Figure 1.

Figure 2.

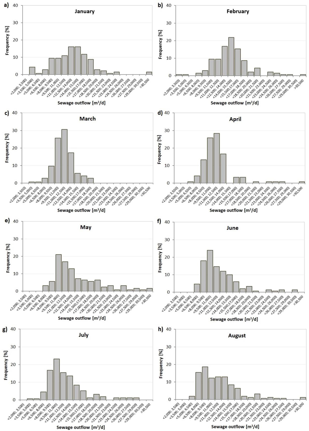
Figure 3.

Figure 4.

Figure 5.

Figure 6.

Figure 7.

Descriptive statistics for daily sewage outflows in particular years during the period 2019–2022
| Parameter | Year | ||||
|---|---|---|---|---|---|
| 2019 | 2020 | 2021 | 2022 | ||
| Min | [m3/d] | 2,520 | 3,820 | 7,630 | 5,760 |
| Max | 43,150 | 32,970 | 50,440 | 31,590 | |
| Avg | 13,969 | 11,716 | 12,250 | 12,438 | |
| S | 4,783 | 4,626 | 4,520 | 3,572 | |
| CV | [−] | 0.34 | 0.39 | 0.37 | 0.29 |
Descriptive statistics for daily sewage outflows in particular months of the period 2018–2023
| Parameter | Month | ||||||||||||
|---|---|---|---|---|---|---|---|---|---|---|---|---|---|
| I | II | III | IV | V | VI | VII | VIII | IX | X | XI | XII | ||
| Min | [m3/d] | 3,750 | 2,520 | 3,550 | 6,470 | 6,870 | 7,010 | 4,240 | 5,870 | 6,050 | 7,050 | 6,600 | 3,540 |
| Max | 35,260 | 32,970 | 18,430 | 31,090 | 43,150 | 30,320 | 28,370 | 50,440 | 35,430 | 31,350 | 26,670 | 31,590 | |
| Avg | 13,546 | 14,856 | 11,631 | 11,890 | 14,635 | 12,525 | 12,543 | 12,185 | 12,603 | 12,184 | 10,658 | 11,505 | |
| S | 4,591 | 4,232 | 2,332 | 3,725 | 5,768 | 4,263 | 4,343 | 5,403 | 4,925 | 4,047 | 2,916 | 4,318 | |
| CV | [−] | 0.34 | 0.28 | 0.20 | 0.31 | 0.39 | 0.34 | 0.35 | 0.44 | 0.39 | 0.33 | 0.27 | 0.38 |