Fig. 1.

Fig. 2.

Fig. 3.

Fig. 4.

Fig. 5.

Fig. 6.

Fig. 7.

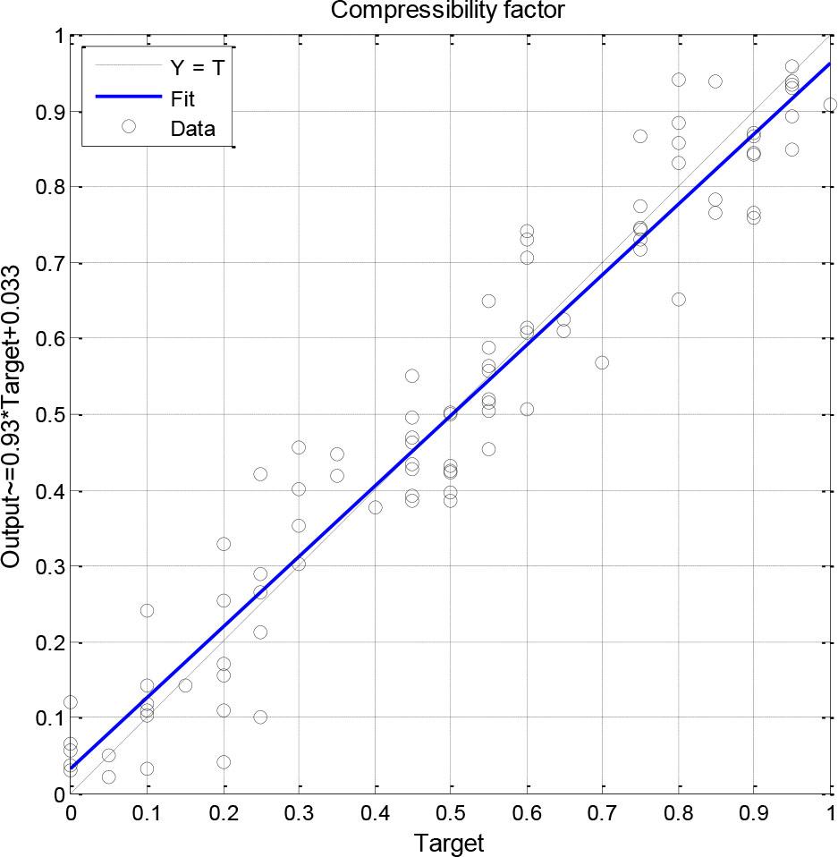
Fig. 8.

Fig. 9.

Fig. 10.

Comparative analysis of LM and SCGD algorithms_
| Algorithm | R2 | MSNE | RMSE | MAE |
|---|---|---|---|---|
| LM | 0.99032 | 0.0581 | 0.1206 | 0.087 |
| SCGD | 0.94229 | 0.0953 | 0.1543 | 0.1144 |
Comparison between MLP and RBF models_
| Type ANN | R2 | MSNE | RMSE | MAE |
|---|---|---|---|---|
| MLP-ANN | 0.99032 | 0.0581 | 0.1206 | 0.087 |
| RBF-ANN | 0.99899 | 0.000729 | 0.0135 | 0.0075 |
Tested combination of activation functions of MLP-ANN_
| Activation function hidden layer | Activation function output layer | R2 | MSNE | RMSE | MAE |
|---|---|---|---|---|---|
| tansig | tansig | 0.99032 | 0.0581 | 0.1206 | 0.087 |
| tansig | purelin | 0.99219 | 0.3866 | 0.3109 | 0.2363 |
| logsig | tansig | 0.94438 | 0.1034 | 0.1607 | 0.1072 |
| logsig | purelin | 0.98062 | 0.6353 | 0.3985 | 0.3117 |
| purelin | tansig | 0.82875 | 0.1136 | 0.1685 | 0.1184 |
| logsig | logsig | 0.83831 | 0.2505 | 0.2502 | 0.1884 |
| tansig | logsig | 0.85305 | 0.2536 | 0.2518 | 0.195 |
| purelin | logsig | 0.68672 | 0.2955 | 0.2718 | 0.2067 |
Influence of hidden neurons of RBF-ANN_
| Spread value | Neurons | MSE | MSNE | RMSE | MAE |
|---|---|---|---|---|---|
| 0.1 | 140 | 0.99899 | 0.00073 | 0.0135 | 0.0075 |
| 0.3 | 140 | 0.99742 | 0.0019 | 0.0215 | 0.0108 |
| 0.5 | 140 | 0.99477 | 0.0038 | 0.0306 | 0.014 |
| 0.1 | 130 | 0.9973 | 0.0019 | 0.022 | 0.0141 |
| 0.3 | 130 | 0.99257 | 0.0053 | 0.0365 | 0.0181 |
| 0.5 | 130 | 0.99272 | 0.0052 | 0.0361 | 0.0177 |
| 0.1 | 120 | 0.9936 | 0.0046 | 0.0339 | 0.02 |
| 0.3 | 120 | 0.98875 | 0.0081 | 0.0449 | 0.0268 |
| 0.5 | 120 | 0.98833 | 0.0084 | 0.0457 | 0.0266 |