The term “inflow” pertains to the additional volume of sewage that enters treatment facilities due to precipitation, often overwhelming their capacity [Beheshti, Sægrov 2018]. Infiltration is the entry of groundwater into sewer systems through leaks and cracks, which also adds to unnecessary treatment loads. The combined effects of these processes, collectively known as inflow and infiltration (I&I), can disrupt regular treatment procedures and lead to operational inefficiencies [Pawlowski et al. 2014].
Kozłowski et al. [2022] illuminated the pressing issue of uncontrolled rainwater inundating sanitary sewage systems, which leads to significant hydraulic strain on both the sewage infrastructure and wastewater treatment plants (WWTPs). Their work highlighted a glaring limitation in conventional linear regression models, finding them inadequate for precisely forecasting sewage volumes. Time-honoured time series decomposition methods overlook pivotal external factors, most notably rainfall. These oversights pose tangible risks; rainwater ingress can skew vital sewage quality metrics like pH, temperature and BOD, thereby compromising the efficacy of sewage treatment processes in WWTPs that leverage activated sludge technology [Oliveira et al. 2020].
Orhon et al. [2023] studied the ramifications of rain-induced fluctuations, revealing heightened concentrations of inorganic substances during wet intervals. Similarly, Jwara et al. [2020] found that increased hydraulic loads on WWTPs attenuated the efficiency of biological nutrient removal, especially ammonia mitigation. Such hydraulic burdens invariably undermined essential nutrient-removal mechanisms. Sonnenschein and Ziel [2023] emphasize that accurately forecasting sewage inflows is crucial, not only for operational efficiency, but also to optimize energy consumption in WWTPs, particularly during adverse weather conditions.
An essential objective of this study is to assess the resiliency of wastewater treatment systems against flow changes induced by rainfall. This means evaluating how treatment processes react to abrupt increases in flow rates and understanding the potential for system overload or reduced treatment efficiency during occurrences of heavy rainfall [Somorowska, Łaszewski 2019]. This task involves delving into innovative engineering solutions, real-time monitoring systems and adaptive management strategies to optimize treatment efficacy, which entails minimizing energy consumption and curtailing maintenance expenses during and after rainfall events. The reclamation and reuse of sewage also addresses the issue of water scarcity while it enhances material efficiency [Thorndahl et al. 2016].
The intricate interplay between rainfall and wastewater treatment systems has become a critical concern in the face of escalating urbanization and the unpredictable impacts of climate change [Labonté-Raymond et al. 2020]. Given the rising frequency of severe climatic events, from heavy rainfall to prolonged droughts, it is crucial to evaluate their impact on wastewater treatment plants. These climatic occurrences alter the hydraulic load of WWTPs, thereby influencing their operational efficiency. Predicting sewage inflows, especially in the context of varying rainfall patterns, becomes paramount for WWTPs integrated with combined sewage systems.
A significant method for achieving this prediction involves harnessing multi-model forecasts, specifically focusing on Regional Climate Models [Saikia et al. 2023]. Recent scholarly efforts have centred on crafting tailored predictive models for this specific challenge. A rigorous analysis by Wang et al. [2021] evaluated the effectiveness of four regression models: Linear regression, ridge regression, ElasticNet regression, and lasso regression. This study provided valuable insights into forecasting sewage inflow volumes to WWTPs based on different precipitation scenarios.
Saikia et al. [2022] undertook a detailed spatio-temporal analysis encompassing 14 WWTPs of diverse capacities. This investigation meticulously scrutinized sewage inflow dynamics, examining probability curves related to exceeding sewage inflow volumes across various rainfall categories. Such research findings are instrumental in aligning sewage management strategies with predicted rainfall forecasts.
Rainfall-induced inflow and infiltration (I&I) pose significant challenges to the efficiency and performance of wastewater treatment facilities and necessitate a deeper understanding of these dynamics [Cahoon, Hanke 2017]. This article examines recent research endeavours that illuminate the multifaceted consequences of rainfall on wastewater treatment systems and offer valuable insights into strategies for enhancing their resilience. Climate change introduces both advantages and risks to this industry, heightening awareness about water issues and reclamation markets while simultaneously influencing those processes [Semadeni-Davies 2004].
This present study interconnects distinct studies to comprehensively scrutinize climate change's repercussions on sewage reclamation and reuse. This framework outlines treatment processes and objectives and methodically examines existing research [Vo et al. 2014]. Rainfall can trigger various effects on wastewater treatment processes that predominantly materialize through inflow and infiltration dynamics [Gooré et al. 2017]. The dynamics of rainfall-induced inflow and infiltration shape the efficiency needs of wastewater treatment facilities. Understanding this nuanced interplay is crucial and highlights the imperative to deeply comprehend these processes [Rezaee, Tabesh 2022].
Sonnenschein and Ziel [2023] investigated the challenges of predicting sewage inflow to WWTPs, particularly during heavy rainfall events. They developed a seasonal model to refine short-term predictions, since operators encounter difficulties in managing sewage systems amidst fluctuating weather conditions. Stańczyk et al. [2023] highlighted the significance of both current- and preceding-day rainfall in forecasting sewage inflow for optimal WWTP management. This article delves into the complex effects of rainfall on wastewater treatment systems and offers valuable insights to improve those systems' resilience. The challenges posed by both sewage outflow and rainfall underscore the importance of accurate assessments and adaptive strategies for maintaining wastewater treatment plant stability. The primary objectives of this article are: a) examining the correlation between sewage outflows and rainfall intensity and b) categorizing rainfall levels to analyse their specific impact on sewage-discharge volumes.
The research was conducted at a collective wastewater treatment plant serving the municipalities of Chrzanów and Trzebinia in southern Poland, along with the neighbouring rural areas. This facility operates as a mechanical-biological treatment plant, receiving a diverse range of sewage from domestic, industrial and commercial sources. The WWTP's Population Equivalent (PE) was set at 134,167, with a maximum daily designed capacity of 35,000 m3/d and an average daily hydraulic capacity of 16,000 m3/d. The catchment area, where sewage is conveyed to the treatment facility, is equipped with an extensive sanitary sewer network spanning approximately 188 km, and complemented by a combined sewer system covering roughly 121 km. Notably, 95% of these channels rely on gravity flow for sewage transport. The sewage distribution system, in addition to sanitary sewers, includes stormwater conduits with a length of around 26 km.
An overwhelming majority (99%) of the agglomeration's population (52,120 people) relies on this sewer network; only a small fraction of residents (fewer than 670) utilize septic tanks and on-site sewage treatment units. The annual volume of municipal sewage conveyed through the collective sewer system to this wastewater treatment plant amounts to 2,194,000 m3/year, while 39,000 m3/year of sewage is transported to the facility by septic tank trucks. The sewage network data and sewage quantities mentioned above are reflective of conditions as of the year 2021.
The sewage treatment process commences during the mechanical phase of the WWTP, where automatic bar and belt screens remove the largest pollutants. Subsequently, the sewage is directed to the two grit chambers. The treated sewage passes through a distribution chamber and enters radial primary settling tanks, thereby completing the mechanical-treatment phase. It then proceeds to the biological treatment section of the WWTP, where three biological reactors operate using activated sludge technology. These reactors facilitate processes occurring within designated anaerobic, anoxic and aerobic zones. The final step in the treatment process involves the clarification of sewage within two radial secondary settling tanks. The sedimented and thickened sludge is recirculated back to the biological chambers, while the treated sewage is ultimately discharged into the Chechło River, a tributary of the Vistula River that serves as its natural recipient.
The research materials encompassed sewage outflow measurements collected from June 2018 to March 2023 at the wastewater treatment plant. Hourly sewage flow data were acquired from the WWTP's operator and subsequently converted into daily flow values for analysis. The dataset from this nearly five-year research period comprised a total of 1,729 daily sewage outflow values. Additionally, days with rainfall were utilized in the analysis, using measurements taken from the rainfall station located closest to the WWTP. Rainfall data were sourced from the Institute of Meteorology and Water Management – National Research Institute.
For sewage discharges in particular years, the study determined basic descriptive statistics, including minimum (Min), maximum (Max), average (Avg), standard deviation (S) and coefficient of variation (CV). The same descriptive statistics were calculated for the analysis of sewage outflows in particular months. The calculated coefficient of variation (CV) values were interpreted as follows: below 25% – low variability; between 25% and 45% – moderate variability; between 45% and 100% – high variability; and above 100% – very high variability.
As part of the hydraulic-load analysis of the WWTP, frequency histograms of daily sewage discharges within specified size ranges were also developed for both the whole research period (2018–2023) and for particular months (January–December). To accomplish this, 20 class intervals were defined, each with a span of 1,500 m3/d. The first class interval covered flows ranging from 2,000–3,500 m3/d, while the last interval encompassed sewage outflows exceeding 30,500 m3/d.
The study also examined the relationship between daily sewage discharges and daily rainfall heights. The strength of the relationship between the variables, expressed by the calculated correlation coefficient (r), was interpreted according to the Guilford's classification [Guilford 1965]: r = 0.0 – no correlation; 0.0 < r ≤ 0.1 – negligible correlation; 0.1 < r ≤ 0.3 – weak correlation; 0.3 < r ≤ 0.5 – moderate correlation; 0.5 < r ≤ 0.7 – strong correlation; 0.7 < r ≤ 0.9 – very strong correlation; 0.9 < r < 1.0 – nearly perfect correlation; and r = 1.0 – perfect correlation.
To explore the relationship between sewage discharges and rainfall intensity, seven rainfall groups (from “A” to “G”) were defined. Each group was characterised by specific rainfall heights, and days meeting the conditions for recorded rainfall were assigned to each group. Within each rainfall group, basic descriptive statistics (Min, Max, Avg, CV) were determined for daily sewage outflows. The rainfall groups were divided similarly to those in Chmielowski et al. [2016a, b]:
Group “A” – rain-free days;
Group “B” – rainfall greater than 0 mm/d and less than or equal to 5 mm/d;
Group “C” – rainfall greater than 5 mm/d and less than or equal to 10 mm/d;
Group “D” – rainfall greater than 10 mm/d and less than or equal to 15 mm/d;
Group “E” – rainfall greater than 15 mm/d and less than or equal to 20 mm/d;
Group “F” – rainfall greater than 20 mm/d and less than or equal to 25 mm/d;
Group “G” – rainfall greater than 25 mm/d.
Daily sewage discharge volumes, along with daily rainfall heights recorded between June 2018 and March 2023, are depicted in the chart in Figure 1. The calculated average daily sewage discharge for this period amounted to 12,518 m3/d. The maximum daily hydraulic capacity of the WWTP, which was 35,000 m3/d, was exceeded only a few times during the multi-year period, with the highest recorded sewage flow reaching 50,440 m3/d.

Daily sewage outflows from the WWTP and daily rainfalls in the period 2018–2023
The coefficient of variation (CV) calculated for the multi-year period (CV = 0.36) indicates moderate variability in daily sewage discharges. However, the average daily sewage discharge for particular years fluctuated between 11,716 m3/d (in 2020) and 13,969 m3/d (in 2019) (Figure 2, Table 1). Each year exhibited moderate variability in daily sewage discharges (CV = 0.29 ÷ 0.39) (Table 1). Other descriptive statistics for daily sewage flows in particular years of the analysed period are presented in Table 1. The average daily rainfall height determined for individual years (average for the whole year) achieved similar values, ranging from 2.05 mm in 2022 to 2.50 mm in 2021 (Figure 2). Since complete measurement data for all months were not available for the years 2018 and 2023, the analysis below, as shown in Figure 2 and Table 1, pertains exclusively to the years 2019, 2020, 2021 and 2022.

Average daily sewage outflows from the WWTP and average daily rainfalls in particular years of the period 2019–2022
Descriptive statistics for daily sewage outflows in particular years during the period 2019–2022
| Parameter | Year | ||||
|---|---|---|---|---|---|
| 2019 | 2020 | 2021 | 2022 | ||
| Min | [m3/d] | 2,520 | 3,820 | 7,630 | 5,760 |
| Max | 43,150 | 32,970 | 50,440 | 31,590 | |
| Avg | 13,969 | 11,716 | 12,250 | 12,438 | |
| S | 4,783 | 4,626 | 4,520 | 3,572 | |
| CV | [−] | 0.34 | 0.39 | 0.37 | 0.29 |
where: Min = minimum, Max = maximum, Avg = average, S = standard deviation, and CV = coefficient of variation
Analysis of the daily sewage discharge frequency from the WWTP at various magnitude levels was performed, based on the data from the period 2018–2023. The histogram in Figure 3 reveals that the size of the sewage outflows fell predominantly within the range of 8,000–14,000 m3/d. This accounts for a substantial 65% of all recorded outflows. In particular, sewage discharges within the class interval of 9,500 to 11,000 m3/d were the most common, making up 20% of the total. Following closely were sewage flows in the 11,000–12,500 m3/d and 8,000–9,500 m3/d ranges, each comprising approximately 16%, while those in the 12,500–14,000 m3/d range accounted for 13%.

Frequency of daily sewage outflows at specific magnitudes from the WWTP in the period 2018–2023
The frequency of sewage discharges in subsequent class intervals gradually decreased. For example, the volumes of sewage flows exceeding 20,000 m3/d constituted just 6% of the total. Analysis employing histograms to depict the frequency distribution of sewage discharges at specific magnitudes is a common practice in similar scientific studies, as seen in Bugajski [2007, 2009], Młyński and Chmielowski [2016], Młyński et al. [2016], Masłoń [2017], Bugajski et al. [2021] and Młyńska et al. [2022].
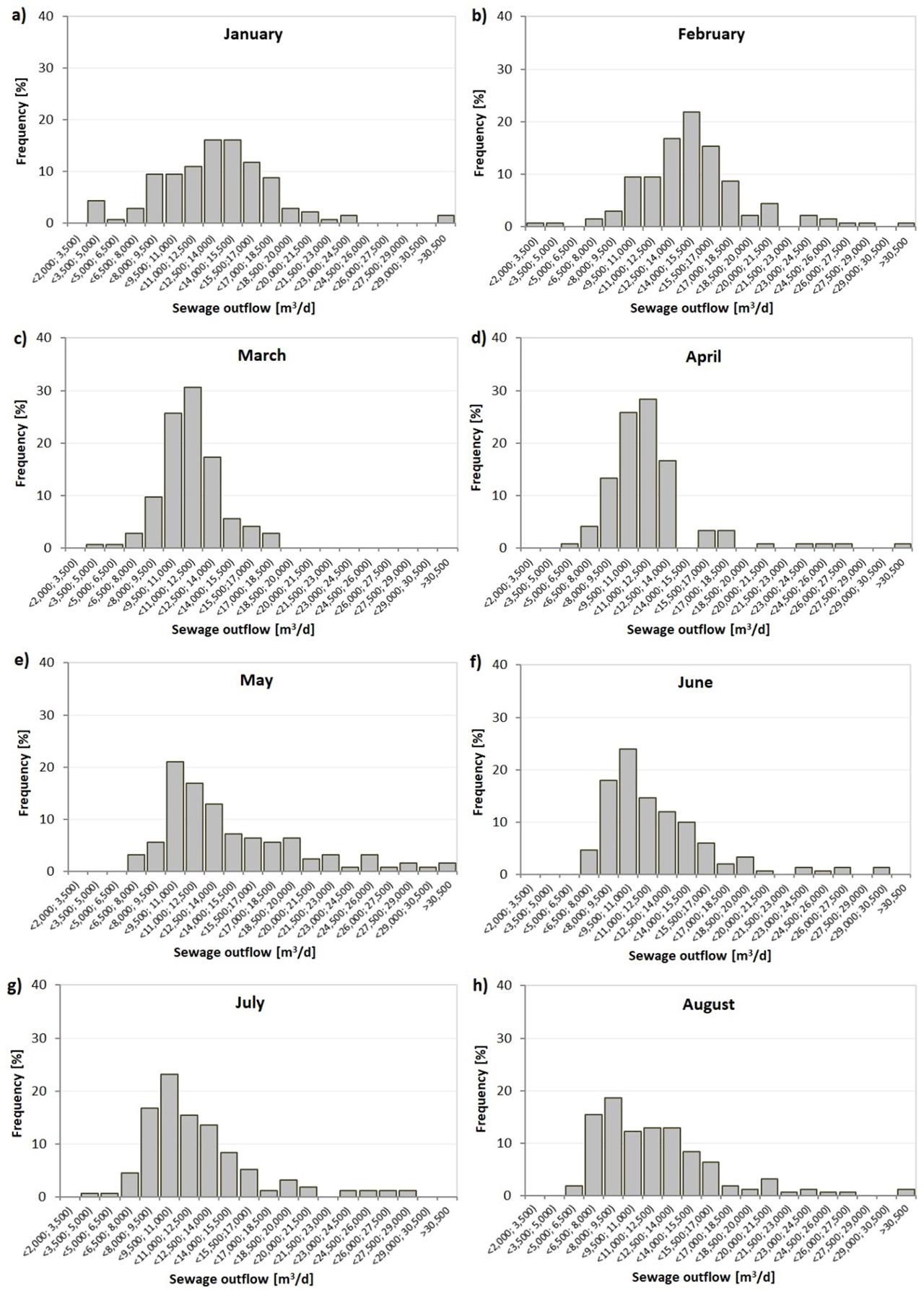
Based on the data coming from the period 2018–2023, a thorough analysis of daily sewage discharges for each month was performed (Table 2). The graphical representation in Figure 4 highlights the trends in average sewage flow values for these months, alongside the corresponding average daily rainfall levels. Significant variations in average sewage flow values across different months are readily apparent (as illustrated in Figure 4). Notably, during specific periods, such as March, April, the span from June to October and in December, the average daily flow consistently fell within the range of 11,000–12,000 m3/d. In contrast, February exhibited the highest sewage flow rates, primarily due to factors such as snowmelt and the inflow of meltwater into the sanitary sewer system. Similarly, May experienced heightened flow rates, owing to its intense rainfall. In both February and May, the average daily sewage flow reached nearly 15,000 m3/d.

Average daily sewage outflows from the WWTP and average daily rainfalls in specific months during the period 2018–2023
Descriptive statistics for daily sewage outflows in particular months of the period 2018–2023
| Parameter | Month | ||||||||||||
|---|---|---|---|---|---|---|---|---|---|---|---|---|---|
| I | II | III | IV | V | VI | VII | VIII | IX | X | XI | XII | ||
| Min | [m3/d] | 3,750 | 2,520 | 3,550 | 6,470 | 6,870 | 7,010 | 4,240 | 5,870 | 6,050 | 7,050 | 6,600 | 3,540 |
| Max | 35,260 | 32,970 | 18,430 | 31,090 | 43,150 | 30,320 | 28,370 | 50,440 | 35,430 | 31,350 | 26,670 | 31,590 | |
| Avg | 13,546 | 14,856 | 11,631 | 11,890 | 14,635 | 12,525 | 12,543 | 12,185 | 12,603 | 12,184 | 10,658 | 11,505 | |
| S | 4,591 | 4,232 | 2,332 | 3,725 | 5,768 | 4,263 | 4,343 | 5,403 | 4,925 | 4,047 | 2,916 | 4,318 | |
| CV | [−] | 0.34 | 0.28 | 0.20 | 0.31 | 0.39 | 0.34 | 0.35 | 0.44 | 0.39 | 0.33 | 0.27 | 0.38 |
where: Min = minimum, Max = maximum, Avg = average, S = standard deviation, and CV = coefficient of variation
The coefficient of variation (CV), which quantifies flow variability, was computed for each month throughout the study period, and ranged from 0.20 (for March) to 0.44 (for August), as outlined in Table 2. Intriguingly, only March exhibited low variability in daily sewage discharges, while all other months displayed average variability. Moreover, noticeable disparities were observed in average daily rainfall levels among the months, as depicted in Figure 4. March recorded the lowest average daily rainfall, measuring just under 1 mm. In contrast, the summer months – May through August – witnessed the highest values, ranging from 3–3.5 mm.
The data in Figure 4 underscores the consistent relationship between average daily sewage flow values and average daily rainfall amounts across different months. This correlation persisted during the periods spanning January–July and September–December. These findings strongly support the presence of a meaningful connection between rainfall and sewage flow, a relationship we will explore further in the subsequent section of this study.
The histograms presented in Figure 5 show the varied distribution of daily sewage flow magnitudes observed in different months during the analysed period. However, sewage flows most commonly fell within the range of 8,000–15,500 m3/d, with this constituting approximately 50–70% of the flows in a given month. Extreme flow values were recorded for each month; nevertheless, over the whole multi-year research period, they represented only a small percentage of all measurements. In August, November and December, sewage outflows ranging from 8,000 to 9,500 m3/d dominated. May, June, July and October had the highest proportion of flows between 9,500–11,000 m3/d, while in March, April and September, sewage flows mostly were in the range of 11,000–12,500 m3/d. In January and February, the greatest number of flows were within the 14,000–15,500 m3/d range.

Frequency of daily sewage outflows at specific magnitudes from the WWTP in specific months during the period 2018–2023
As indicated by the analysis conducted by Młyńska et al. [2022], which used frequency hydrograms, the summer months are characterised by a higher proportion of flows belonging the larger size classes. This pattern was also observed in January and February (Figure 5). As previously noted [Miernik et al. 2016; Młyński, Chmielowski 2016; Młyński et al. 2016], this phenomenon is associated with the characteristic impact of rainfall and snowmelt on sewage systems during these periods.
In wastewater treatment plants serving areas with combined sewer systems, an increase in sewage inflow to the treatment plant will usually occur during rainy weather or snowmelt. This scenario also cannot be ruled out in the case of distribution sewage systems, where uncontrolled inflow of stormwater (i.e., accidental waters) into sanitary sewers can occur. Hydraulic overload of WWTPs during rainy weather poses a significant threat to the efficiency of sewage treatment processes and also increases operating costs. Therefore, studies on the relationship between rainfall, the inflow of accidental waters and the WWTP's hydraulic load, such as those conducted by Bugajski et al. [2017, 2021] or Młyński et al. [2018], are relevant and useful. The correlation coefficient (r = 0.42) for the 2018–2023 dataset (Figure 6) suggests a moderate correlation between daily rainfall and sewage outflows. Relatively low correlation may be associated with the impact of potential combined storm overflows or infiltration outflows; in the case of the latter, it should be noted that infiltration outflows will typically lag behind rainfall. Analysis for the winter months thus should account for the snow accumulation phenomenon. Referring to this, it must be noted that in our case, a separate sanitary sewer network constitutes 60% of total sewage system length; the remaining part consists of combined sewer systems.

Dependence between daily rainfalls and daily sewage outflows from the WWTP in the period 2018–2023
Wąsik et al. [2016] noted that extreme values could affect the correlation coefficient. Their findings revealed a pronounced correlation between rainfall and sewage volume entering the treatment plant over the year, emphasizing a notable dependency. Research conducted by Saikia et al. [2020] focused on individual wet days, defined as days with rainfall greater than 1 mm and days without rainfall, observed on a monthly basis. It showed strong dependencies and significant linear trends between the average daily volumes of sewage inflow to the WWTP and the amount of precipitation; this was indicated by the calculated values of determination coefficient (R2) reaching values of order 0.86 throughout the seven-year research period. Rainfall effects were generally observed on the same day, with its residues occurring on subsequent days. Results obtained by Mines et al. [2007] indicate that the intensity of rainfall has a different impact on the intensity of sewage inflow to WWTPs from the various different catchment areas served by combined sewage systems. Two wastewater treatment plants achieved the parameter R2 = 0.16 ÷ 0.36; eight WWTPs were characterised by R2 = 0.36 ÷ 0.64; and in the case of 14 WWTPs, the examined relationship between rainfall heights and sewage inflow rate yielded R2 = 0.64 ÷ 1.0. As the authors point out, such differences are related to the hydrogeological conditions in a given catchment area, as well as the condition of the sewage network.
Rashid and Liu [2020]'s research also proved the existence of a positive linear relationship between the average monthly rainfall intensity and the average monthly intensity of sewage inflow to the WWTP. In one of the examined WWTPs serving a catchment area with a combined sewage system, R2 = 0.44 was achieved, while the R2 parameter determined for the second wastewater treatment plant receiving sewage from a separate sewage system was 0.71. Saikia et al. [2022], in examining the relationship between the amount of rainfall and the intensity of sewage inflow to 14 WWTPs with different capacities, found a parameter of R2 = 0.03 ÷ 0.38 (without lag time) and R2 = 0.16 ÷ 0.45 (with a one-day lag time), indicating a correlation from negligible/low to marked.
Daily rainfall heights were divided into groups from “A” to “G” and assigned corresponding daily sewage flow values. This revealed that Group “A” (rain-free days) had the lowest average daily sewage flow value (10,996 m3/d), while the highest average daily sewage flow (22,112 m3/d) was found in Group “G,” which encompassed days with rainfall exceeding 25 mm/d (Figure 7). A clear correlation between rainfall intensity, represented by the successive rain groups and sewage flow, can be observed in Figure 7: the higher the group number, the greater the average daily sewage flow. The average daily sewage flow for each subsequent rain group typically increased by about 15–20%. The smallest increase in average daily sewage flow was observed between the last two groups, “F” and “G” (5%), while a slight decrease of 2% in average daily sewage flow was noted between Group “D” (rainfall 10–15 mm/d) and Group “E” (rainfall 15–20 mm/d). A 100% increase in the average daily sewage flow between rain-free weather (Group “A”) and rainy weather with daily rainfall exceeding 25 mm/d (Group “G”) confirmed the significant impact of rainfall on the hydraulic load of the wastewater treatment plant.

Dependence of daily sewage outflows from the WWTP on rainfall intensities
Variations in sewage flow values corresponding to individual rain groups were also observed. The calculated coefficients of variation of sewage flow (CV) in different groups ranged from 0.27 to 0.39 (Figure 7), indicating an average level of variability for this parameter. Similar observations and conclusions regarding the impact of rainfall on the hydraulic load of the WWTP, with a division into rain groups, were found by Chmielowski et al. [2016a, 2016b] and Chmielowski [2019]. These studies identified clear relationships between the intensity of rainfall and the inflow of sewage to the treatment plant.
Research on the relationship between rainfall and sewage flow is still ongoing because the tools that best describe this relationship are still under development. For example, Kozłowski et al. [2022] propose a mathematical model that describes the correlation between rainfall and sewage flow in an unconventional way.
One of the analysed literature studies [Plósz et al. 2009] presents an investigation on the impact of climate change on a winter wastewater treatment system in Oslo, Norway. A rise in temperatures resulted in increased snow melting, which in turn led to higher inflow rates at the treatment plant. Interestingly, despite the overall trend of warmer winters, cold days still persisted. The heightened frequency of melting events added strain to the treatment process, resulting in elevated flow rates and decreased sewage temperatures. These abrupt alterations posed a challenge to the efficacy of the existing models. Adaptation thus has become an imperative for effectively managing climate-induced effects on sewage treatment.
Accurate pollution prediction is vital for effective sewage management and public health. Obaid et al. [2015] used structural equation modelling and regression analysis to predict sewage parameters (BOD5 and TSS) in Karbala's sewer system during festivals and rainy days. Data spanning 34 years (1980–2014) was analysed. Results indicated that a 1-mm increase in rainfall led to TSS and BOD5 concentration increases of 26–46 mg/l and 9–19 mg/l, respectively, during festivals. Additionally, each population increase of 10,000 corresponded to a BOD5 rise of 4–17 mg/l.
Uncontrolled sewage discharges bring social and environmental consequences and costs. Climate change and flooding pose risks to wastewater treatment plants. Decision-making in changing weather is challenging for maintaining proper management. Stańczyk et al. [2023] developed a soft sensor-based tool to classify inflows into WWTP operating conditions. Regression models had 90.0% accuracy; coarse decision tree classifiers had 92.4% accuracy. The results helped reduce wastewater load under climate change and enhance WWTP operation through automation.
Heavy influent flow in combined sewage systems often overwhelms wastewater treatment plants during rainfall, leading to decline in performance and poor effluent quality. Jin et al. [2015], using InfoWorks CS and Biowin software, simulated upstream sewer systems and WWTP performance. The results suggested intensified processes, namely chemically enhanced primary treatment (CEPT), CEPT with secondary treatment, and shortened retention time. These adaptations effectively countered rainfall effects, substantially reducing pollution discharge into receiving waters.
Sewage collection systems, though essential for public health and economic stability, often receive less attention than other infrastructure. External factors like rainfall, submergence (I&I) and sea level fluctuations introduce risks that lead to system deterioration and overflow events. In a study of 19 systems in coastal North Carolina from 2010–2011 [Cahoon, Hanke 2017], the impact of rainfall and temperature was significant in 95% of cases, while sea level played a role in 58% of them. Analyses of individual regression found that temperature affected 84% of cases and sea level affected 95%. These findings highlight the vulnerability of these systems, as breaches due to changes in groundwater elevation can lead to infrastructure degradation and environmental contamination. Urgent and proactive management is imperative to enhance system resilience.
Rainfall-induced inflow and infiltration (RDII) present formidable challenges to urban sewer systems, impacting both infrastructure management and public health. Ensuring accurate RDII estimation is critical for making informed decisions about maintenance strategies. The effectiveness of this estimation approach is validated through the comprehensive monitoring of a variety of sewer sites. Its utility is further bolstered by the application of non-linear regression optimisation across different regional scales [Zhang et al. 2018].
The operational stability of wastewater treatment plants faces challenges from sewage volume fluctuations and hydraulic overloading patterns. This study has revealed that quantitative sewage outflow dynamics correlate with rainfall intensity. Monthly sewage-flow patterns, especially peak flows during snowmelt and heavy rain in February and May, provided valuable data for evaluating treatment system resilience to rainfall events. Variability in sewage flows across months deepened our understanding, emphasizing the impact of daily rainfall.
Ongoing research aims to refine models and further investigate the intricate relationship between rainfall and sewage flow, demonstrating a commitment to advancing sewage-management knowledge. Sewage-flow variability was low in March but higher in other months, with August having the highest variability. Daily rainfall significantly impacted sewage flow, which doubled during heavy rain. Grouping rainfall into categories “A” through “G” revealed that higher rainfall led to increased sewage flows, with Group “G” experiencing the highest flow and Group “A” the lowest on rain-free days.
This study highlighted the importance of considering rainfall in managing WWTPs, encouraging future research for better predictability and resilient sewage strategies. It also stressed the need for proactive measures to address rainfall challenges and ensure the long-term sustainability of sewage treatment operations. This is particularly crucial in vulnerable regions susceptible to frequent instances of intense storms due to extreme meteorological events.