Figure 1

Figure 2

Figure 3

Figure 4

Figure 5

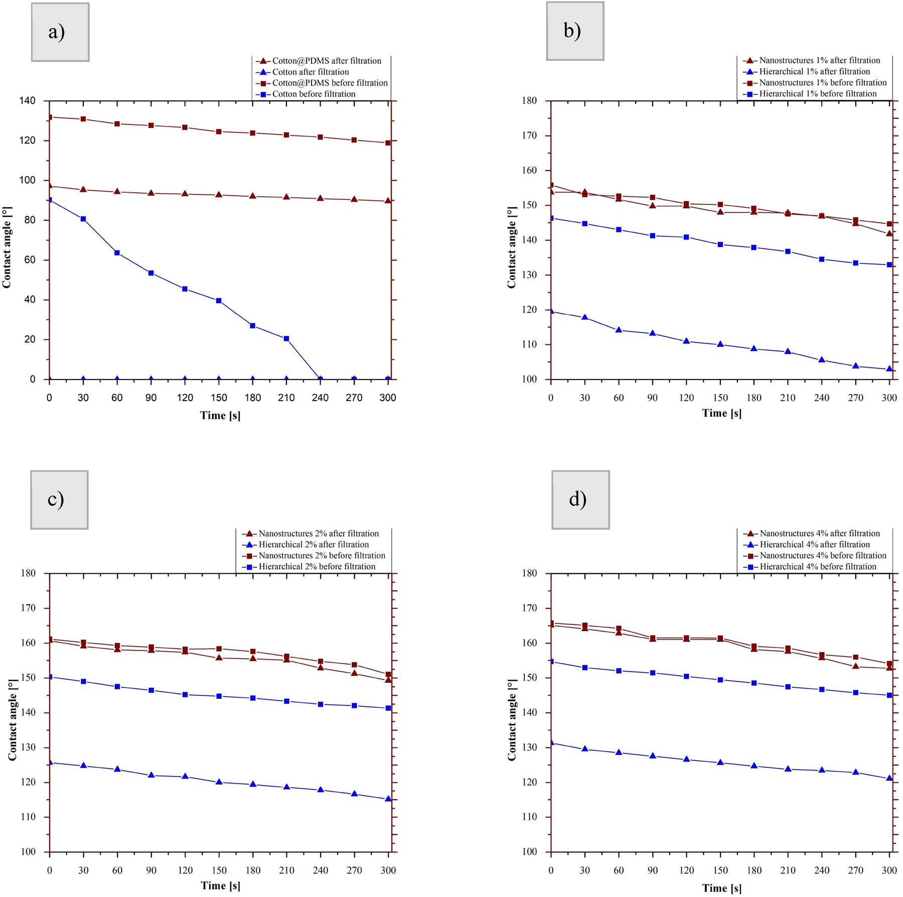
Figure 6

Figure 7

Figure 8

Figure 9

Oil absorption on the membrane_
| Number of cycles | Cotton | Cotton@PDMS | H 1% | N 1% | H 2% | N 2% | H 4% | N 4% |
|---|---|---|---|---|---|---|---|---|
| 0 | 0.8551 | 0.9849 | 1.1933 | 1.2409 | 1.2324 | 1.3624 | 1.3219 | 1.5311 |
| 10 | 2.0315 | 2.9851 | 3.2713 | 2.9003 | 3.3039 | 3.4356 | 3.509 | 2.9571 |
Water blocking efficiency_
| Number of cycles | Cotton | Cotton@PDMS | H 0.12 | N 0.12 | H 0.25 | N 0.25 | H 0.5 | N 0.5 |
|---|---|---|---|---|---|---|---|---|
| 1 | ☒ | ✓ | ✓ | ✓ | ✓ | ✓ | ✓ | ✓ |
| 2 | ☒ | ✓ | ✓ | ✓ | ✓ | ✓ | ✓ | ✓ |
| 3 | ☒ | ✓ | ✓ | ✓ | ✓ | ✓ | ✓ | ✓ |
| 4 | ☒ | ✓ | ✓ | ✓ | ✓ | ✓ | ✓ | ✓ |
| 5 | ☒ | ☒ | ✓ | ✓ | ✓ | ✓ | ✓ | ✓ |
| 6 | ☒ | ☒ | ✓ | ✓ | ✓ | ✓ | ✓ | ✓ |
| 7 | ☒ | ☒ | ☒ | ✓ | ☒ | ✓ | ✓ | ✓ |
| 8 | ☒ | ☒ | ☒ | ✓ | ☒ | ✓ | ✓ | ✓ |
| 9 | ☒ | ☒ | ☒ | ✓ | ☒ | ✓ | ✓ | ✓ |
| 10 | ☒ | ☒ | ☒ | ✓ | ☒ | ✓ | ✓ | ✓ |
Images of water droplets on membranes_
| 0 s | 300 s | |
|---|---|---|
| Cotton |
|
|
| Cotton@PDMS |
|
|
| Hierarchical 1 |
|
|
| Hierarchical 2 |
|
|
| Hierarchical 4 |
|
|
| Nanostructure 1 |
|
|
| Nanostructure 2 |
|
|
| Nanostructure 4 |
|
|