Abb. 1:

Abb. 2:

Abb. 3:

Abb. 4:

Abb. 5:

Abb. 6:

Abb. 7:

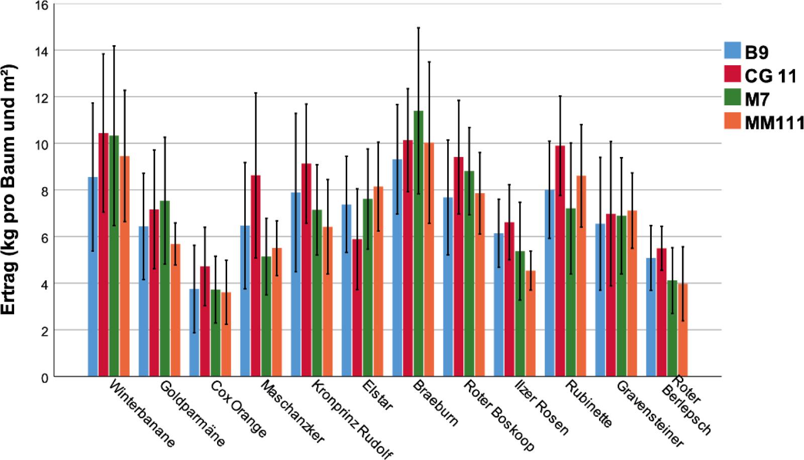
Abb. 8:

Ergebnisse der statistischen Auswertung des Klasse-1-Anteils in % 2021 und 2022 (Werte einer Spalte mit gleichen Buchstaben unterscheiden sich nicht signifikant)
| Sorte | Klasse 1 in % 2021 | Sorte | Klasse 1 in % 2022 |
|---|---|---|---|
| Gravensteiner | 39,0 a | Roter Boskoop | 49,0 a |
| Roter Berlepsch | 39,1 a | Winterbanane | 50,3 a |
| Elstar | 43,3 ab | Cox Orange | 51,1 a |
| Rubinette | 52,4 abc | Maschanzker | 54,3 ab |
| Winterbanane | 52,4 abc | Goldparmäne | 61,4 abc |
| Braeburn | 53,4 abc | Rubinette | 70,5 abc |
| Goldparmäne | 56,4 bce | Braeburn | 70,9 abc |
| Kronprinz Rudolf | 62,2 cde | Kronprinz Rudolf | 71,4 abc |
| Cox Orange | 66,0 cde | Roter Berlepsch | 72,2 abc |
| Ilzer Rosen | 67,4 cde | Elstar | 76,5 bc |
| Roter Boskoop | 71,6 de | Gravensteiner | 76,9 bc |
| Maschanzker | 75 e | Ilzer Rosen | 82,4 c |
Ergebnisse der statistischen Auswertung des Fruchtgewichts in g 2021, 2022 und 2023 (Werte einer Spalte mit gleichen Buchstaben unterscheiden sich nicht signifikant)
| Sorte | Fruchtgewicht in g 2021 | Sorte | Fruchtgewicht in g 2022 | Sorte | Fruchtgewicht in g 2023 |
|---|---|---|---|---|---|
| Maschanzker | 104 a | Ilzer Rosen | 108 a | Maschanzker | 106 a |
| Ilzer Rosen | 110 ab | Maschanzker | 122 ab | Ilzer Rosen | 113 ab |
| Rubinette | 113 ab | Kronprinz Rudolf | 132 abc | Kronprinz Rudolf | 114 ab |
| Roter Berlepsch | 119 ab | Roter Berlepsch | 135 abcd | Roter Berlepsch | 123 abc |
| Kronprinz Rudolf | 125 bc | Elstar | 142 abcd | Goldparmäne | 124 abc |
| Goldparmäne | 139 cd | Rubinette | 157 bcde | Rubinette | 127 bc |
| Elstar | 142 d | Cox Orange | 165 cde | Cox Orange | 136 cd |
| Cox Orange | 142 de | Goldparmäne | 166 cde | Elstar | 151 de |
| Gravensteiner | 159 e | Gravensteiner | 168 de | Gravensteiner | 163 e |
| Braeburn | 180 f | Braeburn | 190 e | Winterbanane | 187 f |
| Winterbanane | 213 g | Winterbanane | 246 f | Braeburn | 201 f |
| Roter Boskoop | 239 h | Roter Boskoop | 287 g | Roter Boskoop | 279 g |
Ergebnisse der statistischen Auswertung des Ertrags in kg pro Baum 2019 bis 2023, des Ertrags in kg pro Baum pro m2 Standfläche 2019 bis 2023 und der Stammquerschnittsfläche in cm2 2023 (Werte einer Spalte mit gleichen Buchstaben unterscheiden sich nicht signifikant)
| Sorte | Ertrag in kg pro Baum 2019 bis 2023 | Sorte | Ertrag in kg pro Baum pro m2 Standfläche 2019 bis 2023 | Sorte | Stammquerschnittsfläche in cm2 2023 |
|---|---|---|---|---|---|
| Cox Orange | 18,2 a | Cox Orange | 3,9 a | Winterbanane | 21,0 a |
| Roter Berlepsch | 20,7 ab | Roter Berlepsch | 4,7 ab | Maschanzker | 21,4 ab |
| Ilzer Rosen | 25,6 bc | Ilzer Rosen | 5,6 bc | Braeburn | 25,1 abc |
| Maschanzker | 27,8 cd | Maschanzker | 6,4 cd | Goldparmäne | 25,8 abcd |
| Goldparmäne | 31,5 cde | Goldparmäne | 6,7 cd | Ilzer Rosen | 26,5 bcd |
| Gravensteiner | 32,9 def | Gravensteiner | 6,9 cd | Kronprinz Rudolf | 27,4 cde |
| Kronprinz Rudolf | 34,6 efg | Elstar | 7,2 de | Roter Berlepsch | 28,2 cde |
| Elstar | 35,2 efg | Kronprinz Rudolf | 7,6 de | Cox Orange | 28,5 cde |
| Rubinette | 38,8 fg | Rubinette | 8,4 ef | Rubinette | 29,5 cdef |
| Roter Boskoop | 40,2gh | Roter Boskoop | 8,5 ef | Elstar | 30,6 def |
| Winterbanane | 45,7 hi | Winterbanane | 9,7 fg | Gravensteiner | 32,4 ef |
| Braeburn | 49,9 i | Braeburn | 10,3 g | Roter Boskoop | 34,0 f |
Ergebnisse der statistischen Auswertung des Ertrags in kg pro Baum 2019 bis 2023, des Ertrags in kg pro Baum pro m2 Standfläche 2019 bis 2023 und der Stammquerschnittsfläche in cm2 2023 der Versuchsunterlagen (Werte einer Spalte mit gleichen Buchstaben unterscheiden sich nicht signifikant)
| Unterlage | Ertrag in kg pro Baum 2019 bis 2023 | Unterlage | Ertrag in kg pro Baum pro m2 Standfläche 2019 bis 2023 | Ertrag in kg pro Baum pro m2 Standfläche 2019 bis 2023 | Stammquerschnittsfläche in cm2 2023 |
|---|---|---|---|---|---|
| B9 | 21,7 a | MM111 | 6,8 a | B9 | 15,8 a |
| CG 11 | 24,3 a | B9 | 6,9 a | CG 11 | 17,4 a |
| MM111 | 42,07 b | M7 | 7,1 a | M7 | 34,5 b |
| M7 | 43,9 b | CG 11 | 7,8 b | MM111 | 41,2 c |