The demand for ionizing radiation detection in non-laboratory in-field conditions is high and constantly increasing, with frequent applications in industry and science. Good examples of such apparatus may be found in the literature [1–6].
Design of the high-temperature (HT) scintillation detector assembly usually comes to the utilization of common solid-state scintillators while facing performance degradation in HTs, such as lower energy resolution, higher signal-to-noise ratio, and the temperature dependency of scintillation efficiency [7]. In terms of readout electronics, the main restriction of applicability of existing laboratory devices is their limited operation temperature bounds, which in the best case is in the extended industrial range (-40°C to +85°C).
Known over the years, a typical acquisition chain of spectrometric signal processing from photomultiplier tubes (PMT) consists of three basic elements. The first mandatory stage is a charge preamplifier, which collects charge from the PMT anode or dynode. The second element of the chain is an expensive spectrometric amplifier built around series of analog filters and amplification circuitry. Its main role is to prepare signal shape for spectrometric analyzes in semigaussian form. The third element of the chain is a data logger, i.e., a spectrometric analyzer composed mainly of sample-and-hold circuitry and successive approximation analog-to-digital converter (ADC). The acquisition time of this ADC may be up to several microseconds.
Another lately proposed approach is a digital method, using fast flash ADCs and digital signal processing (DSP) techniques [8]. In this solution, signal is sampled in high frequency directly from the charge preamplifier and then processed in the field programmable gate array (FPGA) by advanced digital algorithms forming in most cases the final trapezoidal shape, which can be easily registered.
Unfortunately, the setup mentioned above is not suitable for HT applications because it may operate in, at most, a commercial temperature range not exceeding 85°C. In this paper, we propose a solution to overcome temperature limitations. We describe the circuitry (front-end electronics), which is directly coupled with the PMT and precedes the main analyzer logging part.
In our investigations, we usually use the Tukan-8k USB spectrum analyzer [9], which is our commercial design. The temperature bounds in which this device operates are limited only to the industrial range. It is an analog analyzer with a relatively slow sampling rate of the order of 25 MSa/s working with the Gaussian input signal. Due to the requirement of the input signal shape, an appropriate signal processing is then necessary, which adjusts the signal path from the detector appropriately. The general scheme of the measurement system is presented in Fig. 1.

The general scheme of the measurement system during the investigations.
Of course, fast ADC converters also exist and are available on the market, and these can operate at temperatures up to 125°C (one example being the AD9266-EP). So, it is possible to develop the device to adapt the logging part to a wider temperature range. However, in order to test the newly designed device, it is necessary to build an experimental setup, which, apart from the tested device, will consist only of elements with well-known characteristics. In consequence, the purpose of this work is to test and evaluate the concept of the signal conditioning module designed for use in temperatures exceeding the extended industrial temperature.
The structure of the shaping system presented by us consists of three parts and is presented in Fig. 2. The first-stage is a charge-sensitive amplifier. Then there are three low-pass filters. The final stage is the gain circuit with baseline correction.

General concept of signal conditioning module.
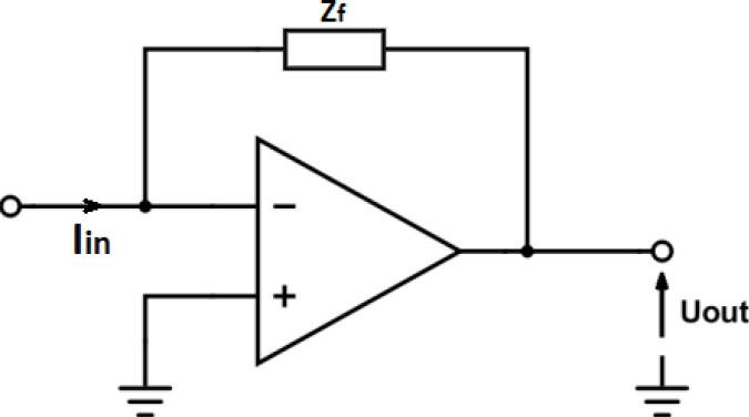
The input stage of the signal conditioning module is a charge amplifier (Fig. 3) since it is meant to be connected directly to the PMT anode, which has the characteristics of the almost ideal current source [10]. In this configuration, the charge amplifier presents a low impedance, i.e., almost virtual zero for the PMT anode or dynode. The output voltage of this first-stage amplifier in a wide frequency range is strictly dependent on the feedback impedance Zf value:

The transimpedance amplifier.
The equation describing a shape of output of the signal is shown below.
The shape of the signal, received at the output of the charge amplifier, does not have the satisfactory shape, length, and amplitude required by the Tukan-8k USB to be properly intercepted and processed. The peak of the signal is too sharp and can be inadequately interpreted.
Because the objective of this work was to develop a signal conditioning module for the moderate sampling rate instrumentation, additional signal processing was necessary. The basic solution, in this case, was flattening the shape of the pulses. Flattening causes a situation wherein the peak value of each of the pulses would be capable of undergoing proper detection by the ADC. As a result of flattening of the signal from the charge amplifier, we achieve a quasigaussian shape, which is an adequate form for the Tukan-8k USB analyzer. In order to achieve this kind of shape, the additional low-pass filtering circuit was considered. For this purpose, a second-order low-pass active filter circuit based on the Sallen–Key architecture [11] was chosen (Fig. 4). This filter is characterized by good stability, high input, and low output impedance. Moreover, the gain of the Sallen–Key filter is close to unity.

The low-pass filter circuit (Sallen–Key configuration) used in the design.
As the final stage of signal shaping, the gain module was introduced to provide an appropriate signal level. The module output is matched to a 50 Ω load.
To provide the required functionality up to the desired temperature of 120°C, the selection of the semiconductor components was constrained by the requirement of the rated temperature of at least 125°C, which in most cases corresponds to the military or automotive grade devices. Similarly, all of the RLC components were accordingly selected to provide desired characteristics over the required temperature range.
The signal conditioning module is powered by one voltage line. The power voltages in the range from +9 V to +14 V are considered acceptable. The power supply unit is composed of DC–DC regulators and low dropout voltage regulators for reducing noise. The final voltages with which the elements of the signal path are supplied are +9 V and −3.25 V.
Since the designed circuit is to be placed as the first stage of the signal processing circuit, the noise figure is of high concern. Therefore, a low-noise operational amplifier (LT6202) was chosen for the design of the transimpedance amplifier and the subsequent low-pass filtering circuits.
The next in the chain low-pass filtering stage was composed of three second-order low-pass filters. To ensure a large slope of the transfer characteristics, a series connection of three such circuits was used. Since a single second-order filter gives an attenuation of 20 dB/decade, the fully designed circuit can be characterized by a 60 dB/decade roll-off (Fig. 5). This part of the circuit was designed to have the 150 kHz approximate summary corner frequency.

The Bode plot of the transimpedance of the complete signal conditioning circuit.
The printed circuit board for the described module, containing all the mentioned elements, was designed and manufactured. The board consists of two signal layers, which are separated by two internal power plane layers. The board is based on FR-4 laminate with an increased glass transition temperature (approx. 170°C), which makes it safe for exploitation in hot environments. Figure 6 shows the photo of the designed module printed board with assembled hardware elements.

The photograph of the designed temperature proof device.
To evaluate the intended functionality, the manufactured signal conditioning module underwent several tests. The quality of signal processing was verified by the calculation and comparison of the full width at half maximum (FWHM) of the emission peak energies identified in the measured spectra. Two types of tests were undertaken, intended to evaluate the operation in the presence of different energies of radiation, as well as the impact of the radiation intensity. Additionally, these series of measurements were repeated in different temperatures from 20°C to 120°C. For this purpose, the “PreAmp Shape” was placed inside a climate chamber (Binder MKF720), while every other part of the equipment, as well as the radiation source, were kept outside. Such an approach was undertaken to exclude the influence of other unwanted factors on the results gathered. The setup is presented in Fig. 7.

Experimental setup.
The 3” × 3” cylindrical LaBr3 scintillator was selected for all measurements. It was powered by an Ortec 556 power supply set to +700 V. The conditioned signal was processed by an acquisition system based on a Tukan-8k USB analyzer. An exemplary spectrum of the Eu-152 source is shown in Fig. 8.

Eu-152 spectrum; temperature: 20°C, count rate: 30 kcps.
The main result of our solution is the shape of the signal produced by the presented module. Figure 9a presents the plot of the signal from a charge preamplifier, while Fig. 9b shows the final wave. The front slope of the final pulse is roughly 1 μs long, which is well-fitted for the used data logger to process.

The shapes of the signals from charge preamplifier and from output of our module.
Measurements for temperatures ranging from 20°C to 120°C were performed with the “PreAmp Shape” placed inside the climate chamber. The observations were done every 10°C with a series of count rates rising from 2 kilocounts per second (kcps) up to 60 kcps. The Na-22 isotope was used as the main radiation source. Also carried out were single measurements for Cs-137, Co-60, and Eu-152 sources, at a count rate of 30 kcps.
The Na-22 radiation source was placed at 13 selected distances from the detector, which correspond to different data logger count rates. When, for every temperature, the source was being moved closer toward the detector, a slight shift (~1.3%) in the full energy peak (FEP) position was visible, as may be seen in Fig. 10.

Dependence of the 511 keV (Na-22) peak position on the count rate.
Simultaneously with the rise of temperature inside the climate chamber, small variations in the count rate were also observed. The highest deviation of around 3 kcps was registered for the closest placement to the detector, which is presented in Fig. 11.

The dependence of count rate for different temperatures, for the Na-22 radiation source.
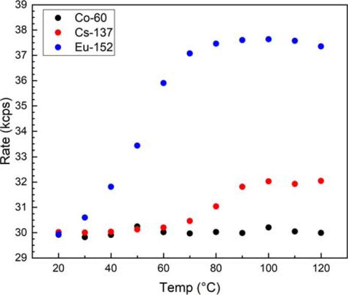
For the additional radiation sources, a different behavior was observed. The measured count rate for the Co-60 source was constant for all temperatures; for the Cs-137 source, the count rates started to rise for temperatures from 70°C to 100°C, to reach the final value of 32 kcps; and for the Eu-152 source, the count rates began to rise with the rise of temperature to 70°C and remained constant at 37 kcps for higher temperatures, as presented in Fig. 12.

The dependence of count rate for different temperatures, for other radiation sources.
Another important factor is the energy resolution of identified FEPs. The FWHM is given by the equation:
For every temperature and count rate, the FWHM of two sodium lines (511 keV and 1275 keV) was calculated. Throughout all measurements, no major deviation from an average value, 3.67% and 2.53%, respectively, was observed. This is shown in Fig. 13 and in Table 1.

The energy resolution of two FEP from the Na-22 source (511 keV – black, 1275 keV – red), for different temperatures.
The mean values of energy resolution of the 511 keV full energy peak for chosen count rates
| Count rate (kcps) | FWHM (%) |
|---|---|
| 2 | 3.70 |
| 5 | 3.70 |
| 10 | 3.71 |
| 15 | 3.68 |
| 20 | 3.68 |
| 25 | 3.67 |
| 30 | 3.67 |
| 35 | 3.67 |
| 40 | 3.66 |
| 45 | 3.66 |
| 50 | 3.65 |
| 55 | 3.65 |
| 60 | 3.64 |
As part of the work related to the “PreAmp Shape” measurements, we designed and built an experimental setup that simulates harsh environmental conditions, in particular temperature variability. The design used for this setup was formulated in a way that would enable testing of the properties of the “PreAmp Shape” device, which has been designed and built to shape the signal from the PMT to a form well-fitted for the data logger, in our case Tukan-8k USB. The measurements were carried out for the temperature range from 20°C to 120°C, with the use of various radioactive sources. The analysis of the obtained results showed that the “PreAmp Shape” works stably and predictably, which is reflected in such parameters of the collected spectra as:
- –
the stability of the centroid position for peak 511 keV (for the Na-22 radiation source) (Fig. 10);
- –
the stability of the count rate for the Na-22 source
(which is practically constant apart from slight deviations observed only for 55 kcps and 60 kcps) (Fig. 11); and
- –
constant FWHM (Fig. 13).
The presented results show that the “PreAmp Shape” can be successfully used as a pulse shaping system for harsh environmental conditions along with data loggers working at a moderate rate, but not only those working at such a rate. Another advantage of the designed “PreAmp Shape” is that there is a need only for a single 12 V supplying line. Furthermore, it can replace two devices that require additional apparatus. Our device (with minor modifications to the implemented electronic elements) may be used in several experimental setups or commercial installations, e.g., the well logging industry and other scientific applications.