Understanding habitat vulnerability to climate-induced changes is vitally important for adapting management of protected areas and, in particular, of sensitive riverine and wetland ecosystems. For this purpose, various indices have been proposed to be applied by the managers of protected areas for assessing habitat degradation and the need for ecosystem restoration measures. It has been widely suggested that processes of soil organic matter (SOM) mineralisation provide sensitive parameters indicating climate warming effects in peat soils and wetlands [Joosten, Clarke 2002; Kalbitz, Geyer 2002; Bellamy et al. 2005; Smith et al. 2007; Kruger et al. 2015; Lane et al. 2016]. The loss of water from peat and temperature rise are thought to be the most important drivers of SOM mineralisation in peat soil decay, entailing increased CO2 and N2O emission as well as mineral element leaching to groundwater.
The processes of greenhouse gases exchange at the interface between wetland ecosystems and the atmosphere are, however, much more complicated and also involve CO2 uptake by plants. The CO2 uptake in an undisturbed mire in the Biebrza valley was recently estimated at about 150–270 g C-CO2 m−2 per year (to about 1.5–2.7 t CO2 per ha annually) [Fortuniak et al. 2017]. This, notwithstanding, 1 ha of drained peatland emits an average of net 0.75 t of CO2, and the total emission from drained peat soils in Poland was estimated to be about 24 million tons of CO2 annually in 2008 [Joosten 2010; Fourth National Communication under the UN FCCC]. Studies on peat degradation based on comparisons of contemporary C balance of several UK peatlands with historical rates of C accumulation measured using peat cores, which provided a long-term context for present-day measurements and their natural year-on-year variability, suggest that current annual C accumulation rates (–56 to –72 g C m2) are at the lower end of those observed for the past 150 years in peat cores (–35 to –209 g C m2) [Billett et al. 2010].
The most effective action to maintain wetland carbon pool and prevent greenhouse gas emission is to avoid peatland conversion and drainage through protection and sustainable management [Joosten, Clarke 2002; Lane et al. 2016].
The Biebrza river valley is a large wetland area, unique on both country and European scale, embracing some 60,000 ha of mire habitats, developed on peat deposits of various origin and thickness [Banaszuk 2004]. Changes in water supply mechanisms and flooding extent and duration because of both climate change and anthropogenic pressures resulted in advancing degradation of peat soils and plant communities in the valley [Okruszko, Byczkowski 1996; van Loon 2009]. The decrease in peat soil water holding capacity and increased migration of mineral elements to soil solution, including nitrogen and phosphorus, are reflected by the habitat eutrophication and changes in the local biodiversity, what can be observed as the increase in the presence of plant species and communities with a higher nutrient demand [Wassen et al. 1990, 1994, 2002; Güsewell 2005; Olde Venterink et al. 2009; Van Loon 2009; Ivits et al. 2013; Weedon et al. 2013, Liu et al. 2017]. The combined pressure of climate change and human-induced land-use change may significantly reduce the productivity of wetlands, including their ability to support wildlife [Rahsford et al. 2016]. As human pressures in the Biebrza valley have been limited since 1993, when the major portion of the site was designated as the Biebrza National Park (BNP), it is very likely that for the past two decades, climate change has had the most important effect on the transformation of wetland habitats [Grygoruk et al. 2014; Sienkiewicz et al. 2014]. Climate change accelerates peat soil degradation mainly through altering hydrological mechanisms coupled with the processes of SOM mineralisation [Bellamy et al. 2005; Smith et al. 2007; Lützow and Kӧgel-Knabner r 2009; Kane et al. 2013].
Understanding the extent of vulnerability of protected sites to climate-induced changes in the Biebrza river valley is crucial for selecting counteractive measures of adaptive management. For the measures to be effective, it needs that they are based on indices that can reflect and quantify changes resulting from various pressures in wetland ecosystems and on indices that are particularly sensitive to climate change [Aitkenhead et al. 2000]. Many indices relate to the cycling of SOM, a key factor of soil and habitat quality. Knoepp et al. [2000] discussed the importance of indicatory capacity of various soil quality parameters for understanding the effects of land management practices and natural pressures on habitat quality and concluded that there was a need for developing consistent indices in support of land management decision making.
In this study, an attempt was made to evaluate the practical indicatory suitability of the existing indices and to propose a more sensitive one that may be specifically useful for monitoring peat soil degradation in support of wetland management under pressure of climate-induced changes.
Field studies were conducted in three basins of the Biebrza river valley (Fig. 1). The valley is broadly divided into three areas: the Northern Basin, 2- to 3-km wide and about 30-km long, overgrown by reed beds and sedge moss meadows; the Central Basin, about 20-km wide and nearly 35-km long, stretching along the river’s middle course where wet woodlands and meadows and open mires dominate; and the widest Southern Basin, 33-km long, covered by wet woodland and meadows on partially drained peat substrates. Soil and climate conditions differ amongst the three Basins, with differences particularly evident between the Southern and Northern Basin, the latter being apparently cooler [Liszewska 2011].

Location of the study sites, Biebrza valley
The soils developed from peat deposits varied in thickness (30, 80, 130 and =130 cm, even up to 6 m) and the degree of peat decomposition from undegraded to highly mineralised peat soils, with the C content between about 50% to less than 10%. Soils were sampled along four transects crosscutting the study area from the river bank to the valley edge: transect No. 1 (53o22’N, 22o33’E) in the Southern Basin, transect No. 2 (53o37’N, 22o46’E) in the Central Basin and transect No. 3 (53o41’N, 23o11’E) and transect No. 4 (53o43’N, 23o21’E) in the Northern Basin. Soil types were classified according to WRB [2014].
Peat-muck soils (Sapri-Dystric Histosol) were sampled from the middle part of transect No. 1, whereas fen peats of various origin were sampled at its end, close to the river bed. At transect No. 2, high-peat soils (Dystri-Fibric Histosol) were sampled in the swamp coniferous forest, and peat-like soils were sampled from a 15-cm shallow peat layer deposited on mineral substrate in the dry wooded mire. The soil types along transect No. 3 varied greatly, with major contribution of peat soils (Eutri-Fibric Histosol), muck soils (Sapri-Dystric Histosol), muckous soils (Areni-Eutric Histosol) and peat-muck soils (Sapri-Eutric Histosol) as well as brown soils (Cambisol). Moderately decomposed sedge moss peat underlain by a weakly decomposed peat was sampled at transect No. 4, situated low in the river valley.
All peat soils were sampled from 0- to 10-cm, 10- to 20-cm and 20- to 30-cm soil layers, and altogether 110 soil samples were analysed.
At the laboratory, samples were left to dry at room temperature, then manually fragmented using a rubber mallet, and again let to dry at 45oC in a dryer. A portion of each soil sample was milled, and the content of soil organic carbon (SOC) was determined using TOC analyser with SSM-5000A adapter (Shimadzu model). The content of total nitrogen (Ntot) was determined by the Kjeldahl method. SOM was determined using the loss-on-ignition (LOI) method. The water content was determined by weighing method in the un-milled but thoroughly powdered soil dried at 105oC. In order to determine the contents of dissolved organic carbon (DOC) and dissolved organic nitrogen (DON), soils were poured with MiliQ water at 1:10 ratio and incubated at 25oC for 10 days. The solutions were then centrifuged at 3,000 rpm and analysed. The content of DOC was determined using TOC analyser and that of N-NH4 was determined colorimetrically, whereas the content of N-NO3 was determined using Water Capillary Ion Analyser. The content of DON was calculated by adding the values of N-NH4 and N-NO3.
The relationships between soil carbon loss and nitrogen loss were analysed based on the mean values of SOC and Ntot and their soluble forms. The relationships between changes in the SOC content (reflecting the degree of peat soil mineralisation/decomposition) and changes in the values of the remaining variables (SOM, Ntot, DOC, DON and C/N ratio), were statistically tested using Statistica 10 package [StatSoft 2010]. Linear and non-linear regressions were used to establish the relationships amongst the variables examined. Regression analysis was also applied using relative values of the empirical variables; the relative values were obtained by normalising the empirical values within the range of 0–100%, where 0% was equal to the minimum value obtained and 100% was equal to the maximum real value obtained. Analysis of homogeneity of the groups of means was based on ANOVA and Tukey’s procedure of multiple comparisons at the 0.05 probability level.
The SOC contents in all the soils examined fluctuated from <3% to 56%. SOC is the most studied property of peat soils, with commonly reported values from around 50% to almost 55% for undegraded peats [Chapman et al. 2009; Wellock et al. 2011]. The content of SOC in peat soils depends largely on the degree of SOM decomposition. This was clearly visible in the case of soils from the Southern Basin where peats varied widely in the decomposition degree. The contents of SOC in the top layers of muck soils fluctuated from 20% to 36%, whereas these were between 10% and 30% in peat-muck soils and between 9% and 15%. in muckous soils. In the underlying peat layer, the content of SOC ranged from about 19% to 31%.
In the Central Basin of the Biebrza valley, with the prevailing soils developed from high peats, the content of SOC in the upper peat layer amounted to about 52–53%, whereas in the underlying layer, it amounted to about 40%.
Peat soils in the Northern Basin were generally much less mineralised than those in the Southern Basin, and the SOC contents identified there were 48–52% for peats, 34–49% for peat-muck soils and 33–37% for muck soils. In the muckous soils, the content of SOC was from 3.5% to 7.5%. On the basis of ANOVA and multiple comparison, all the soils examined were divided into four groups, depending on the SOC contents within the following ranges: 0.1–3%, 3.1–16%, 16.1–35.9% and 36–56% (Table 1). The groups whose carbon content approximated successive stages of peat soil mineralisation differed significantly in the mean values of Ntot and SOM. Carbon loss during SOM mineralisation is associated with the loss of nitrogen and other elements; however, the intensity of loss of respective elements may vary depending on the stage of peat mineralisation. Differences between the intensity of loss of carbon (ca 6.6-fold) and nitrogen (11-fold) were largest between the groups with the SOC content of 36–56% and 16.1–35.0%.
Mean values and standard deviations for the examined variables in four groups of soil data (n = 100). The same letters mean that differences between groups are not significant
| Group of soils with the SOC content (%) in the range | SOC | Ntot | SOM | DOC | DON | C/N | DOC/SOC | DON/Ntot |
|---|---|---|---|---|---|---|---|---|
| % | mg kg-1 | Min–max | % (min–max) | % | ||||
| 36–56 | 44.65d ±5.98 | 2.2d ±0.61 | 78.68d ±9.28 | 1741.1c ± 1469.6 | 115.23b ± 56.32 | 18–24 | 0.39 (0.07–0.63) | 0.52 |
| 16.1–35.9 | 28.61c ±6.05 | 1.73c ±0.63 | 50.54c ±16.3 | 1266.1bc ±831.7 | 109.05b ±63.32 | 15–21 | 0.44 (0.19–0.60) | 0.63 |
| 3.1–16 | 7.96b ±3.07 | 0.55b ±0.24 | 14.32b ±5.79 | 497.8ab ±383.4 | 31.04a ±16.26 | 14–16 | 0.62 (0.20–0.80) | 0.56 |
| 0.1–3 | 1.24a ±0.94 | 0.05a ±0.04 | 2.91a ±3.27 | 146.1a ±137.5 | 4.06a ± 2.51 | 24–30 | 1.17 (0.29–1.28) | 0.81 |
Abbreviations: SOC, soil organic carbon; Ntot, total nitrogen; SOM, soil organic matter; DOC, dissolved organic carbon; DON, dissolved organic nitrogen
The contents of DOC and DON varied highly between the four soil groups and within the groups. The mean contents of the above parameters were described by the variability coefficients exceeding 50%. The solubility of SOM expressed as the percentage of DOC in SOC was lowest (0.39%) for the soil group with the highest SOC and highest (1.17%) in the group of soils having the lowest SOC content. Likewise, the share of DON in Ntot was highest in soils with the lowest SOC. However, unlike the DOC/SOC ratio, the percentage of DON/Ntot ratio did not show any consistent changes (remained at a more or less stable level), irrespective of the increasing SOC (Table 1).
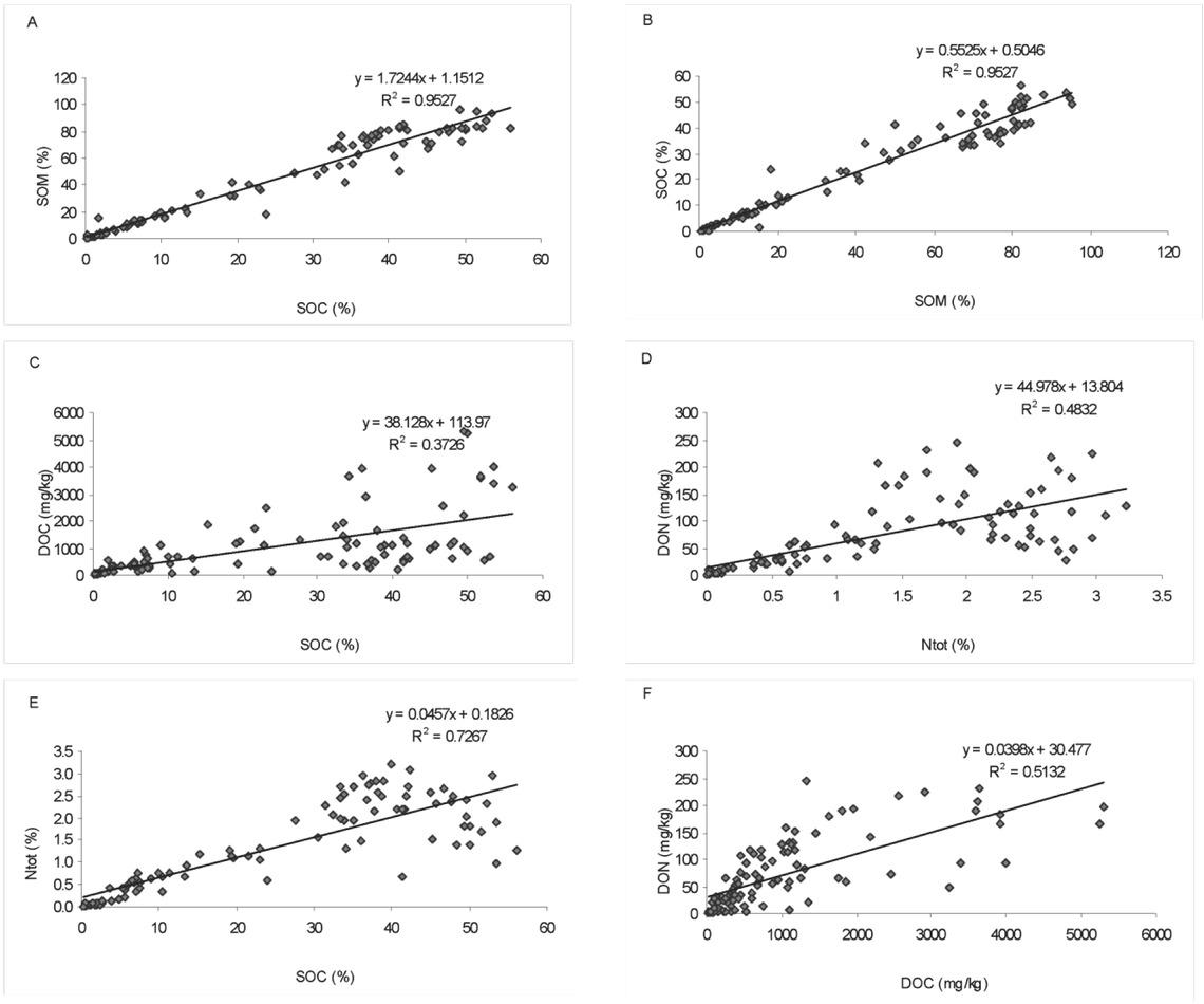
Determination coefficients (R2) and, likewise, correlation coefficients showed the strongest relationships between the contents of SOC and SOM as well as between SOC and Ntot, whereas weaker relationships were determined between the remaining parameters (Fig. 2; Table 2). All the correlations between the parameters examined were statistically significant.

Relationships between values of soil organic carbon, soil organic matter, total nitrogen, dissolved organic carbon and dissolved organic nitrogen (SOC, SOM, Ntot, DOC and DON) using linear regression
Pearson’s correlation coefficients for SOC, Ntot, SOM and DOC in the studied peat soils (all correlations were significant at p < 0.05)
| Parameters | SOC | Ntot | SOM | DOC |
|---|---|---|---|---|
| Ntot | 0.85 | |||
| SOM | 0.98 | 0.90 | ||
| DOC | 0.61 | 0.34 | 0.57 | |
| DON | 0.72 | 0.70 | 0.72 | 0.72 |
In order to quantitatively evaluate the changes that occur in peat soils because of advancing SOM mineralisation, that is, because of carbon loss, the empirical contents of SOC, SOM, Ntot, DOC and DON, were transformed (normalised) to the relative values, graded from 0% to 100% (Table 3). This permitted to determine the loss of SOM, Ntot, DOC and DON falling for each percentage of the loss of SOC.
Range of values for the soil parameters examined
| Soil property | Units | min (relative 0%) | max (relative 100%) |
|---|---|---|---|
| SOC | % | 0.16 | 56.1 |
| Ntot | % | 0.01 | 3.22 |
| SOM | % | 0.4 | 95.66 |
| DOC | mg kg−1 | 16.56 | 5287 |
| DON | mg kg−1 | 1.19 | 245.6 |
Linear and non-linear (polynomial) regressions were used to establish the relationships between the relative values of SOM, Ntot, DOC and DON and the relative value of SOC. The regression of relative values of the above parameters is presented in Figures 3 and 4. A highly significant correlation was observed between the contents of SOC and SOM, that is, for 1% of loss in C (in the range 1–100%), there was 1.028% loss in SOM (Fig. 3).

Relationship between relative value of soil organic carbon and soil organic matter based on linear regression
On the basis of the transformed (relative) values of SOC and Ntot, the polynomial regression analysis was applied to determine the non-linear relationships between the SOC and Ntot contents (Fig. 4). Within the range of relative SOC values contained between 70% and 100%, the loss of SOC was associated with an increase in the presence of Ntot. The highest estimated contents of Ntot were observed in the range of relative values of SOC between 75% and 70% (Fig. 4). In the range of relative SOC values below 70%, the decline in carbon content was linked with a loss of nitrogen. Mean values of Ntot for various ranges of SOC are presented in Figure 4 and Tables 4 and 5.

Relationship based on non-linear regression between relative value of A) soil organic carbon and total nitrogen, B) soil organic carbon and dissolved organic nitrogen and, C) soil organic carbon and dissolved organic carbon
Changes in soil properties depending on relative values of SOC content within the range from 0% to 50%
| SOC (%) | 50 | 40 | 30 | 20 | 10 | 0 |
|---|---|---|---|---|---|---|
| Ntot | 59.06 | 47.12 | 33.73 | 20.42 | 8.67 | 0.00 |
| ΔNtot | 11.94 | 13.38 | 13.32 | 11.75 | 8.67 | |
| SOM | 51.40 | 41.12 | 30.84 | 20.56 | 10.28 | 0.00 |
| ΔSOM | 10.28 | 10.28 | 10.28 | 10.28 | 10.28 | |
| DON | 41.65 | 34.53 | 26.33 | 17.52 | 8.58 | 0.00 |
| ΔDON | 7.12 | 8.20 | 8.81 | 8.94 | 8.58 | |
| DOC | 19.24 | 18.58 | 17.58 | 14.99 | 9.55 | 0.00 |
| ΔDOC | 0.66 | 1.00 | 2.59 | 5.44 | 9.55 |
Changes in soil properties depending on relative values of SOC content within the range from 20% to 30%
| SOC (%) | 30 | 29 | 28 | 27 | 26 | 25 | 24 | 23 | 22 | 21 | 20 |
|---|---|---|---|---|---|---|---|---|---|---|---|
| N tot (%) | 33.73 | 32.37 | 31.02 | 29.66 | 28.31 | 26.97 | 25.64 | 24.31 | 23.00 | 21.70 | 20.42 |
| ΔNtot (%) | 1.36 | 1.36 | 1.35 | 1.35 | 1.34 | 1.33 | 1.32 | 1.31 | 1.30 | 1.29 | |
| SOM (%) | 30.84 | 29.81 | 28.78 | 27.76 | 26.73 | 25.70 | 24.67 | 23.64 | 22.62 | 21.59 | 20.56 |
| ΔSOM (%) | 1.03 | 1.03 | 1.03 | 1.03 | 1.03 | 1.03 | 1.03 | 1.03 | 1.03 | 1.03 | |
| DON (%) | 26.33 | 25.47 | 24.60 | 23.73 | 22.85 | 21.97 | 21.09 | 20.20 | 19.31 | 18.41 | 17.52 |
| ΔDON (%) | 0.86 | 0.87 | 0.87 | 0.88 | 0.88 | 0.88 | 0.89 | 0.89 | 0.89 | 0.89 | |
| DOC (%) | 17.58 | 17.42 | 17.23 | 17.03 | 16.81 | 16.57 | 16.30 | 16.01 | 15.70 | 15.36 | 14.99 |
| ΔDOC (%) Table | 4 | 0.17 | 0.18 | 0.20 | 0.22 | 0.24 | 0.26 | 0.29 | 0.31 | 0.34 | 0.37 |
The degree of loss of DOC was related to the SOC content. Within the range of relative values of SOC between 100% and 80%, a 1% decrease in the SOC content was associated with a 2.1% decrease in the content of DOC. In the range of relative values of SOC from 80% to 60%, a 1% loss of SOC was related to a 0.8% loss of DOC. The lowest decrease in DOC was observed in the range of the relative SOC values between 45% and 30%, that is, a 1% loss of SOC was associated with an approximately 0.1% loss of DOC. A further decrease in the SOC content was associated with an increase in the content of DOC content (Fig. 4; Tables 4 and 5).
The dynamics of changes in the relative values of SOC, DOC, Ntot and DON varied depending on the SOC content or the degree of peat mineralisation. The decrease in the SOM content, falling for 1% of loss in the SOC content, was 1.028%, irrespective of the real value of SOC.
SOC and Ntot did not decrease uniformly during peat decomposition, for example, a decline in the SOC content by about 40% corresponded to a decline in Ntot content by about 20%, whereas with a decrease in the SOC content by about 80%, the Ntot content was observed to decline by about 75% (Table 1).
The soil C/N ratio is regarded as an index and, often, a measure of SOM mineralisation; however, its usefulness for indicating the peat material decomposition has become disputable [Pineiro et al. 2006; Callesen et al. 2007; Watt, Palmer 2012; Haney et al. 2012]. It is generally accepted that peats showing only a small decomposition degree have larger C/N ratios, whereas the ratio becomes narrower in the heavily mineralised peat soils, because of a preferential loss of C over N owing to microbial decomposition [Krüger et al. 2015]. However, the C/N ratio did not behave consistently in peat soils showing various decomposition degrees (Table 1). Uncertainties regarding indicatory validity of the C/N ratio are associated with the fluctuating content of soil N, which is related to both microbial processes (mineralisation/immobilisation) and N losses because of plant uptake and leaching to groundwater [Haney et al. 2012]. On the other hand, increases in soil N may result from external input, including atmospheric deposition, N fertilisation and so on. In this context, the value of C/N ratio may be subject to changes in either case, that is, at both the soil N increase and decline, whereas these fluctuations do not correspond to the actual processes of SOM mineralisation.
We found that a 1% loss of SOC corresponded to a 1.028% loss of SOM, regardless of the degree of peat soil mineralisation, whereas SOM solubility measured by the content of DOC varied subject to the intensity of peat soil mineralisation. The content of DOC decreased with the decrease in the SOC content, whereas the DOC/ SOC ratio increased depending on the intensity of peat decomposition.
Even though we found a relatively high variability of the DOC/SOC ratio, what was probably related to the dynamics of SOM decomposition, there was a significant correlation between SOC and DOC (r = 0.61). A similar correlation was reported by Haney et al. [2012]. We also observed a significant correlation between Ntot and DON (r = 0.70) in the peat soils examined. No significant correlations were observed between the C/N ratio and DOC and DON.
Even stronger relationships between SOC and DOC were observed in mineral forest soils, where the correlation coefficient was =0.85 [Ostrowska, Porębska 2014]. Therefore, we suggest that the share of DOC in SOC is a more sensitive index of SOM mineralisation stage than the C/N ratio in both peat and mineral soils. This finding is consistent with the measurement results obtained by Kane et al. [2013], who presented evidence that the DOC/DON ratio is the strongest predictor of CO2 production during peat mineralisation and suggested a strong relationship between dissolved organic matter and metabolic processes in peat soils. According to Cao et al. [2017], labile (water extractable) organic carbon is the most active fraction of SOC and has been suggested as sensitive indicator of SOC pool under global change.
Generally, the content of soil Ntot decreased with advancing peat mineralisation. However, as may be seen from the relationship given in Figure 4, the maximum N content was found in soils where the SOC content expressed in relative values was maintained at the level of 70–75%. This corroborates the finding that C and N show various degrees of mobility in the processes of peat mineralisation. The role of N mobility in the indication of peat mineralisation was discussed by several authors, because SOM decomposition and N cycling are closely related processes that demonstrate soil sensitivity to climate warming [Kalbitz, Geyer 2002; Springob, Kirchmann 2003; Pineiro et al. 2006; Nave et al. 2009; Krüger et al. 2015]. Within this context, some experimental works provided empirical evidence suggesting the crucial role of the soil microbial biomass dynamics in the cycling of soil C and N, through influencing the apparent temperature sensitivity of SOM [Haney et al. 2012; Weedon et al. 2012; Tveit et al. 2013; Weedon et al 2013; Krüger et al. 2015].
The loss of soil carbon pool is not steady over time, because it depends on, amongst others, dynamics of climatic and hydrologic phenomena, including alterations in water cycling mechanisms, rises in average temperatures, evapotranspiration and so on. Similarly, Luan et al. [2014] drew attention to different pathways for the C and N losses. Likewise, Wang et al. [2016] observed a significant SOC loss by more than 20% in the top peat soil for 5-year period and no significant changes in the Ntot content and stock. The indication of peat mineralisation degree cannot be based on the values of the C/N ratio, because peat mineralisation to muckous soils results in only a slight decrease in the C/N value, whereas, at the same time, there occurs a marked decline in the SOC content (Table 1).
The values of C/N and DOC/DON ratios result from various processes that occur simultaneously in the soil. The C/N ratio is affected by the fluctuations in the Ntot content, whereas the DOC/DON ratio depends on the release of DOC and DON from SOM. The DON/Ntot ratio is maintained at a similar level, irrespective of the stage of peat mineralisation process, whereas the DOC/SOC increases with peat mineralisation.
From this study as well as from our earlier work [Ostrowska, Porębska 2014], it can be inferred that the loss of SOC illustrates the degradation of peat soil, whereas the increase in Ntot may describe the N eutrophication in peat soils. Hence, the C/N ratio in peat soils may be applied as a provisional estimate in the indication of changes in the soil properties that are important for the growth of plants. The intensity of peat mineralisation may best be indicated using the DOC/SOC ratio.
Our present work may also be regarded as a contribution to a wider context of discussions on carbon fluxes and budgets in degrading peatlands. The importance of measuring or precisely estimating all components and processes underlying these fluxes for accurate evaluation of peat soil decomposition has already been highlighted by numerous authors [Nilsson et al. 2008, Billett et al. 2010, Fortuniak et al. 2017].
Peat soil degradation in the Biebrza valley is observed as an ongoing process coupled with a decrease in SOC content from about 50% in non-mineralised peat to a few percentage in heavily mineralised mucous soils. The loss of soil carbon pool is not steady over time, because it depends on microbial dynamics, weather and hydrologic events, including alterations in water cycling mechanisms, rises in average temperatures, evapotranspiration and so on. Our results indicate that SOC and Ntot did not decrease uniformly during peat decomposition because C and N show various mobility in the processes of SOM mineralisation. Basic indicators and useful tools to support the assessment of peat soil degradation process and its intensity include the content of SOC and the percentage of share of DOC in the SOC. The C/N ratio driven by the changing rate of C and N release may be regarded as indicatory for assessing the enrichment in nitrogen during in the course of soil mineralisation process. The loss of SOC shall be considered as an indicator of habitat changes that occur for longer time periods, for at least for two decades or more.