Electron beam (EB) is a versatile tool used in a wide range of applications. Among other examples, non-thermal electrons are used to achieve controlled chemical and biological effects in order to treat wastewater, inactivate pathogens, sterilize medical products, and irradiate blood components.
More recently, there has been a rising concern due to the presence of highly persistent micropollutants in hospital and municipal effluents. The presence of these substances in effluents pose numerous concerns, including ecological toxicity, antimicrobial resistance [1], endocrine disruption [2], and gradual reduction of fertility [3].
Currently, no treatment to eliminate the majority of emerging micropollutants simultaneously and reliably in the presence of traditional pollutants has been established. However, some advanced oxidation processes (AOPs), which utilize the OH radical, have demonstrated the ability to degrade some of these substances [2]. EB irradiation of wastewater falls into the category of AOPs, as this process produces several highly reactive, oxidizing, and reducing radical species [4], which can effectively degrade persistent pollutants or inactivate pathogens.
Due to EB’s ability to partially or completely inactivate pathogens at significantly lower energies, it has become an emerging alternative technology in many medical, biotechnological, and pharmaceutical applications [5]. The use of low-energy electrons has several advantages over traditional methods. For example, the inactivation of vaccines by EB has proved to be a much faster process, and predominantly damages nucleic acids while still conserving most of the antigenic structures [6].
Other applications include the irradiation of blood and blood components for suppression of T-lymphocytes, and for prevention of disorders such as graft-vs-host disease in immunodeficient patients [7]. The sterilization of medical devices and pharmaceuticals has also become an important commercial application for EB [4].
The chemical and biological effects induced by EB are mainly dependent on the absorbed dose [5]. Consequently, to keep this technology economically viable yet simultaneously effective, the absorbed dose must be minimized and precisely controlled. While liquid dosimetry systems such as Fricke, dichromate, and tetrazolium dosimeter exist, suitable liquid dosimeters which can measure the dose to treat wastewater in the medium dose range of 0.1-10 kGy are unavailable [8].
An investigation into the development of a simple dosimetry system using radiochromic liquid by Handayani and Imawan [9] revealed that the extract from Hibiscus sabdariffa (Roselle) has exhibited a radiochromic effect in this dose range. Roselle contains the natural dye anthocyanin, a renewable bioresource with minimal environmental and health impact [10]. Anthocyanins can be extracted in a simple procedure using a polar solvent.
The dosimeter solution was prepared according to Handayani and Imawan [9]. Preliminary experiments revealed that ethanol-solved Roselle had significant evaporation, interfering with measurements. The sample preparation was then adapted using deionized water instead of ethanol. The dosimeter solution was prepared using 20 g of Roselle extract soaked in 400 mL deionized water as a solvent. The solution was refrigerated at 8–10°C and sealed with aluminum foil for 24 h.
The solution was then filtered using filter paper (Whatman no. 1) and homogenized using a mechanical stirrer at 100 rpm for 30 min. The dosimeter solution was prepared fresh prior to irradiation.
Irradiation was carried out in a four-Petri dish system by placing one 57 μL drop of dosimeter solution in each Petri dish. A 50 μm foil of oriented polypropylene (OPP) was then placed on top of each drop to generate a thin liquid layer (approximately 81 μm), as shown in Fig. 1.

Roselle dosimeter in oriented polypropylene setup.
The samples were irradiated at FEP’s laboratory facility REAMODE, equipped with an electron emitter with 200 keV maximum electron energy. The linear module, shown in Fig. 2, was used, allowing linear transport and height adjustment. The samples were passed eight times under the beam. For all irradiations, the acceleration voltage was set to 200 kV, the distance from the electron exit foil to the sample to 88 mm, and sample speed to 20 mm/s. Adjustments of irradiation doses were made by varying the beam current at 0–0.64 mA. Two batches of dosimeter solution were prepared, with three trials performed for Batch 1 and two trials performed for Batch 2.

FEP’s laboratory EB facility REAMODE (left) with linear module (right).
Irradiated samples were pooled and absorption spectra of the dosimeter solution were measured by pipetting 100 μL of the solution into wells of a 96-well plate (Greiner), with the readout done using Tecan infinite M200 from Tecan Group Ltd., at wavelengths from 400 nm to 800 nm.
The data were then processed and analyzed in order to obtain the absorbance spectrum of the dosimeter solution. Furthermore, the absorbance at peak and net absorbance were plotted as a function of the absorbed dose. Additionally, the shorttime dependence and 4-day time dependence were investigated.
Dose measurements taken from calibrated radiochromic dosimeter film (Gafchromic HD-V2 high-dose dosimetry film, USA and Risø B3 dosimeter, Denmark) were used as a reference and represent the dose at the surface independent of the liquid layer. To account for the dose variations within the sample, the depth-dose distribution in the liquid layer was reproduced using Monte Carlo simulations, as shown in Fig. 3. The average dose in the liquid layer was calculated using the surface dose and the depth-dose curve, resulting in a 16% decrease in the average dose in the liquid layer compared with the average dose in the film.

Depth-dose distribution in the liquid layer.
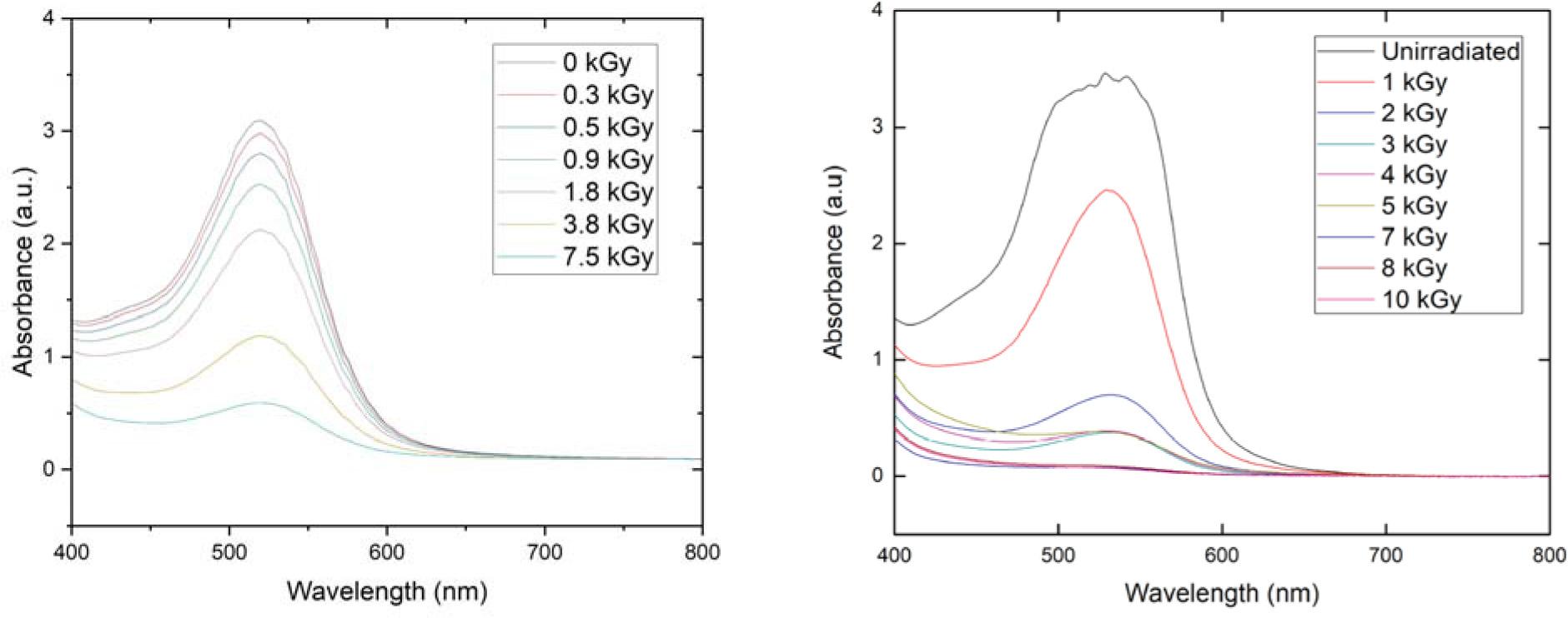
Figure 4 shows the absorbance spectrum for each dose. The absorbance spectra of the dosimeter solution have a peak at 520 nm, in comparison to the spectra from Handayani and Imawan [9] which show a peak at 530 nm. This difference may be due to the use of different solvents during sample preparation, or the use of Roselle extract instead of dried Roselle flower. Nonetheless, the 520 nm peak indicates the presence of anthocyanins, as the prominent absorbance peak of anthocyanins usually lies at 500–550 nm [11, 12].

Absorbance spectra of Roselle dosimeter at different doses (left) and absorbance spectra from Handayani and Imawan [9] (right).
Identically, the spectra show a decrease in absorbance with an increase in dose. This occurs due to the anthocyanin molecule having hydroxide groups (OH), which release their hydrogen atoms as ions into water, upon irradiation [13]. Anthocyanins are usually represented by their flavylium cation, the predominant species at low pH, which gives the distinct red color of the solution [14]. Flavylium cations are easily deprotonated to form the colorless carbinol [15]. Correspondingly, the dosimeter solution presents a red color which fades upon EB irradiation, as shown in Fig. 5.

Roselle dosimeter irradiated at 0, 0.6, 1.3, and 2.5 kGy.
The dosimeter response is defined as the change in absorbance of the solution (ΔA) before irradiation (Ao) and after irradiation (Ai) at the maximum absorbance at 520 nm, and increases exponentially with respect to the dose [9]. The behavior can be modeled by the following function, where D is the dose (kGy), and a and b are model parameters:
Figure 6 shows the absorbance at the 520 nm peak plotted as a function of the absorbed dose, and the dosimeter response as a function of reference dose. As reported [9, 16], absorbance decreases exponentially with an increase in dose. The coefficient of determination (adjusted R2) for the exponential model was 0.99.

Maximum absorbance of Roselle dosimeter at 520 nm peak vs. reference dose (left) and calibration curve of Roselle dosimeter: dosimeter response vs. reference dose (right).
This dose-dependent exponential increase/decrease observed in Fig. 6 occurs due to the large concentration of anthocyanin molecules present before irradiation, which require larger doses to achieve significant degradation. As shown in the calibration curve, significant degradation occurs from 1.8 kGy to 3.8 kGy. This occurs at a higher dose compared with that of ethanol-solved Roselle, wherein the greatest dose response occurs at 0–3 kGy. It has been reported that the fading of color in water-solved Roselle is much slower compared with ethanol-solved Roselle, due to anthocyanins being more stable in water [16]. As the dose is increased further, degradation decreases due to the decrease in concentration of anthocyanin, and at a certain point, a saturation dose will be reached, wherein all the molecules have been degraded and no color change occurs.
The variability observed between measurements is attributed to several factors such as the lack of control in anthocyanin pigments, evaporation, and deviations in the sample collection method.
The short-time dependence of the response was investigated by measuring the absorbance spectrum of the solution at certain time frames. This was done by irradiating a sample at the lowest dose of 0.3 kGy, then measuring the absorbance. Another sample was then irradiated at 0.9 kGy, its absorbance measured, while the absorbance of the 0.3 kGy sample was remeasured. This procedure was repeated as the dose was increased, with all the previous samples being remeasured as a new sample was added. The reverse was also done by starting from the highest dose of 7.5 kGy. Measurements were taken approximately 10 min apart. Absorbance measurements were also taken 1 h after irradiation. After investigation of the short-time dependence, the samples were sealed with aluminum foil and refrigerated at 8–10° for 4 days, and absorbance values were measured thereafter.
As shown in Table 1, the unirradiated solution remained stable over a 1 h time span, with a relative change in peak absorbance of <5%. The 7.5 kGy solution showed instability already at 10 min, increasing in absorbance by 5%. Minimal changes in peak absorbance of 0.5–4.3% occurred for solutions irradiated from 0.3 kGy to 3.8 kGy during the 10–30 min time interval. Although minimal, these uncertainties must be considered when evaluating dosimetric data, even when the readout is done directly after irradiation.
Relative change in peak absorbance of Roselle dosimeter solution at set time intervals. Negative values indicate a decrease in peak absorbance
| Dose (kGy) | Peak absorbance | Relative change in peak absorbance (%) | |||||
|---|---|---|---|---|---|---|---|
| 10 min | 20 min | 30 min | 40 min | 1 h | 96 h | ||
| 0 | 3.74 | 0.6 | 3.9 | 4.1 | –0.3 | –1.1 | –68.8 |
| 0.3 | 2.93 | –0.5 | –1.5 | –2.2 | –2.9 | –8.3 | –53.9 |
| 0.9 | 2.61 | –1.3 | –2.2 | –3.1 | –9.5 | –9.5 | –55.6 |
| 1.8 | 1.20 | –0.7 | –0.7 | –1.5 | –1.9 | –12.1 | –59.1 |
| 3.8 | 1.05 | 0.9 | 2.4 | 4.3 | 5.5 | 5.3 | –3.2 |
| 7.5 | 0.51 | 5.0 | 10.6 | 15.9 | 21.0 | 42.1 | 21.4 |
After 40 min, absorbance measurements for solutions irradiated at 0.3–3.8 kGy showed instability. After 4 days, the change in peak absorbance is over 50% for the majority of samples. The degradation and discoloration of the solution that occurs over time and during storage could be attributed to the anthocyanin molecule’s stability, which is highly susceptible to external factors such as pH, temperature, oxygen, and light exposure [14].
The investigation on the time dependence suggests that absorbance measurements be taken immediately after irradiation. As the unirradiated sample remains stable over the short timescale, this would allow ample time for calibration before beginning dosimetry measurements.
The low-energy EB irradiation response of Roselle dosimeter solution was investigated. Decolorization of the solution and a dose-dependent change in absorbance spectra were observed. The Roselle dosimeter solution can be used as a liquid dosimeter in the range of 0.3–7.5 kGy. However, due to a short-time change of the irradiated dosimeter, it is recommended that the dosimeter solution is prepared fresh prior to irradiation, and that absorbance measurements are taken immediately after irradiation. When absorbance measurements were taken immediately, the relative standard deviation was measured as 9% (k = 1). The sample irradiation and collection method must be optimized to further reduce this uncertainty.