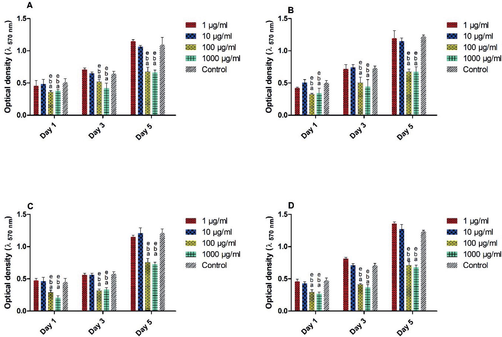
Fig. 1.

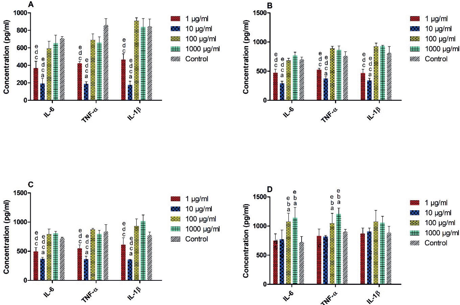
Fig. 2.

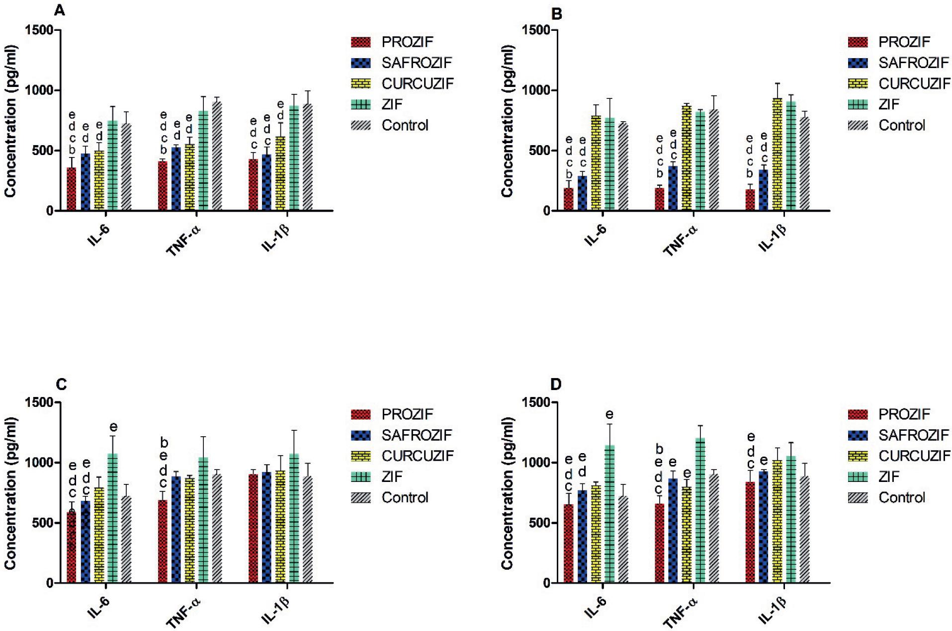
Fig. 3.

Fig. 4.

Fig. 5.

Fig. 6.

Fig. 7.








© 2024 Hongtao Zhang, Kui Xu, Zhen Zhao, Chuan Dong, Yunfei Zhang, published by Wroclaw University of Science and Technology
This work is licensed under the Creative Commons Attribution-NonCommercial-NoDerivatives 4.0 License.