In July 2020, the European Commission adopted ‘A hydrogen strategy for a climate-neutral Europe’. Following this, in November 2021, the Polish government adopted the ‘Polish hydrogen strategy until 2030 with a perspective until 2040’. The strategy identifies six goals, including: implementation of hydrogen technologies in the energy sector; use of hydrogen as an alternative fuel in transport; hydrogen production in new installations and hydrogen storage.
West Pomeranian University of Technology in Szczecin, as a leader, together with the University of Szczecin and Enea Operator LLC implements the R&D project in line with the above-mentioned strategic goals, titled ‘Development of an intelligent and automatic system for stabilising the operation of power distribution networks based on modular installations of a hydrogen energy buffer with the intention of utilising hydrogen’ with the acronym H2eBuffer (POIR.04.01.04-00-0040 / 20-00). Its goal is to build the first hydrogen energy buffer in Poland, whose task will be to stabilise the parameters of the power grid. There is a lot of interest among energy producers and transmission and distribution system operators in the problems related to the application of electricity storage (especially in dynamically developing production installations using renewable energy sources), hydrogen production, and storage technologies [Bartosik et al. 2016; Chmielnik et al. 2020, Stolten 2010; Zambri, Mohamed 2014] and its use to generate electricity [EG&G Technical Services 2016; O’Hayre et al. 2016; Nehrir, Wang 2009; Pukrushpan et al. 2010; Töpler, Lehmann 2015; Vielstich et al. 2003].
In the work carried out so far, the operating conditions of the power grid and the impact of the energy buffer system on its stability have been determined. Based on complex models taking into account the sources and receivers of electric power, together with the detailed structure of the 15 kV network, the nominal parameters of the buffer elements were calculated; the location for its installation and the assumptions for its operation have subsequently been indicated. The buffer will be located in the 110 kV / 15 kV substation and connected directly to the busbars on the 15 kV side. As a result of the simulation of the buffer operation in the power system, it has been shown that the hydrogen buffer improves the energy balance without deteriorating the parameters of the safe and stable operation of the power grid.
The hydrogen energy buffer will be installed within approximately 12 months since the time of research, at one of the power stations in the West Pomeranian Voivodeship. Its operation will be based on the developed autonomous EMS (Energy Management System) system, using modern predictive algorithms and elements of artificial intelligence (machine learning), which will be used to smooth the load curve and improve network parameters (on the basis of the current conditions in the place of installation), taking into account in particular the surplus of electricity generated in the distribution network from renewable sources. Limiting the flow of energy to and from the local grid will allow us to avoid investment costs in power lines and power stations in the dynamically developing prosumer market, as well as wind and photovoltaic energy. In addition, local energy buffers will improve Poland’s energy balance, reducing the need to use emission energy sources. This is of key importance for the development of energy and the use of renewable energy sources, and is in line with the assumptions of the ‘Polish Hydrogen Strategy until 2030 with a perspective until 2040’.
The paper will discuss the assumptions for the buffer construction and installation, the cooperation of the buffer installation with the power system, and the analysis of measurement data from selected power distribution stations for the purpose of determining the target location of the buffer. They will be the basis for the purchase of buffer infrastructure elements. Eventually, the implemented system will allow us to analyse financial and qualitative effects, and to develop objective criteria for the multiplication of buffering of the operator’s power network at other connection points.
The initial work on the hydrogen buffer involved determining the details of its structure, the selection of technology, and parameters of individual components [Falcão, Pinto 2020]. For this purpose, a series of process calculations for the hydrogen buffer installation, as well as static calculations of individual components of the buffer installation (electrolyser, fuel cell and hydrogen tank with a compressor), were carried out. For the electrolyser, the efficiency of the electrolysis process, the flow of mass streams of hydrogen and oxygen production, water consumption, and water permeation through the PEM membrane (Proton Exchange Membrane) were all calculated. Physical parameters of the electrolyser, specifically free volume and stack weight, were also determined. The calculations performed for the fuel cell allowed it to obtain its power depending on the current density; efficiency (approx. 47%); mass balance; and the physical parameters of the cell, free volume and stack weight. A heat balance was determined for both the electrolyser and fuel cell. The parameters of the hydrogen tank with the compressor were also analysed, and thus the power of the compressor and the volume of the tanks were developed. The result of the calculations was the development of a process diagram of the entire installation. The complete energy balance and the dynamics of temperature changes were calculated. The fuel cell operation time on one hydrogen tank and the dynamics of mass flow changes in the water and air cycle were determined. The changes in pressure and hydrogen mass in the preliminary (3 MPa) and main (30 MPa) tanks during the operation of the electrolyser and the cell were also determined [An et al. 2014, Abdin et al. 2015, Shin et al. 2020].
Based on the abovementioned data, the process schematic was developed for all elements of the buffer in Matlab/Simulink software. Changes in the following parameters were calculated: temperature, electrolyser cell and stack voltage, electrolyser cell and stack current, gases pressures, reagents flows and thermal streams.
For dynamic calculations of the electrolyser, the stack used was built of 235 cells with an active surface of 1250 cm2. The calculated stack weight with titanium bipolar plates was 163 kg. An ambient temperature of 20oC was assumed, and the target cell stack temperature of 60oC. For the fuel cell, the stack was composed of 370 cells with an active surface of 1300 cm2. The calculated stack weight with titanium bipolar plates was 163 kg. An ambient temperature of 20oC was assumed, and a target cell stack temperature of 80oC. We assumed a stoichiometric coefficient of oxygen equal to 2, hydrogen equal to 2.5 and the current density equal to 0.7 A/cm2 [Moradi et al. 2019].
It was found that for the electrolyser, the stack’s current, voltage, and power signals have a very small delay relative to the rectangular control signal. The pressure of hydrogen and oxygen inside the stack required several seconds to reach nominal values (hydrogen 4 MPa, oxygen 0.5 MPa) in the case of starting the system from the off state. The main heat flux increasing the temperature of the pile was the flux generated as a result of the Joule-Lenz effect, i.e. electrical resistance.
The simulated hydrogen fuel cell works by consuming hydrogen from a theoretical hydrogen tank, generating a stable current of 1150 A and a stack voltage of 310 V, which gives an electrical power of 356 kW. The main heat stream produced is the generation of thermal energy by the fuel cell. The theoretical working time of the modeled fuel cell when powered from a 250 kg hydrogen tank was approximately 14 hours.
As a result of the above works, parameters of the components of the hydrogen buffer along with the structure of the system were proposed. The buffer consists of the elements necessary for the generation and storage of hydrogen and fuel cells and the supervision and control system necessary for its operation (Figure 1).

Diagram of the hydrogen buffer structure with the local control system
Source: authors’ research
In order to select the optimal location for the foundation of the hydrogen buffer installation, a number of network analyses were carried out. The factors with the greatest importance for the location selection of the future buffer operation were: favorable environmental and logistic conditions, technical possibilities of locating the installation on the site of the power substation (e.g. available free building area or water source), the presence of surplus power from RES (Renewable Energy Sources), and the possibility of delivery energy to the grid.
The basic assumption of the hydrogen buffer operation is the stabilisation of parameters in the power grid [Raczkowski, Robak 2021]. Hence, its installation site was planned at the existing power station (Figure 2). This diagram shows energy sources on the 15 kV side connected directly to the station busbars (RES 1), at some distance (RES 2), and on the low voltage side (LV, 0.4 kV, RES 3). The station area is marked with a dashed line. The device under construction will be placed in its area or in the immediate vicinity.

Simplified diagram of a 15 kV network with a buffer connected to 15 kV busbars at 110/15 kV substation
Source: authors’ research
The main criterion for the efficiency of the buffer operation is to reduce – or ideally avoid – the flow of electricity from the medium voltage side (MV, 15 kV) to the high voltage side (HV, 110 kV). Thus, surplus energy should be stored and returned to the grid when flows from HV to MV appear. The way this should be done is a separate research issue and is currently being investigated. The application of a hydrogen tank enables hydrogen storage even for a long period and thus enables stabilisation of network parameters even in seasonal periods (e.g. energy storage in summer and its return in winter). Other scenarios for the buffer operation are daily or weekly stabilisation.
The parameters that were taken into account when choosing the location of the buffer were:
- –
quality factor of voltage values with slow voltage changes for the electrolyser
1 $k_{uaEL} = \sqrt {\sum\nolimits_{i = 1}^n \Delta u_{aEl}^2 }$ - –
quality factor of voltage values with slow voltage changes for the fuel cell
2 $k_{uaFC} = \sqrt {\sum\nolimits_{i = 1}^n \Delta u_{aFC}^2 }$ - –
power loss factor for the electrolyser
3 $k_{\Delta {\rm{ }}PEL} = {{\sum\nolimits_{i = 1}^n {\Delta P_{El} } } \over {\sum\nolimits_{i = 1}^n {\Delta P} }}$ - –
power loss factor for the fuel cell
4 $k_{\Delta {\rm{ }}PFC} = {{\sum\nolimits_{i = 1}^n {\Delta P_{FC} } } \over {\sum\nolimits_{i = 1}^n {\Delta P} }}$ - –
load curve compensation factor
5 $S_p = \sqrt {{1 \over m}\sum\nolimits_{i = 1}^m {\left( {P_i - P_{avg} } \right)^2 } }$ - –
equalisation factor of the voltage curve on MV busbars in the substation
6 $S_U = \sqrt {{1 \over m}\sum\nolimits_{i = 1}^m {\left( {U_i - U_{avg} } \right)^2 } }$ - –
short-circuit current increase factor
7 $\Delta {\rm{ }}I''{\rm{ }}k = {{I''_{kFC} } \over {I''_{kS} }}$ - –
node power reserve criterion.
Where: Δu2aEl – slow voltage changes for the electrolyser; Δu2aFC – slow voltage changes for the fuel cell; ΔPEl – power loss in electrolyser; ΔP – total power loss; ΔPFC – power loss in fuel cell; Pavg – average power; Uavg – average voltage; ΔI”k – short-circuit current.
These parameters were calculated for considered localisations with the help of the medium-voltage grid model carried out in the DIgSILENT PowerFactory program. The medium-voltage networks of power stations are very extensive. The modelling consisted of entering the electrical parameters for each section of the medium-voltage line installed in the listed substations. In practice, it was necessary to enter data for each span of the 15 kV line. The main purpose of these analyses was to comprehensively check the impact of the buffer on the operation of the 15 kV power grid of power substations and to assess the impact on the 110 kV grid.
The models used were tested on an ongoing basis for each stage of modelling. This consisted of checking the results obtained from the model constructed in the PowerFactory DigSILENT GmbH with the results obtained by other methods, for certain characteristic operating states of the 15 kV network. These tests showed that the models work properly.
In addition, the calculations and analyses were performed to check the fulfilment of short-circuit conditions, allowed voltage changes, condition of the active power reserve in MV/HV node, and criteria for safety of local operation of the 110 kV grid. There were conducted assessments of power grid modernisation need on the base of electric power flow, active power loss calculations, and cooperations of installed automatic safety devices with power system containing buffer system. All these parameters allowed for the selection of the final destination of planned hydrogen buffer installation; however, their results cannot be published in detail [Grumm et al. 2020].
Our methodology for research of various aspects of the hydrogen buffer’s cooperation with the power grid is explained here. At the beginning the steady conditions were analysed with calculations of power flows and voltage levels, followed by transient state calculations, which may occur when the hydrogen buffer operates in the power system [Sedghisigarchi, Feliachi 2004a; Sedghisigarchi, Feliachi 2004b]. Expected voltage changes were analysed, which can be caused by the start of electrolyser operation. It was preliminarily found that these voltage drops are dependent on the short-circuit power in the installation point, grid parameters, and electrical properties of the electrolyser, which are considered a receiver of the electric power.
Another task was to analyse expected voltage changes appearing during the switching-off operation of the electrolyser. In such a case, there is a risk of a switching overvoltage. The amplitude levels depend on the same factors as during the switching-on process, and additionally involve switching devices. We also checked the resistance of the power grid parameters to possible overvoltages.
Similar analysis was done for the fuel cell. We tested various phenomena in the power system during the switching on and off of the fuel cell. In this case, apart from short-circuit power level in the installation point and grid’s parameters, inverter technology also played a major role. It is possible to calculate detailed results when this analysis is conducted for a specific type of electrolyser (especially a rectifier), fuel cell, and inverter.
Due to the tendency to introduce intelligent technologies in power grids where the hydrogen energy buffer system will be their component, the possibilities of buffer operation in the grid were analysed with varying degrees of advancement in introducing intelligent technologies [Lassater 2011, Wasiak 2011].
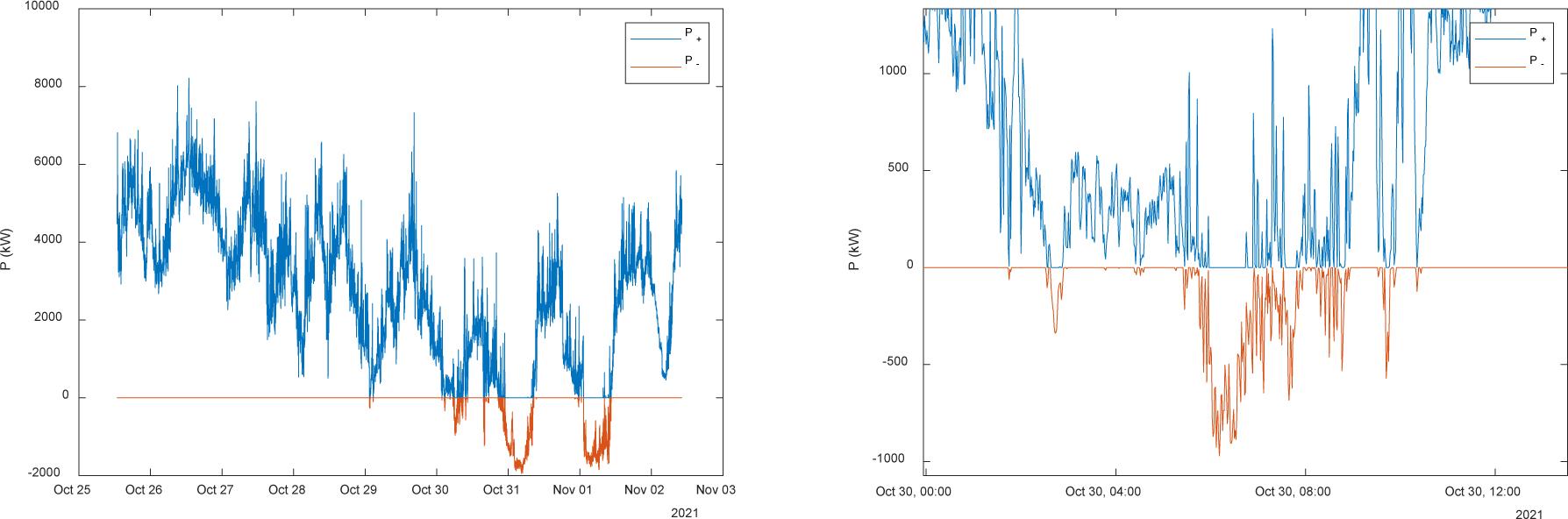
The location of the H2 buffer was selected on the basis of the analysis of measurement data recorded in a dozen or so electric power substations in the West Pomeranian Voivodeship. These data cover a three-year period of operation of the installation and energy distribution from January 2018 to January 2021. The data contained mainly the powers and amounts of energy transmitted in the substation in both directions, i.e. P + from the high voltage (110 kV) grid to the medium voltage (15 kV), and P‒ defining the amount of energy transmitted towards the high voltage 110 kV grid. The data were recorded in periods of 15 minutes; therefore, it was possible that in the same period, due to sudden changes in production or consumption, energy flowed in both directions.
The calculations were carried out in two variants:
- –
for electrolyser power Pel =600 kW and fuel cell power PFC=300 kW,
- –
for electrolyser power Pel =1200 kW and fuel cell power PFC=400 kW.
In both cases, the capacity of the hydrogen tanks was assumed as mmax=250 kg. The result of the analysis are the following parameters:
- –
amount of energy taken from the grid by the electrolyser Ein [kWh],
- –
percentage of days when energy could be stored Sr [%] (mass of H2<250 kg),
- –
percentage of days where the H2 stock was below 12 kg, Lh [%],
- –
percentage of energy collected into storage compared to expectations Eo [%].
Figure 3 shows the plots and the amount of flowing energy P +, P-, the amount of energy consumed by the electrolyser Pelectrolyser, produced by the Pcell, and the amount of hydrogen accumulated at a given moment in the hydrogen tank mh, for selected substations. The summary of the results is presented in Table 1.

Selected plots of the amount of energy flowing through the substation, consumed by the electrolyser, produced by the fuel cell, and the amount of hydrogen accumulated at a given moment in the tank for the electrolyser with the power of Pel=600 kW and fuel cell PFC=300 kW.
Source: own study
Summary of the best locations by energy input to the tank for an electrolyser with power Pel=600 kW and fuel cell PFC=300 kW (3 years period).
| Substation # | Ein [kWh] | E° | Sr | Lh |
|---|---|---|---|---|
| 1 | 5152335,0 | 21,0 | 99,7 | 50,3 |
| 2 | 3322051,2 | 44,0 | 94,1 | 44,3 |
| 3 | 3297222,1 | 36,1 | 100,0 | 52,5 |
| 4 | 2063680,8 | 35,2 | 98,9 | 53,6 |
| 5 | 1795629,0 | 35,8 | 98,6 | 54,6 |
| 6 | 1356882,0 | 52,0 | 98,8 | 60,3 |
| 7 | 552946,2 | 79,2 | 99,9 | 71,7 |
| 8 | 530813,4 | 56,1 | 100,0 | 89,0 |
| 9 | 91751,0 | 42,7 | 100,0 | 62,4 |
| 10 | 13021,0 | 88,8 | 100,0 | 86,2 |
| 11 | 258,0 | 100,0 | 100,0 | 100,0 |
| 12 | 12,0 | 100,0 | 100,0 | 100,0 |
| 13 | 4,8 | 100 | 100,0 | 100,0 |
| 14 | 0,0 | NaN | 100,0 | 100,0 |
| 15 | 0,0 | NaN | 100,0 | 100,0 |
| 16 | 0,0 | NaN | 100,0 | 100,0 |
| 17 | 0,0 | NaN | 100,0 | 100,0 |
Source: own study
Figure 4 shows the plots and the amount of flowing energy P +, P-, the amount of energy consumed by the electrolyser Pelectrolyser, produced by the fuel cell Pcell and the amount of hydrogen accumulated at a given moment in the tank mh for individual substations. The summary of the results is presented in Table 2.

Selected plots of the amount of energy flowing through the substation, consumed by the electrolyser, produced by the fuel cell and the amount of hydrogen accumulated at a given moment in the tank for an electrolyser with the power of Pel=1200 kW and fuel cell PFC=400 kW.
Source: own study
Summary of the best locations by energy input to the tank for an electrolyser with power Pel=1200 kW and fuel cell PFC=400 kW (3 years period).
| Substation # | Ein [kWh] | E° | Sr | Lh |
|---|---|---|---|---|
| 1 | 9269838,0 | 38,1 | 99,4 | 30,0 |
| 2 | 5459297,0 | 59,7 | 100,0 | 39,9 |
| 3 | 4315272,0 | 70,5 | 90,5 | 31,9 |
| 4 | 2875046,4 | 57,5 | 97,0 | 39,2 |
| 5 | 2517778,2 | 59,9 | 96,8 | 37,8 |
| 6 | 1750292,4 | 79,2 | 97,4 | 38,4 |
| 7 | 792876,6 | 83,8 | 100,0 | 85,2 |
| 8 | 642562,2 | 94,5 | 99,8 | 42,7 |
| 9 | 136114,8 | 63,4 | 100,0 | 55,9 |
| 10 | 14658,0 | 100,0 | 100,0 | 61,8 |
| 11 | 258,0 | 100,0 | 100,0 | 100,0 |
| 12 | 12,0 | 100,0 | 100,0 | 100,0 |
| 13 | 4,8 | 100,0 | 100,0 | 100,0 |
| 14 | 0,0 | NaN | 100,0 | 100,0 |
| 15 | 0,0 | NaN | 100,0 | 100,0 |
| 16 | 0,0 | NaN | 100,0 | 100,0 |
| 17 | 0,0 | NaN | 100,0 | 100,0 |
Source: own study
First, the results of the calculations made it possible to eliminate substations in which the excess of energy production from renewable energy sources is so small that the use of a buffer would not be justified. It should be remembered that the strong development of renewable energy sources can radically change this fact in the future. When choosing the location, two indicators turned out to be key: Ein [kWh], the amount of energy taken from the grid by the electrolyser, and Eo [%], the percentage of energy collected for the storage compared to expectations. A low value of the Ein indicator means poor use of the buffer capacity with high-high energy flow through the buffer. As the system operator’s expectations are the minimisation of energy flows from medium voltage to high voltage, then the substations with the five highest Ein values were selected as the most promising buffer installation locations. At the same time, the above calculations also show that the ‘best’ locations may be the result of changes of the technical parameters of the devices or the time in which they would be operated. Therefore, taking into account the electrolyser and fuel cell power values assumed in the project, the size of the hydrogen storage, and the fact of constant changes in the energy distribution network, a similar analysis was carried out as the above, but using only the data from the last 12 months of the analysed period. The obtained results - presented in Table 3 - indicate the specific location of the substation No. 1 as the best in terms of the amount of energy that it is possible to use and the potential impact on the direction of energy flow in the substation, with effective reduction of power P-.
Summary of the best locations by energy input to the buffer for an electrolyser with power Pel=600 kW and fuel cell PFC=300 kW (1 year period).
| Substation# | Ein [kWh] | E° [%] | Sr [%] | maxΔP- | avgΔP- | maxΔP+ | avgΔP+ |
|---|---|---|---|---|---|---|---|
| 1 | 1 173 800,0 | 40,6 | 90,3 | 2 774,4 | 466,1 | 3 307,2 | 811,2 |
| 2 | 1 036 400,0 | 37,5 | 100,0 | 3 105,0 | 306,0 | 12 272,0 | 1 921,6 |
| 3 | 807 930,0 | 32,6 | 97,9 | 3 091,2 | 184,3 | 4 965,6 | 854,4 |
| 4 | 676 190,0 | 34,1 | 98,5 | 3 254,4 | 175,2 | 5 316,0 | 1 171,2 |
| 5 | 668 230,0 | 47,4 | 99,7 | 2 709,0 | 114,0 | 14772 | 1 543,5 |
| 6 | 530 710,0 | 56,1 | 100,0 | 2 090,4 | 55,2 | 3 268,8 | 530,4 |
| 7 | 520 260,0 | 48,1 | 98,7 | 2 035,2 | 55,2 | 3 424,8 | 686,4 |
| 8 | 378 380,0 | 75,4 | 99,8 | 1 387,2 | 26,4 | 1 644,0 | 403,2 |
| 9 | 44 074,0 | 35,2 | 100,0 | 3 222,6 | 0 | 4 810,2 | 980,0 |
| 10 | 10 888,0 | 86,9 | 100,0 | 628,8 | 0 | 7 202,4 | 1 068,0 |
| 11 | 4,8 | 100,0 | 100,0 | 4,8 | 0 | 3 979,2 | 451,2 |
| 12 | 0 | NaN | 100,0 | 0 | 0 | 11 751,0 | 1 080,0 |
| 13 | 0 | NaN | 100,0 | 0 | 0 | 4 987,2 | 660,0 |
| 14 | 0 | NaN | 100,0 | 0 | 0 | 9 900,0 | 1 128,0 |
| 15 | 0 | NaN | 100,0 | 0 | 0 | 9 601,2 | 961,0 |
| 16 | 0 | NaN | 100,0 | 0 | 0 | 2 762,4 | 338,4 |
| 17 | 0 | NaN | 100,0 | 0 | 0 | 14 982,0 | 1 188,6 |
Source: own study
This analysis is complemented by the verification of the level and dynamics of power flow changes that should be carried out in order to properly select the sampling time and the permitted (necessary) load change rates of the electrolyser and the cell. For this purpose, data from network analysers were used, which allowed us to record power values and energy flows with greater frequency. Figure 5 shows the plots of changes in the one-minute average power in the selected substation from one week (left) and one day (right).

The recorded average power – one minute – in the period of: 7 days and 1 day in one of the analysed substations
Source: authors’ research
The histogram of mean power and the histogram of increases in mean power for the measurement period of one minute are presented in Fig. 6. The determined parameters of the normal distribution of the histogram of increases in mean one-minute power are as follows:

Histogram of mean power and histogram of increases in one-minute mean power for data recorded over a period of 7 days in one of the analysed substations
Source: authors’ research
The main revelation from the analysis of these results is that 68.2% of the increases in mean one-minute power are in the range [-378 kW,378 kW]. Taking into account that the assumed power of the electrolyser is approx. 600 kW, in order to ensure the possibility of smooth adjustment of the power consumption, measurements should be made at least every minute. This is the sampling time limit for the buffer control system being created.
The results of the analysis presented above constitute a set of basic parameters and assumptions for the constructed hydrogen buffer. At the same time, they confirm, so far in theoretical form, the possibility of using it to stabilise the parameters of the power grid.
The article discusses assumptions for the construction of the hydrogen buffer installation, the cooperation of the buffer installation with the power system, and the analysis of measurement data from selected substations for the purpose of determining the target location of the buffer. The operating conditions of the power grid and the influence of the energy buffer system on its stability were determined. As a result of network analyses, it can be concluded that after installing the energy buffer, the short-circuit conditions will not change significantly, because the increase in short-circuit current after starting the fuel cell is below 1%. Also, voltage changes when activating the buffer are below permissible values, and the reserve of active power in the HV/MV node is met with a large excess. The buffer operation will not affect the safety of the local 110 kV network operation. There is also no need to modernise the network because of exceedingly high line currents. The gains from the operation of the hydrogen buffer include the decrease of network active power losses as well as compensation of the load curve and voltage curve. This gives a chance for a better, more effective use of the energy produced, especially its surplus from renewable energy sources. These surpluses will be able to be used locally, which on the one hand will limit the two-way flow of power in high-voltage grids, and on the other hand will allow for the development of prosumer energy and renewable energy installations. This direction of the development of the energy sector allows for a significant reduction in the emission of harmful substances into the atmosphere, thus implementing the strategic goals of the state.