Figure 1.

Figure 2.

Figure 3.

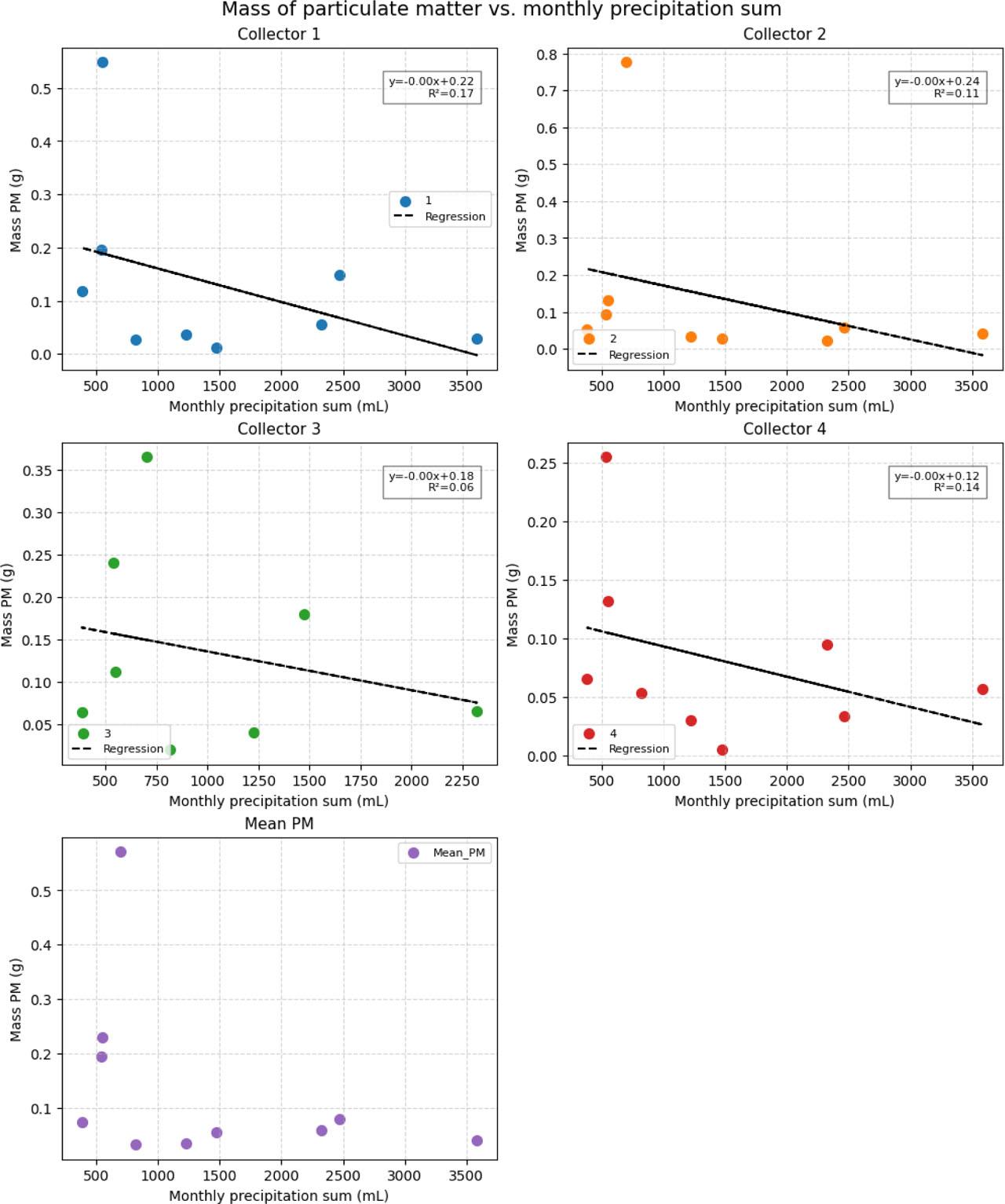
Figure 4.

Figure 5.

Coordinates of the sampling points
| No. | GPS |
|---|---|
| 1 | 50°38′12.1 ″N, 20°42′23.1 ″E |
| 2 | 50°37′46.6 ″N, 20°42′33.9 ″E |
| 3 | 50°37′49.2 ″N, 20°43′07.5 ″E |
| 4 | 50°37′48.7 ″N, 20°44′08.7 ″E |
Average monthly concentrations of the main ions calculated based on the determination in 4 collectors (n_a_ = below detection level)
| Ions | Cl− | SO42− | NO3− | Fe3+ | Na+ | NH4+ | Mg2+ | K+ | Ca2+ | OA |
|---|---|---|---|---|---|---|---|---|---|---|
| Unit | mg/l | mm | ||||||||
| VI | 1.32 | 2.23 | n.a. | n.a. | 1.22 | 0.27 | 0.51 | 1.33 | 9.23 | 5.86 |
| VII | 0.00 | 0.00 | n.a. | n.a. | 0.80 | 0.24 | 0.54 | 0.65 | 11.34 | 20.66 |
| VIII | 1.58 | 3.79 | 0.15 | 0.0743 | 1.38 | 0.52 | 0.75 | 1.49 | 20.42 | 4.50 |
| IX | 29.16 | 31.68 | 12.78 | n.a. | 20.50 | 0.66 | 19.85 | 3.87 | 72.24 | 6.85 |
| X | 1.93 | 2.29 | 16.50 | n.a. | 1.49 | 2.60 | 1.34 | 5.68 | 19.74 | 19.45 |
| XI–XII | 0.74 | 0.82 | 1.33 | n.a. | 0.64 | 0.97 | 0.05 | 0.14 | 0.48 | 30.03 |
| I | 1.05 | 1.11 | 1.35 | n.a. | 0.78 | 0.78 | 1.10 | 0.25 | 8.23 | 12.35 |
| II | 0.61 | 1.34 | 2.27 | n.a. | 0.66 | 1.66 | 0.22 | 0.26 | 2.72 | 10.26 |
| III | 3.01 | 8.17 | 0.12 | n.a. | 1.89 | 1.11 | 0.36 | 1.02 | 12.86 | 3.20 |
| IV | – | – | – | n.a. | – | – | – | – | – | – |
| V | 1.12 | 3.52 | 0.62 | n.a. | 1.29 | 0.26 | 1.20 | 3.78 | 36.14 | 4.61 |
| Average annual value | 4.05 | 5.50 | 4.39 | 0.07 | 3.07 | 0.91 | 2.59 | 1.85 | 19.34 | 11.78 (117.77 in total) |
Mass of particulate matter in bulk precipitation
| Point number | 1 | 2 | 3 | 4 | Average value for the month |
|---|---|---|---|---|---|
| Unit | g | ||||
| VI | 0.5144 | 0.7759 | 0.3654 | – | 0.5519 |
| VII | 0.1488 | 0.057 | – | 0.0335 | 0.0798 |
| VIII | 0.1961 | 0.0920 | 0.2401 | 0.2547 | 0.1957 |
| IX | 0.0268 | – | 0.0195 | 0.0531 | 0.0331 |
| X | 0.0556 | 0.0220 | 0.0654 | 0.0945 | 0.0594 |
| XI–XII | 0.0284 | 0.0399 | – | 0.0569 | 0.0417 |
| I | 0.0124 | 0.0274 | 0.1792 | 0.0046 | 0.0559 |
| II | 0.0368 | 0.0321 | 0.0403 | 0.0303 | 0.0349 |
| III | 0.1182 | 0.0530 | 0.0640 | 0.0650 | 0.0751 |
| IV | 0.2576 | 0.0751 | 0.0877 | 0.1205 | 0.1354 |
| V | 0.5478 | 0.1310 | 0.1117 | 0.1314 | 0.2305 |
| Annual average | 0.1643 | 0.1121 | 0.1304 | 0.0820 | 0.1370 |