‘P2Y12 receptor antagonists’ (e.g., ‘clopidogrel’, ‘ticagrelor’, ‘prasugrel’, ‘thienopyridines’) and ‘thoracentesis’ (e.g., ‘small-bore chest tube’, ‘chest tube’), along with various synonyms and related phrases. Additionally, the study was registered with PROSPERO before the initial literature search under the registration number CRD42025644044.
Following the initial search, two authors independently removed duplicates and screened the studies for inclusion. Any discrepancies were resolved through third-party adjudication.
Baseline characteristics, including gender, mean age, ultrasonography use, concurrent aspirin use and procedure type, were extracted from each study and summarised. The proportion of bleeding events was also extracted for subsequent statistical analysis.
Risk of bias was independently assessed by two authors using the Newcastle-Ottawa Scale (NOS) (10), which was chosen due to the non-randomised nature of the included studies. Each study was evaluated across the nine domains proposed by the NOS. Discrepancies were resolved through consensus or third-party adjudication.
To assess the robustness of the findings, a leave-one-out sensitivity analysis was performed. A funnel plot was visually examined, and Egger’s test was conducted to assess asymmetry, which would indicate potential publication bias.
Meta-analyses were conducted to assess the proportion of bleeding events across the entire sample, with subgroup analyses focussing specifically on studies involving thoracentesis. Pooled estimates and their corresponding 95% confidence intervals (CIs) were calculated using random-effects models, accounting for variability between studies. Heterogeneity was evaluated using the I2 statistic and Cochran’s Q test, with thresholds of P-value <0.10 and I2 > 25% indicating significant heterogeneity.
The Freeman-Tukey double arcsine transformation was applied to handle zero-event studies, ensuring their inclusion without distorting the meta-analytic estimates. While there is some controversy in the literature regarding its use, the Freeman-Tukey transformation is widely accepted, with recent studies supporting its application in prevalence meta-analysis (11–14). To assess the robustness of the findings, a leave-one-out sensitivity analysis was conducted by systematically excluding each study and evaluating its impact on the pooled results.
To evaluate potential publication bias, a funnel plot was generated to visualise the distribution of studies by effect sizes and standard errors, and Egger’s test was performed to assess asymmetry. A non-significant P-value from Egger’s test indicated no substantial evidence of publication bias.
Additionally, meta-regression analyses were conducted to explore the influence of potential moderators, specifically year of publication and total sample size, on the pooled estimates. These analyses aimed to identify temporal trends or the impact of study size on the overall results.
All statistical analyses were performed using R software (version 4.2.1; The R Foundation), utilising the ‘meta’ and ‘metafor’ packages.
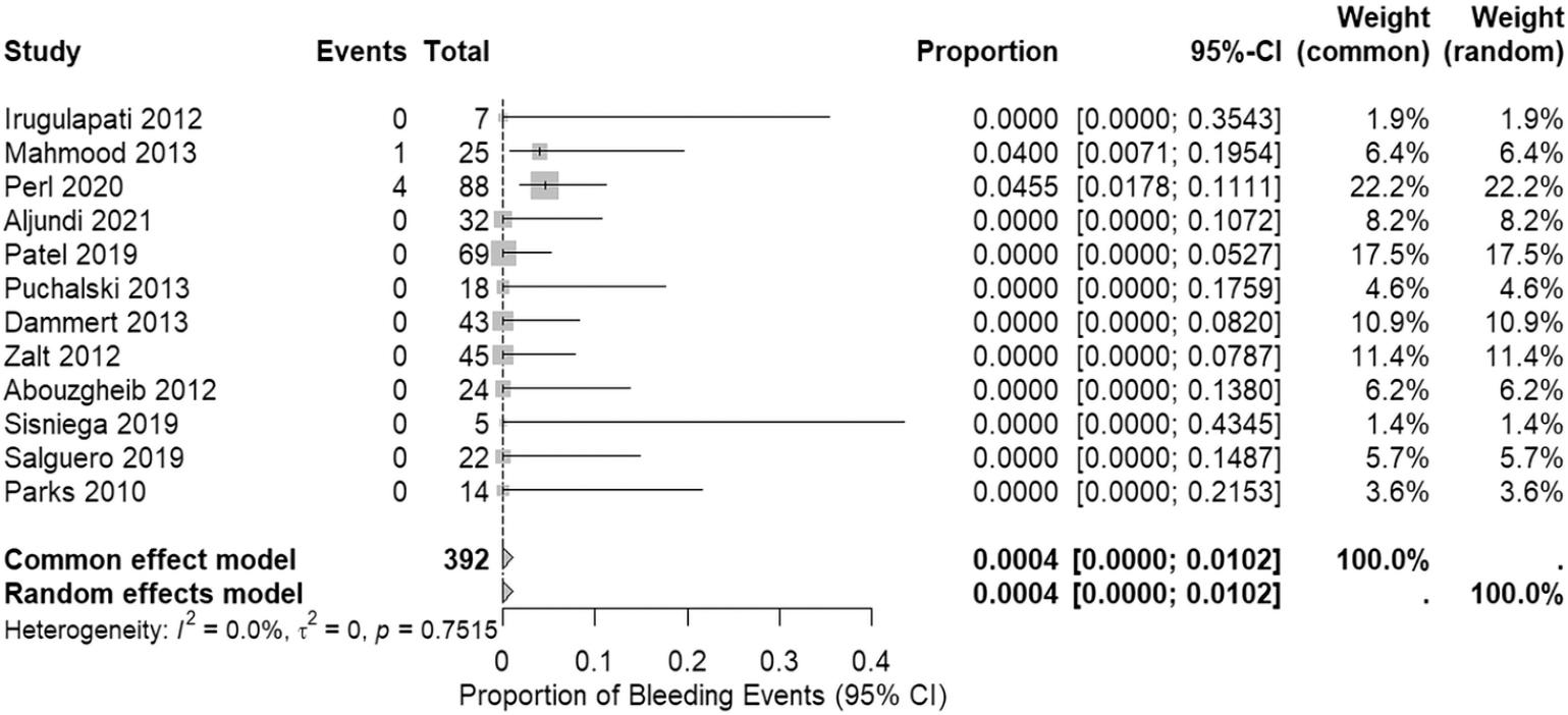
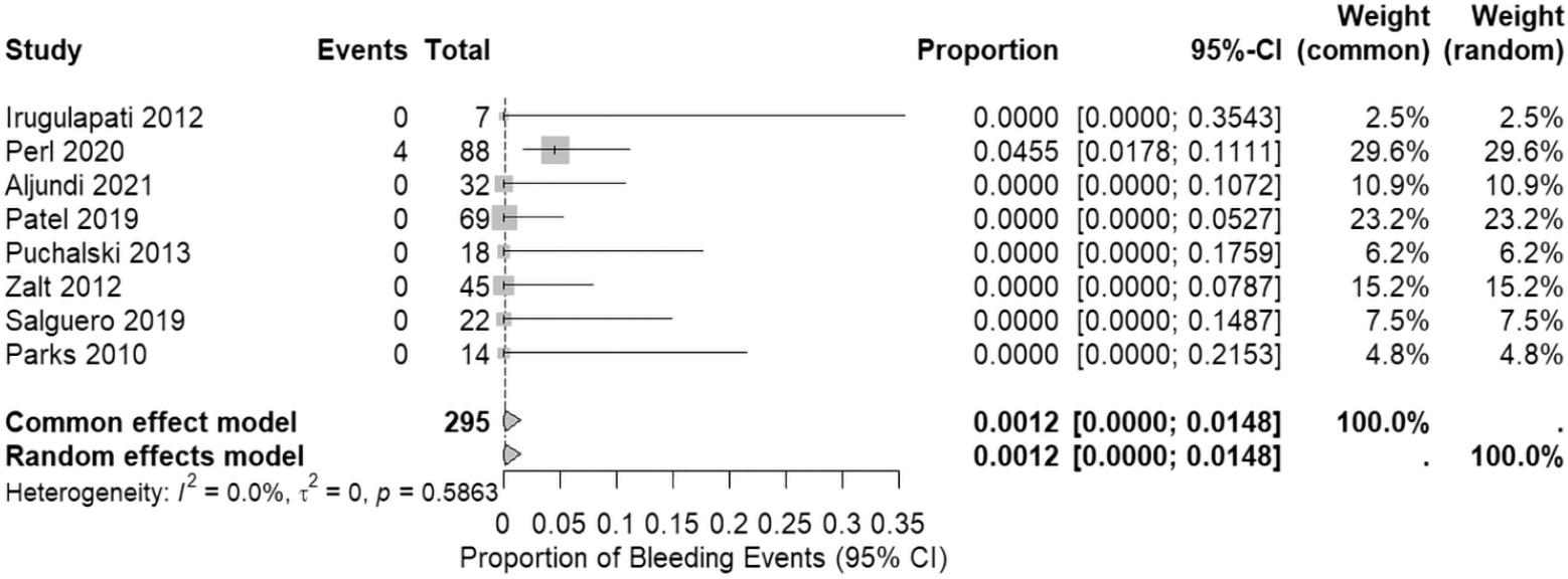
The initial search yielded 491 records. After removing duplicates, 135 records were excluded. Upon screening the titles and abstracts of the remaining 356 studies, 23 full-text articles were assessed for eligibility. Ultimately, 12 studies met the inclusion criteria for the meta-analysis (5, 8, 15–24). Of these, eight studies focussed exclusively on thoracentesis and were included in the final analysis (5, 8, 16–18, 20, 23, 24) (Figure 1). The pooled analysis included a total of 392 participants, approximately 49% male, with a mean age of >70 years. Most procedures were performed under ultrasonography guidance, and clopidogrel was the most commonly studied medication. The main characteristics of the studies are summarised in Table 1.

PRISMA 2020 flow diagram of the study selection process. PRISMA, Preferred Reporting Items for Systematic Reviews and Meta-Analyses.
Baseline characteristics of included studies.
| Study | Design | Mean age | Participants/procedures | Male (%) | USG% | Concurrent aspirin (%) | Renal disease (%) | Procedure type | Drug studied |
|---|---|---|---|---|---|---|---|---|---|
| Mahmood et al. (15) | Prospective | 70.2 ± 13.3 | 25 | 21 (84) | 100 | 22 (88) | 3 (12) | TC + SBCT | Clopidogrel |
| Perl et al. (5) | Retrospective | 77.5 ± 11 | 88 | 53 (60) | 25 | 41 (46) | 26 (29.5) | TC | Clopidogrel |
| Irugulapati et al. (8)* | Retrospective | N/A | 7 | N/A | N/A | N/A | 5 (71.4) | TC | Clopidogrel |
| Parks et al. (24)* | Retrospective | 65 (41–86) | 14 | 5 (35.6) | N/A | N/A | N/A | TC | Clopidogrel |
| Salguero et al. (23)* | Retrospective | N/A | 22 | N/A | 100 | 20 (91) | N/A | TC | Clopidogrel + Ticagrelor |
| Sisniega et al. (22)* | Retrospective | N/A | 5 | N/A | N/A | 2 (40) | N/A | IPC | Clopidogrel + Prasugrel |
| Abouzgheib et al. (21) | Retrospective | 73.1 | 24 | 8 (44.4) | 100 | 13 (72.2) | N/A | SBCT | Clopidogrel |
| Zalt et al. (20) | Prospective | 75.5 (41–96) | 45 | 9 (30) | 100 | N/A | N/A | TC | Clopidogrel |
| Dammert et al. (19) | Retrospective | 71 ± 10 | 43 | 21 (70) | 100 | 27 (91) | 4 (15) | SBCT | Clopidogrel |
| Puchalski et al. (18) | Prospective | N/A | 18 | N/A | 100 | N/A | N/A | TC | Clopidogrel |
| Patel et al. (17) | Retrospective | N/A | 72 | N/A | 100 | 58 (80) | N/A | TC | Clopidogrel + Ticagrelor |
| Aljundi et al. (16) | Retrospective | N/A | 32 | N/A | N/A | N/A | N/A | TC | Clopidogrel + Ticagrelor + Prasugrel |
IPC, indwelling pleural catheter; N/A, not available; SBCT, small bore chest tube; TC, thoracocentesis; USG, ultrasound guidance.
Conference abstracts.
The NOS assessment indicated that the included studies generally exhibited average quality, ranging from high to intermediate. A common limitation across several studies was the absence of a control group, the lack of detailed information on the causes of effusions and insufficient comparisons between patient subgroups (Table 2).
The NOS for assessing the quality of studies in meta-analyses.
| Studies | Selection | Comparability | Outcome | Total score | |||||
|---|---|---|---|---|---|---|---|---|---|
| Author, year | Selection of cases | Selection of controls | Ascertainment of exposure | Outcome not present at the start | Comparability of cases and controls | Assessment of outcome | Follow-up duration | Follow-up % | |
| Mahmood et al. (15) | 1 | 1 | 1 | 1 | 0 | 0 | 1 | 1 | 6 |
| Perl et al. (5) | 1 | 1 | 1 | 0 | 0 | 1 | 1 | 1 | 6 |
| Irugulapati et al. (8)* | 1 | 0 | 1 | 0 | 0 | 1 | 1 | 1 | 5 |
| Parks et al. (24)* | 1 | 0 | 1 | 0 | 0 | 1 | 1 | 1 | 5 |
| Salguero et al. (23)* | 1 | 0 | 1 | 0 | 0 | 1 | 1 | 1 | 5 |
| Sisniega et al. (22)* | 1 | 1 | 1 | 1 | 0 | 1 | 1 | 1 | 7 |
| Abouzgheib et al. (21) | 1 | 0 | 1 | 1 | 0 | 1 | 1 | 1 | 6 |
| Zalt et al. (20) | 1 | 0 | 1 | 1 | 0 | 1 | 1 | 1 | 6 |
| Dammert et al. (19) | 1 | 0 | 1 | 1 | 0 | 1 | 1 | 1 | 6 |
| Puchalski 2013 | 1 | 1 | 1 | 0 | 1 | 0 | 1 | 1 | 6 |
| Patel et al. (4) | 1 | 0 | 1 | 0 | 0 | 1 | 1 | 1 | 5 |
| Aljundi et al. (16) | 1 | 1 | 1 | 0 | 2 | 1 | 1 | 1 | 8 |
NOS, Newcastle-Ottawa Scale.
Original studies were analysed in the quality assessment. Total quality scores ≤5 indicate high risk of bias. A study could be awarded a maximum of one star for each item except for ‘Control for important factor or additional factor’. 0 = Criteria not fulfilled (the study did not meet the requirements for this criterion); 1 = Criteria fulfilled (the study meets the requirements for this criterion).
Conference abstracts.
The overall proportion of bleeding events across all included studies was extremely low, at 0.0004 (95% CI: 0.0000–0.0102), with no observed heterogeneity (I2 = 0%, Figure 2). A subgroup analysis focussing specifically on studies involving thoracentesis yielded a similarly low bleeding event rate of 0.0012 (95% CI: 0.0000–0.0148), again with no heterogeneity (I2 = 0%, Figure 3). These findings demonstrate a minimal risk of bleeding events across both the overall sample and the thoracentesis subgroup, providing robust support for the safety profile of the procedure in these contexts.

Forest plot showing the pooled proportion of bleeding events across all included studies. CI, confidence interval.

Forest plot showing the pooled proportion of bleeding events in the thoracentesis-only subgroup. CI, confidence interval.
The leave-one-out sensitivity analysis confirmed the robustness of the pooled effect, with the effect size ranging narrowly from 0.1006 (with the exclusion of Perl et al. (5)) to 0.1431 (with the exclusion of Patel et al. (17)). CIs remained stable, and tau2 (heterogeneity) consistently equalled 0, indicating no between-study variability (Figure 4). Funnel plot visualisation revealed no apparent asymmetry, and Egger’s test for funnel plot asymmetry (t = –0.0169, df = 10, P = 0.9868) indicated no significant asymmetry, suggesting a minimal risk of publication bias. These results affirm the reliability of the meta-analysis, as no individual study disproportionately influenced the overall effect, and publication bias was not detected (Figure 5).

Leave-one-out sensitivity analysis for the proportion of bleeding events with Freeman-Tukey Double Arcsine transformation applied for zero events. CI, confidence interval.

Funnel plot for the proportion of bleeding events with Freeman-Tukey Double Arcsine transformation applied for zero events.
Meta-regression analyses explored the impact of year of publication and total sample size on the pooled effect size. Neither year (coefficient = 0.0012, P = 0.889) nor sample size (coefficient = 0.0007, P = 0.563) showed significant associations with the effect size, with CIs for both moderators overlapping zero (Figure 6). The residual heterogeneity (tau2 = 0) and I2 (0.00%) indicated that the model fully accounted for the variability, or that the data lacked substantial heterogeneity. The combined test for moderators was also non-significant (QM = 0.729, P = 0.695). These findings suggest that neither temporal trends nor study size influenced the pooled effect size, further supporting the consistency of the meta-analytic results.

Meta-regression for total sample size (top) and year of publication (bottom) versus effect size for the proportion of bleeding events in the included studies.
To our knowledge, this is the first meta-analysis to specifically evaluate the major bleeding events risk associated with clopidogrel and other P2Y12 inhibitors in patients undergoing thoracentesis and similar pleural procedures. This focussed analysis includes data from 12 studies involving 392 patients and provides key findings that contribute important insights to the field. Specifically, we observed: (i) an exceptionally low rate of bleeding events across the overall sample, with a proportion of 0.0004 (95% CI: 0.0000–0.0102); (ii) similarly low bleeding event rates in the thoracentesis subgroup (0.0012; 95% CI: 0.0000–0.0148); (iii) no significant heterogeneity observed across studies (I2 = 0%), underscoring the consistency of the findings; (iv) studies of intermediate to high quality, as assessed using the NOS; and (v) no publication bias, as confirmed by funnel plot analysis, with no significant modification of effect size observed in the meta-regression. Our findings align with previous studies examining bleeding risks in thoracentesis, but our focussed analysis of clopidogrel users provides more targeted insights. For example, a meta-analysis by Gordon et al. (25) focussed on pneumothorax in thoracentesis and reported a 6% incidence of pneumothorax, which is notably higher than the bleeding rates observed in this study. This discrepancy may reflect the difference in the primary outcome (pneumothorax vs. bleeding) and the broader scope of their analysis, which encompassed various procedures. Similarly, the systematic review by Herman et al. (26) identified low bleeding rates in thoracentesis, but it did not quantitatively summarise these findings, limiting its ability to draw definitive conclusions regarding bleeding risk.
In contrast, the meta-analysis by Fong et al. (27) also found low bleeding rates in patients with uncorrected coagulopathy, but it included a much more heterogeneous sample that spanned a variety of procedures and patient conditions, resulting in significant heterogeneity (I2 = 80%). This is in stark contrast to this study, which demonstrated zero heterogeneity (I2 = 0%), indicating the consistency of our findings despite the smaller sample size. The heterogeneity in Fong et al.’s (27) analysis may be attributed to the inclusion of diverse patient populations and procedures, whereas our focus on clopidogrel use in thoracentesis allowed for more consistent results. Furthermore, Fong et al. (27) did not perform a meta-regression, which we included in our analysis and found no significant effect modifiers, adding confidence to the robustness of our findings.
These results are particularly relevant given that >40% of the general population undergoing thoracentesis has one or more bleeding risk factors, and 25% of patients requiring pulmonary procedures are on at least one antiplatelet or anticoagulant agent (28, 29). Despite recent recommendations suggesting the safety of pleural procedures without discontinuing medication (30), and evidence highlighting the increased risk of thrombotic events upon discontinuation (31), recent studies indicate that this remains a dilemma in clinical practice. In a survey, approximately only half of attending physicians stated they would perform thoracentesis in a patient on P2Y12 inhibitors (32).
This study is not without limitations: (i) The small sample size, despite the substantial number of included studies, may undermine the statistical power of the analysis. However, our focus on clopidogrel use in thoracentesis prioritised low heterogeneity over a larger sample size, which enhances the accuracy and specificity of our findings for this specific clinical indication. While this narrowed focus limits the generalisability of the results, it provides valuable insights that complement larger, more heterogeneous meta-analyses and further supports the safety of thoracentesis in patients on clopidogrel. (ii) Most studies reported zero bleeding events, necessitating the use of statistical adjustments, such as the Freeman-Tukey double arcsine transformation, to include them in the meta-analysis. While this approach is widely accepted in the literature for handling zero-event studies, it may still introduce some bias, particularly in relation to rare but serious bleeding events. (iii) Several of the included studies were conference abstracts, and although they met the necessary inclusion criteria, they typically lacked detailed information on the population, interventions and outcomes. (iv) The lack of studies that evaluated the placement of indwelling pleural catheters limits the generalisability of the findings to this particular procedure. Additionally, differences in techniques, procedural indications, the use of concomitant aspirin and lack of control groups or randomised trials in the primary studies may further contribute to bias. Nevertheless, we attempted to account for these sources of bias by applying a leave-one-out sensitivity analysis and meta-regression to evaluate the impact of moderators and ensure the robustness of the results.
The meta-analysis revealed an extremely low proportion of bleeding events in patients undergoing thoracentesis and small-bore chest tube placement, with no significant heterogeneity across studies. Both the overall analysis and the thoracentesis subgroup analysis showed consistent findings. While the results are promising and provide modest support for the safety of performing these procedures without discontinuing P2Y12 inhibitors, especially clopidogrel, the lack of standardisation in bleeding classification and the small sample size limit the generalisability of the findings. There is still a need for larger, high-quality data from primary studies to confirm the safety of clopidogrel use during thoracentesis across a broader range of clinical scenarios.