Figure 1

Figure 2

Figure 3

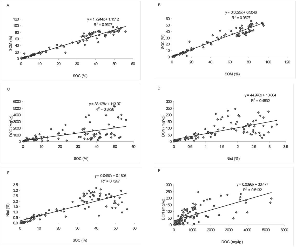
Figure 4

Range of values for the soil parameters examined
| Soil property | Units | min (relative 0%) | max (relative 100%) |
|---|---|---|---|
| SOC | % | 0.16 | 56.1 |
| Ntot | % | 0.01 | 3.22 |
| SOM | % | 0.4 | 95.66 |
| DOC | mg kg−1 | 16.56 | 5287 |
| DON | mg kg−1 | 1.19 | 245.6 |
Changes in soil properties depending on relative values of SOC content within the range from 20% to 30%
| SOC (%) | 30 | 29 | 28 | 27 | 26 | 25 | 24 | 23 | 22 | 21 | 20 |
|---|---|---|---|---|---|---|---|---|---|---|---|
| N tot (%) | 33.73 | 32.37 | 31.02 | 29.66 | 28.31 | 26.97 | 25.64 | 24.31 | 23.00 | 21.70 | 20.42 |
| ΔNtot (%) | 1.36 | 1.36 | 1.35 | 1.35 | 1.34 | 1.33 | 1.32 | 1.31 | 1.30 | 1.29 | |
| SOM (%) | 30.84 | 29.81 | 28.78 | 27.76 | 26.73 | 25.70 | 24.67 | 23.64 | 22.62 | 21.59 | 20.56 |
| ΔSOM (%) | 1.03 | 1.03 | 1.03 | 1.03 | 1.03 | 1.03 | 1.03 | 1.03 | 1.03 | 1.03 | |
| DON (%) | 26.33 | 25.47 | 24.60 | 23.73 | 22.85 | 21.97 | 21.09 | 20.20 | 19.31 | 18.41 | 17.52 |
| ΔDON (%) | 0.86 | 0.87 | 0.87 | 0.88 | 0.88 | 0.88 | 0.89 | 0.89 | 0.89 | 0.89 | |
| DOC (%) | 17.58 | 17.42 | 17.23 | 17.03 | 16.81 | 16.57 | 16.30 | 16.01 | 15.70 | 15.36 | 14.99 |
| ΔDOC (%) Table | 4 | 0.17 | 0.18 | 0.20 | 0.22 | 0.24 | 0.26 | 0.29 | 0.31 | 0.34 | 0.37 |
Pearson’s correlation coefficients for SOC, Ntot, SOM and DOC in the studied peat soils (all correlations were significant at p < 0_05)
| Parameters | SOC | Ntot | SOM | DOC |
|---|---|---|---|---|
| Ntot | 0.85 | |||
| SOM | 0.98 | 0.90 | ||
| DOC | 0.61 | 0.34 | 0.57 | |
| DON | 0.72 | 0.70 | 0.72 | 0.72 |
Changes in soil properties depending on relative values of SOC content within the range from 0% to 50%
| SOC (%) | 50 | 40 | 30 | 20 | 10 | 0 |
|---|---|---|---|---|---|---|
| Ntot | 59.06 | 47.12 | 33.73 | 20.42 | 8.67 | 0.00 |
| ΔNtot | 11.94 | 13.38 | 13.32 | 11.75 | 8.67 | |
| SOM | 51.40 | 41.12 | 30.84 | 20.56 | 10.28 | 0.00 |
| ΔSOM | 10.28 | 10.28 | 10.28 | 10.28 | 10.28 | |
| DON | 41.65 | 34.53 | 26.33 | 17.52 | 8.58 | 0.00 |
| ΔDON | 7.12 | 8.20 | 8.81 | 8.94 | 8.58 | |
| DOC | 19.24 | 18.58 | 17.58 | 14.99 | 9.55 | 0.00 |
| ΔDOC | 0.66 | 1.00 | 2.59 | 5.44 | 9.55 |
Mean values and standard deviations for the examined variables in four groups of soil data (n = 100)_ The same letters mean that differences between groups are not significant
| Group of soils with the SOC content (%) in the range | SOC | Ntot | SOM | DOC | DON | C/N | DOC/SOC | DON/Ntot |
|---|---|---|---|---|---|---|---|---|
| % | mg kg-1 | Min–max | % (min–max) | % | ||||
| 36–56 | 44.65d ±5.98 | 2.2d ±0.61 | 78.68d ±9.28 | 1741.1c ± 1469.6 | 115.23b ± 56.32 | 18–24 | 0.39 (0.07–0.63) | 0.52 |
| 16.1–35.9 | 28.61c ±6.05 | 1.73c ±0.63 | 50.54c ±16.3 | 1266.1bc ±831.7 | 109.05b ±63.32 | 15–21 | 0.44 (0.19–0.60) | 0.63 |
| 3.1–16 | 7.96b ±3.07 | 0.55b ±0.24 | 14.32b ±5.79 | 497.8ab ±383.4 | 31.04a ±16.26 | 14–16 | 0.62 (0.20–0.80) | 0.56 |
| 0.1–3 | 1.24a ±0.94 | 0.05a ±0.04 | 2.91a ±3.27 | 146.1a ±137.5 | 4.06a ± 2.51 | 24–30 | 1.17 (0.29–1.28) | 0.81 |