Recent warming trends alter phenology, including plant phenophases such as flowering (Miller-Rushing & Primack 2008; Richardson et al. 2013) as confirmed by a rapidly growing number of phenology studies (Lukasová et al. 2020; Keatley & Hudson 2010; Schwartz 2013; Wolkovich & Ettinger 2014). Due to their interdisciplinary nature, phenological data have been extensively implemented as indicators in various areas of science, such as climate change, ecology and ecosystem processes, biodiversity, forestry, agriculture, and human health and well-being (Miller-Rushing & Primack 2008; Post et al. 2008; Keatley & Hudson 2010; Sapkota et al. 2019; Kowalski et al. 2020; Škvareninová et al. 2022). In the case of ornamental plants, which are introduced to the environment mainly due to their visual values and blooming is a crucial trait of their decorativeness (Włodarczyk & Perzanowska 2007; Inoue & Nagai 2015; Hoyle et al. 2017; Cosmulescu et al. 2020), climate-related changes in the timing and duration of flowering demand special attention. Tooke and Battey (2010) suggest a pressing need for a thorough analysis of plants’ flowering stages and flowering duration. Similarly, Laskowska et al. (2015) and Zachariasz (2011) suggest the need for phenological research on rose cultivars to make appropriate selections for restoring historical gardens.
Cultivated since antiquity, roses have played an important role in human life throughout the centuries and are currently one of the most popular species in the horticulture industry (Bendahmane et al. 2013; Waliczek et al. 2015; Monder 2018). By comparison with other ornamental plants, roses are exceptional in terms of the number of varieties, estimated to be approximately 30 thousand (Bendahmane et al. 2013; Qiu et al. 2013; Polishchuk et al.), and the diversity of growth types, shape, color and fragrance of flowers, the shape of petals and number of petals in a single flower. Within the Rosa genus, two flowering phenotypes can be distinguished: once-flowering and continuous flowering caused by a mutation in a TFL1-like flowering repressor gene (RoKSN) (Smulders et al. 2019). Reblooming after the first flush of blossom, known as recurrent blooming, is characteristic of most modern roses (Younis et al. 2009) and ornamental plants, such as lavender, pelargonium, and jasmine (Smulders et al. 2019). The reblooming roses provide high ornamental value throughout the growing season and are thus eagerly used in public spaces and home gardens. However, the influence of exogenous factors such as temperature on the molecular mechanisms underlying this process is still being investigated (Roberts & Blake 2003; Iwata et al. 2012; Kurokura et al. 2013; Dong et al. 2017; Soufflet-Freslon et al. 2019). Depending on environmental conditions, recurrent blooming can be continuous in a favorable season or occasionally later (Iwata et al. 2012; Smulders et al. 2019).
To allow a better understanding of the effects of changing climate, flowering phenological datasets need to include more flowering stages and records of flowering duration. In addition, the recording and interpretation of climate data need to account for the developmental cycle underlying flower production. Additionally, the proper selection of plant material for diverse landscape habitats is of economic importance, as the choice of plants influences maintenance costs (Bulíř 2013; Inoue & Nagai 2015; Laskowska et al. 2015; Wang et al. 2017a; Cosmulescu et al. 2020). Contemporary space and landscape designers create compositions that combine many herbaceous plant species with woody plants in such a way as to ensure high ornamental value throughout the growing season. The use of roses in such places meets these expectations. Roses are characterized by a high diversity of cultivars with a rich palette of colors, so it is easy to select a cultivar well suited to the whole composition (Court 2004). Apart from color, the other trait of particular importance in planting design is the timing and duration of flowering (Wang et al. 2020).
The study’s main aim was to investigate the flowering phenology (the total and full flowering duration) of 37 cultivars of shrub roses in response to meteorological conditions based on eight years of observations. Specific objectives included (1) grouping shrub rose cultivars according to their dominant flowering stage and (2) selecting the cultivars that would maintain the highest ornamental value regardless of weather fluctuations. Shrub roses, also known as landscape roses (Zlesak et al. 2017; Harp et al. 2019) were chosen because they belong to one of the five most popular modern rose classes (Zlesak 2007; Pemberton & Karlik 2015) and are valuable indicators of meteorological and climate conditions (Harp et al. 2019). We hypothesized that the duration of flowering stages, reflecting flowering abundance, depends on meteorological conditions and can be a good indicator of meteorological elements. The novel approach of our study based on rose cultivar classification according to the dominant flowering stage expands the knowledge about the response of modern rose cultivars to growing conditions and can support the process of selecting the most suitable plants for achieving the best long-term visual and economic, and ecological effects in various types of cultural landscapes.
The study was carried out from 2012 to 2019 in an experimental field plot in southern Krakow, Poland (49°58′N, 19°54′E, 242.1 m a.s.l.). According to the Köppen classification, this area is within a cold climate zone (Dfb) with a warm summer and no dry season (Peel et al. 2007).
Meteorological data, i.e., average daily air temperature, maximum and minimum temperature, and daily precipitation totals, were obtained from the National Institute of Meteorology and Water Management – National Research Centre, from the Kraków-Balice meteorological station (50°05′N, 19°48′E, 238.2 m a.s.l.), located closest to the research site. Temperature conditions were characterized based on deviations from the norm (1981–2010) (Ziernicka 2002), and precipitation conditions were characterized based on deviations from the long-term average rainfall total (1981–2010) (Kaczorowska 1962) for a given month.
The experiment was conducted on a slightly to moderately acidic soil classified as light loamy sand (pH values varied between 5.5–6.3), with electrical conductivity (EC) below 1 dS cm−1 and organic matter content from 2.5% to 3.3%. During the experiment, plants were cultivated using typical procedures (Karlik et al. 2003; Lerner et al. 2003). Mineral fertilization was applied annually, twice during the growing season – in the early spring (usually March/April) and after the first flush of bloom (in June). Irrigation was not used. A total of 37 rose cultivars were used in four replications, each of which constituted one shrub. Plants were placed randomly in four blocks, each containing one shrub of every cultivar. The spacing was one plant per 2 m2. Roses had been cultivated in the field plot for four years before the start of the experiment.
The subject of the study was the flowering phenology of 37 roses (Rosa L.) cultivars classified as shrub roses. It is a group of roses with a bushy habit and vigorous shoot growth, from 1.5 to 4.5 m (Cairns 2003; Zlesak 2007). Of the 37 cultivars, 36 are repeat-flowering roses, producing more than one flush of blooms in a single season. The rose cultivars were obtained from 14 breeders, of which all but two were European. They were bred between 1868 (‘Zephirine Drouhin’) and 2004 (‘Abracadabra’). The rose cultivars were propagated by the budding method using Rosa multiflora Thunb. as a rootstock.
The same individual performed the phenological observations for eight years (2012–2019) at three-day intervals during the flowering period to enable accurate detection of changes in flowering stages. Approximately 50 observations were made yearly, with 14,800 results registered during the studied period. The BBCH scale (Biologische Bundesanstalt, Bundessortenamt und Chemische Industrie) (Meier 1997; Meier et al. 2009) for distinguishing rose flowering stages was adopted and modified for the study. Five flowering stages (FS) were established for the evaluation of the course and intensity of flowering, defined as follows: FS10 – at least 10% flowering shoots but less than 25%; FS25 – at least 25% flowering shoots but less than 50%; FS50 – at least 50% flowering shoots but less than 75%; FS75 – at least 75% flowering shoots but less than 100%; and FS100 – 100% flowering shoots. The start of the flowering stage was defined as 10% flowering shoots, according to a principle applied in phenological observations (Tomaszewska & Rutkowski 1999; Meier et al. 2009), and the end of flowering was recognized as less than 10% flowering shoots or destruction of the flowers by autumn frosts (Fig. 1). The analysis took into account total flowering duration, comprising five flowering stages (FS10, FS25, FS50, FS75, and FS100), and entire flowering duration, consisting of FS50, FS75, and FS100 and corresponding to BBCH stage 65 (Meier et al. 2009). The latter period, characterized by at least 50% flowering shoots, was adopted in the analysis to indicate high ornamental value. The total and full flowering duration were expressed as numbers of days (Fig. 1).
Figure 1.
The course of the flowering of repeat-flowering roses with two flushes of blooms
AB – total flowering duration, CD – full flowering duration in first flush, EF – full flowering duration in second flush, and CD+EF – full flowering duration
For the data analyses, the dependent variable was the duration (number of days) of individual flowering stages for the expected independent variables: 37 rose cultivars across the growing season and years of the study. All flowering data were checked for normality by the Shapiro–Wilk test (StatSoft 2013). Since the Shapiro–Wilk test showed a lack of normal distribution, a generalized linear model (GLM) for Poisson distribution was used to test whether the duration of individual flowering stages (FS) changed across the study years. Spearman’s correlation coefficients were determined to assess the relationship between individual flowering stages and meteorological data (min, max, average temperature, and precipitation) in Statistica version 13.0 (StatSoft 2013). Finally, the percentage contribution of each rose cultivar in the five flowering stages (FS10, FS25, FS50, FS75, and FS100) was quantified using SIMPER analysis performed in PAST software (Hammer et al. 2001).
The average annual air temperature in Krakow during the eight-year study period of 2012–2019 was 9.5 °C, which was 1.1 °C higher than the long-term average from 1981–2010 considered to be the current climatic standard (Fig. 2). The increase in air temperature in the period 1981–2019 is estimated at approximately 0.4 °C per decade. The average annual precipitation in Krakow in 2012–2019 was 637 mm, 35.3 mm lower than the long-term average from 1981–2010, and accounted for 95%. The analyzed research period agrees with the observed increase in air temperature in Poland and almost worldwide (IPCC 2021; Monder 2021). In warmer climates, weather, and climatic extremes, for example, related to excess or deficiency of water, will intensify and affect plant vegetation (Seneviratne et al. 2012; IPCC 2021).
Figure 2.
Average annual air temperature values in Krakow in the years 1981–2019 and average ± SE annual air temperature (black line) and precipitation (grey bars) values in Krakow during the study period (2012–2019)
The meteorological conditions during the roses’ dormancy and growing season varied over the eight years of the study. Out of ninety-six months analyzed, only twelve months – January 2014, February 2013, February 2015, February 2017, April 2012 and 2016, May 2013, May 2015, July 2019, August 2014, November 2016, and December 2016 – were within the normal range, and half of these comprised the growing season. The most extreme values of the climate average were analyzed in detail in terms of temperature and precipitation and, in some cases, the combination of both extremes. Thus, October 2021 was extremely wet, and in the following year, there were three extreme months – an extremely cold March, an extremely dry April, and an extremely wet June. There were no temperature or precipitation extremes in 2014. August 2015 was extremely warm, whereas December 2015 was extremely warm and dry. In the following year, February was extremely warm, and February, July, and October were extremely wet. In 2017, January was extremely dry, while September was extremely wet. In 2018, April was extremely warm and extremely dry, while May and August were extremely warm. In the final year of the study, August and December were extremely warm, while June was extremely warm and dry (Fig. 3).
Figure 3.
Classification of months according to temperature and precipitation in Krakow in the years 2012–2019
The total flowering duration of the cultivars, calculated as the average from eight years, ranged from 31 to 115 days with a mean of 90.4 days (Table 1). Twenty-three of the cultivars (i.e., 62% of all studied cultivars) were in bloom longer than the average. The longest full flowering period was noted for ‘Schneewittchen’ syn. ‘Iceberg’ – 114.5 days, and the shortest for ‘Veilchenblau’ – 31.1 days (Table 1).
Average total flowering duration (as dependent variable) and full flowering duration of cultivar roses and the results of Spearman correlation with meteorological parameters from 2012–2019
| Cultivar roses | Total flowering duration [days] | Full flowering duration [days] | Full flowering duration as a percentage of total flowering duration [%] | Spearman correlations | |
|---|---|---|---|---|---|
| Average temperature [°C] | Precipitation [mm] | ||||
| ‘Abracadabra’ | 96.1 | 34.1 | 35.5 | 0.28* | −0.01 |
| ‘Clair Matin’ | 97.6 | 31.0 | 31.8 | 0.32* | −0.05 |
| ‘Compassion’ | 93.9 | 37.8 | 40.3 | 0.39* | 0.00 |
| ‘Dirigent’ | 92.9 | 33.6 | 36.2 | 0.42* | 0.04 |
| ‘Eden Rose’ | 105.0 | 53.3 | 50.8 | 0.36* | 0.00 |
| ‘Fisherman’s Friend’ | 78.0 | 21.0 | 26.9 | 0.50* | 0.01 |
| ‘Fred Loads‘ | 96.0 | 41.9 | 43.6 | 0.45* | 0.03 |
| ‘Graham Thomas’ | 95.9 | 25.9 | 27.0 | 0.31* | 0.02 |
| ‘Händel’ | 77.3 | 21.3 | 27.6 | 0.40* | 0.05 |
| ‘Heritage’ | 88.6 | 29.0 | 32.7 | 0.42* | 0.04 |
| ‘Ilse Haberland’ | 104.6 | 43.8 | 41.9 | 0.34* | 0.00 |
| ‘Lichtkönigin Lucia’ | 96.6 | 31.3 | 32.4 | 0.34* | −0.07 |
| ‘Märchenland‘ | 74.6 | 28.1 | 37.7 | 0.38* | −0.03 |
| ‘Morgengrüss’ | 69.4 | 23.0 | 33.1 | 0.41* | −0.05 |
| ‘Mutabilis’ | 102.5 | 36.3 | 35.4 | 0.38* | −0.01 |
| ‘My Choice’ | 93.8 | 21.4 | 22.8 | 0.38* | −0.03 |
| ‘Old Master’ syn. ‘Rozentanz’ | 100.1 | 34.6 | 34.6 | 0.38* | −0.04 |
| ‘Peach Blossom’ | 91.8 | 30.3 | 33.0 | 0.39* | 0.00 |
| ‘Pink Robusta’ | 57.5 | 10.3 | 17.9 | 0.40* | 0.00 |
| ‘Robusta’ | 109.5 | 34.5 | 31.5 | 0.44* | 0.02 |
| ‘Rokoko’ | 102.4 | 36.0 | 35.2 | 0.27* | −0.05 |
| ‘Romance’ | 102.5 | 46.4 | 45.3 | 0.37* | 0.06 |
| ‘Rosarium Uetersen’ | 100.9 | 41.5 | 41.1 | 0.33* | 0.03 |
| ‘Santana’ | 81.4 | 20.6 | 25.3 | 0.34* | −0.01 |
| ‘Schneewittchen’ syn. ‘Iceberg’ | 114.5 | 48.9 | 42.7 | 0.39* | −0.01 |
| ‘Shalom‘ | 81.1 | 28.3 | 34.9 | 0.48* | 0.00 |
| ‘Smooth Prince’ | 100.4 | 37.3 | 37.2 | 0.42* | 0.05 |
| ‘Swan Lake’ | 89.4 | 32.0 | 35.8 | 0.43* | −0.01 |
| ‘Tradition’ | 98.3 | 34.1 | 34.7 | 0.44* | −0.08 |
| ‘Ulmer Münster’ | 99.3 | 50.3 | 50.7 | 0.22* | −0.05 |
| ‘Veilchenblau’ | 31.1 | 20.6 | 66.2 | 0.25* | −0.09 |
| ‘Warwick Castle’ | 84.9 | 27.6 | 32.5 | 0.35* | −0.01 |
| ‘Westerland’ | 79.6 | 25.4 | 31.9 | 0.39* | −0.09 |
| ‘White Cockade’ | 81.0 | 30.4 | 37.5 | 0.45* | 0.07 |
| ‘Wilhelm Hansmann’ syn. ‘Skyrocket’ | 99.4 | 43.4 | 43.7 | 0.35* | −0.06 |
| ‘William Shakespeare’ | 95.9 | 40.9 | 42.6 | 0.35* | 0.01 |
| ‘Zephirine Drouhin’ | 80.5 | 16.3 | 20.2 | 0.40* | −0.05 |
Spearman correlation results (p < 0.05)
The mean full flowering duration (FS50–FS100) of the analyzed 37 shrub rose cultivars in 2012–2019 was 32.5 days. As many as 23 studied cultivars were in full flowering for at least 30 days. Interestingly, the total flowering duration for ‘Veilchenblau’ accounted for only 31.1 days; however, full flowering of this cultivar lasted up to 20.6 days, which constituted 66.2% of its total flowering duration. Thus, ‘Veilchenblau’ has high ornamental value, although for a short time (Table 1). All rose cultivars were significantly positively correlated with temperature, whereas precipitation had no significant impact on total flowering duration during the nine years of observation (Table 1).
The flowering dynamics of 37 rose cultivars classified in the SIMPER analysis are presented in Table 2. The dissimilarity index calculated using the SIMPER algorithm was high, at 73.04%. Five groups of rose cultivars were distinguished, in which the dominant FS during the total flowering duration was FS10, FS25, FS50, FS75, and FS100 (Table 2, Fig. 4).
Figure 4.
Distribution of mean ± SE flowering durations of 37 rose cultivars during the growing season classified in SIMPER analysis based on an eight years: a – cultivars with dominant FS10, b – cultivars with dominant FS25, c – cultivars with dominant FS50, d – cultivars with dominant FS75, and e – cultivars with dominant FS100
SIMPER analysis of differences in rose cultivars (contributing more than 1%) according to five flowering stages (average dissimilarity 73.04%)
| Cultivar | Flowering stages | Av. Diss. | Contrib. (%) | Cum. (%) | ||||
|---|---|---|---|---|---|---|---|---|
| FS10 | FS25 | FS50 | FS75 | FS100 | ||||
| ‘Ulmer Münster’ | 1.30 | 1.42 | 1.38 | 1.21 | 1.57 | 3.17 | 4.34 | 4.34 |
| ‘Rosarium Uetersen’ | 1.62 | 1.93 | 1.24 | 0.88 | 1.36 | 2.55 | 3.49 | 7.83 |
| ‘Schneewittchen’ syn. ‘Iceberg’ | 2.00 | 1.69 | 1.05 | 1.33 | 1.79 | 2.46 | 3.37 | 11.20 |
| ‘Eden Rose’ | 1.32 | 1.60 | 1.46 | 1.64 | 1.25 | 2.46 | 3.37 | 14.57 |
| ‘Robusta’ | 2.62 | 1.51 | 0.95 | 0.94 | 0.96 | 2.40 | 3.28 | 17.85 |
| ‘Ilse Haberland’ | 1.66 | 1.80 | 1.19 | 1.58 | 0.75 | 2.32 | 3.18 | 21.03 |
| ‘Romance’ | 1.36 | 1.16 | 1.16 | 2.00 | 1.32 | 2.24 | 3.07 | 24.10 |
| ‘Mutabilis’ | 2.30 | 1.49 | 0.92 | 0.91 | 1.21 | 2.24 | 3.06 | 27.16 |
| ‘Smooth Prince’ | 1.87 | 1.73 | 1.00 | 1.15 | 1.00 | 2.17 | 2.97 | 30.12 |
| ‘Wilhelm Hansmann’ syn. ‘Skyrocket’ | 1.81 | 1.49 | 1.16 | 1.12 | 1.32 | 2.16 | 2.95 | 33.08 |
| ‘William Shakespeare’ | 2.13 | 1.33 | 1.16 | 0.88 | 1.18 | 2.13 | 2.91 | 35.99 |
| ‘Fred Loads’ | 1.46 | 1.29 | 1.98 | 1.12 | 0.79 | 2.08 | 2.84 | 38.83 |
| ‘Old Master’ syn. ‘Rozentanz’ | 1.98 | 1.78 | 0.76 | 0.79 | 1.46 | 2.06 | 2.82 | 41.65 |
| ‘Swan Lake’ | 1.74 | 1.73 | 1.08 | 0.82 | 0.75 | 2.05 | 2.81 | 44.45 |
| ‘Abracadabra’ | 1.87 | 1.78 | 0.97 | 0.85 | 1.00 | 2.04 | 2.80 | 47.25 |
| ‘Rokoko’ | 2.30 | 1.53 | 1.05 | 1.18 | 0.71 | 2.02 | 2.76 | 50.02 |
| ‘Lichtkönigin Lucia’ | 2.32 | 1.56 | 0.92 | 0.88 | 0.82 | 2.01 | 2.76 | 52.77 |
| ‘Tradition’ | 2.28 | 1.40 | 0.89 | 0.76 | 1.25 | 2.01 | 2.75 | 55.52 |
| ‘Clair Matin’ | 1.85 | 1.69 | 0.89 | 0.73 | 1.00 | 2.00 | 2.74 | 58.27 |
| ‘Graham Thomas’ | 1.72 | 2.29 | 0.60 | 0.79 | 0.86 | 2.00 | 2.74 | 61.01 |
| ‘Warwick Castle’ | 2.15 | 1.20 | 0.78 | 0.73 | 0.86 | 2.00 | 2.74 | 63.75 |
| ‘Compassion’ | 1.91 | 1.36 | 0.95 | 1.15 | 0.93 | 1.99 | 2.72 | 66.47 |
| ‘Dirigent’ | 2.30 | 1.04 | 0.57 | 0.82 | 1.54 | 1.91 | 2.62 | 69.09 |
| ‘Heritage’ | 1.91 | 1.69 | 1.19 | 0.76 | 0.43 | 1.90 | 2.60 | 71.69 |
| ‘My Choice’ | 2.77 | 1.42 | 0.70 | 0.67 | 0.39 | 1.86 | 2.55 | 74.24 |
| ‘Peach Blossom’ | 2.17 | 1.29 | 0.78 | 0.70 | 1.07 | 1.79 | 2.45 | 76.69 |
| ‘Zephirine Drouhin’ | 2.62 | 0.98 | 0.35 | 0.42 | 0.64 | 1.74 | 2.39 | 79.07 |
| ‘Shalom’ | 1.47 | 1.53 | 0.97 | 0.91 | 0.46 | 1.73 | 2.37 | 81.44 |
| ‘Fisherman’s Friend’ | 2.11 | 1.22 | 0.57 | 0.70 | 0.50 | 1.71 | 2.33 | 83.78 |
| ‘White Cockade’ | 1.96 | 0.89 | 0.68 | 1.06 | 0.82 | 1.69 | 2.31 | 86.09 |
| ‘Märchenland’ | 1.49 | 1.18 | 0.70 | 0.88 | 0.79 | 1.68 | 2.30 | 88.39 |
| ‘Santana’ | 2.43 | 1.02 | 0.49 | 0.46 | 0.75 | 1.64 | 2.25 | 90.63 |
| ‘Westerland’ | 1.79 | 1.11 | 0.65 | 0.70 | 0.82 | 1.58 | 2.16 | 92.79 |
| ‘Morgengrüss’ | 1.49 | 1.18 | 0.49 | 0.64 | 0.86 | 1.56 | 2.13 | 94.92 |
| ‘Händel’ | 2.13 | 1.16 | 0.46 | 0.79 | 0.50 | 1.51 | 2.06 | 96.99 |
| ‘Pink Robusta’ | 1.68 | 1.02 | 0.43 | 0.33 | 0.04 | 1.36 | 1.86 | 98.85 |
| ‘Veilchenblau’ | 0.32 | 0.29 | 0.38 | 0.42 | 1.04 | 0.84 | 1.15 | 100.00 |
The distribution of roses’ flowering stages grouped according to SIMPER analysis is presented in Figure 4. The flowering dynamics of cultivars with dominant FS10 varied; hence, four subgroups were identified within it (Fig. 4a). The first subgroup comprised cultivars (‘Dirigent’, ‘Märchenland’, ‘Mutabilis’, ‘Lichtkönigin Lucia’, ‘Old Master’ syn. ‘Rozentanz’, ‘Peach Blossom’, ‘Pink Robusta’, ‘Robusta’, ‘Santana’, ‘Westerland’, ‘White Cockade’ and ‘Zephirine Drouhin’) with the longest FS10 duration in June and July with a clear decrease starting from August. The subsecond group (‘Clair Matin’, ‘Heritage’, ‘Fisherman’s Friend’, ‘Warwick Castle’, ‘William Shakespeare’ and ‘Schneewittchen’ syn. ‘Iceberg’) was characterized by two distinct FS10 peaks, the first in June and the second in August, when the FS10 duration was the longest. Similar to the second subgroup, the third subgroup (‘Compassion’, ‘Händel’, ‘Morgengrüss’, ‘Smooth Prince’, ‘Tradition’, ‘Rokoko’) also had two FS10 peaks; however, they occurred in June–July and in September, followed by a clear FS10 decrease. The final subgroup with the longest FS10 duration comprised the period from May to September and was represented by ‘Abracadabra’, ‘My Choice’, ‘Swan Lake’, ‘Wilhelm Hansmann’ syn. ‘Skyrocket’.
The flowering dynamics of cultivars with dominant FS25 demonstrated two patterns (Fig 4b). ‘Shalom’ and ‘Ilse Haberland’ had the longest FS25 duration from May to September. In contrast, two distinct FS25 peaks were observed in June and interestingly in September in the case of ‘Graham Thomas’ and ‘Rosarium Uetersen’. The SIMPER analysis identified only one cultivar, ‘Fred Loads’, with a dominant FS50 duration from June to August (Fig. 4c). ‘Eden Rose’ had the longest FS75 duration from May to June, whereas ‘Romance’ FS75 occurred only in June, followed by an apparent decrease in flowering (Fig. 4d). Out of all studied cultivars, ‘Veilchenblau’ had the longest FS100 in June, followed by a rapid decrease in flowering, while ‘Ulmer Münster’ had the longest FS100 period in July, gradually decreasing until the end of the growing season (Fig. 4e).
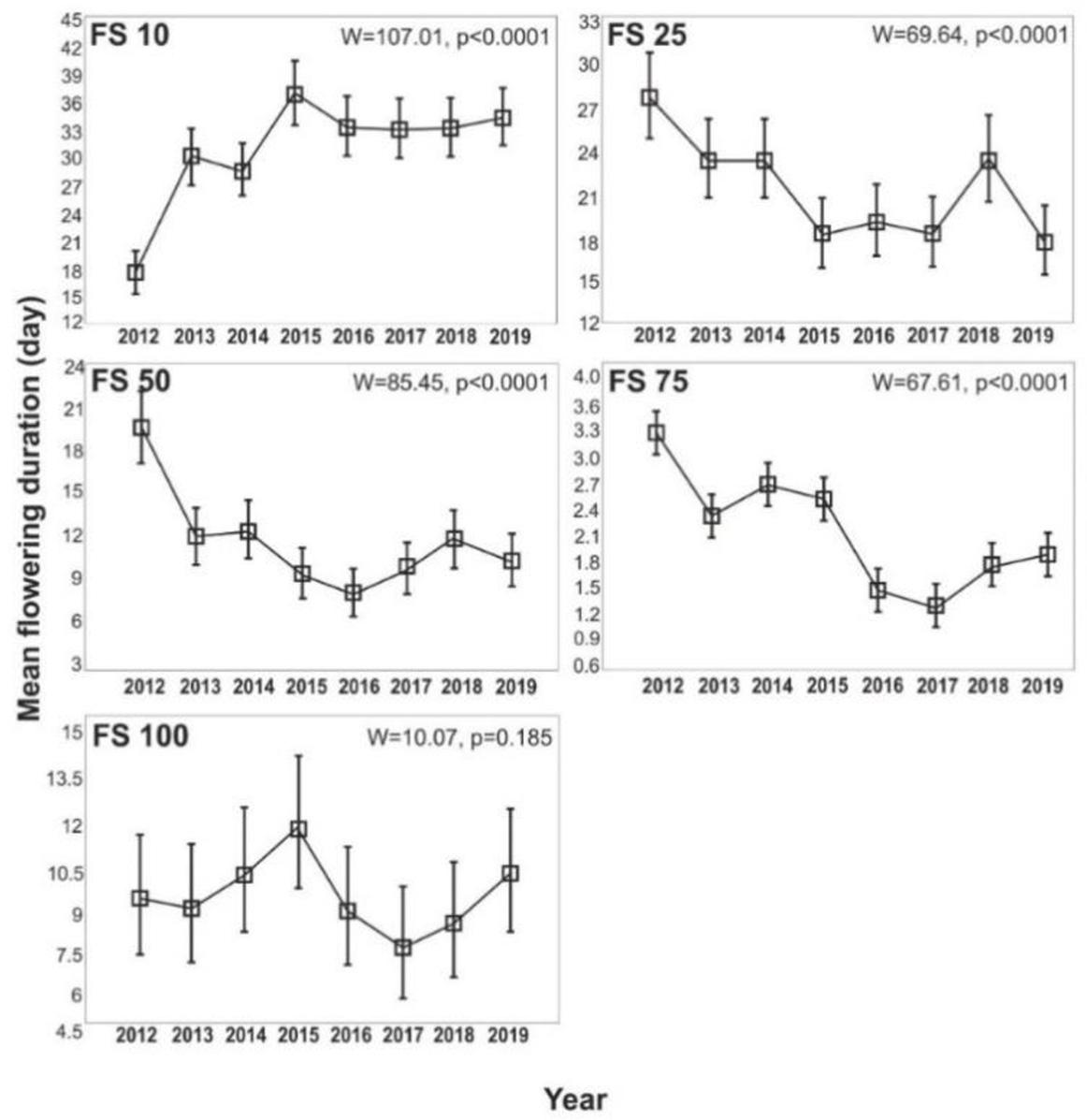
Generalized linear models (GLMs) were used to show how the flowering dynamics of a particular FS changed in successive years of observation (Fig. 5). The year was shown to have a statistically significant influence on the mean total flowering duration in an individual FS, except for FS100 (Fig. 5). Out of all analyzed FSs, only FS10 duration increased over the years of the observations. A decrease in FS25, FS50, and FS75 duration was observed over eight years. Only the stage with the most abundant flowering (FS100) did not vary significantly during the eight-year study period; its duration remained similar for all cultivars in successive years (Fig. 5).
Figure 5.
Mean ± SE duration of rose FSs: FS10, FS25, FS50, FS75, and FS100 based on eight years of observation W – Wald’s statistics; p – significance level
Spearman’s correlation was performed to determine whether there was an influence of temperature and precipitation influenced the duration of individual FS stages (Table 3). Only in the case of the FS10 stage was a positive correlation with temperature noted. However, in the case of the FS25, FS50, and FS75 stages, a negative correlation coefficient with the average temperature was noted. Temperature, however, had no statistically significant effect on the duration of the FS100 stage. The second meteorological element impacting the duration of individual FS stages was precipitation. All flowering stages, except FS10, were statistically significantly negatively correlated with the amount of precipitation (Table 3). Prolonged precipitation shortens the decorative period of roses, as it can damage the petals and thus adversely affect the longevity of the flowers. The effect of the damage is more severe for flowers in full bloom than for buds, especially at higher FS stages (FS > FS10). It may be the reason for the negative correlation of FS length with precipitation.
Spearman correlation coefficients between all of the analyzed rose flowering stages and meteorological parameters (average temperature and precipitation)
| Rose flowering stage | Average temperature [°C] | Precipitation [mm] | ||
|---|---|---|---|---|
| Spearman correlation coefficient | p-values | Spearman correlation coefficient | p-values | |
| FS10 | 0.31 | 0.003 | −0.02 | 0.497 |
| FS25 | −0.36 | 0.002 | −0.18 | 0.001 |
| FS50 | −0.57 | 0.0001 | −0.11 | <0.0001 |
| FS75 | −0.56 | 0.0002 | −0.13 | <0.0001 |
| FS100 | −0.14 | 0.083 | −0.16 | <0.0001 |
A recent approach to landscape design demands an eye-catching, long-lasting aesthetic effect combined with ecological and economic aspects (Wang et al. 2017b). It can be achieved if plants used in landscaping are carefully chosen to yield joint attractive phenological phenomena (Bulíř 2013; Gawryszewska 2013). Studies on plant performance in different regional conditions are a valuable indicator of cultivar recommendations (Nadeem et al. 2011; Zlesak et al. 2017). Such research is especially important for roses, as they are one of the most economically important groups of ornamental plants and fulfill the above requirements.
Undoubtedly, the assessment of rose ornamental value is a complex process and constitutes a research challenge, which is proven by the fact that different approaches and terms, depending on the rose type and purpose of cultivation, have been used in the literature to describe this phenomenon. For ground-cover roses, the flowering covering index and the ornamental index were investigated (Giorgioni 2015). Others analyzed bloom number, bloom coverage, disease resistance, and landscape performance by combining flower quantity and quality with foliage quantity and quality and rose habit and vigor (Mackay et al. 2008; Harp et al. 2019) or flower size, flower shape, flower doubling and changes in color throughout flowering and duration of flowering (Polishchuk et al. 2021). The overall flower yield in the study on cultivars used for essential oil extraction was assessed based on individual flower fresh and dry weight, flower diameter and flower yield (g per plant per month) data (Younis et al. 2009).
In the case of roses, which are used in landscaping, an assessment of blossom abundance is one of most important traits. It can be a good indicator of meteorological conditions and climate change. Developmental stages of plants are often defined using the BBCH scale, which distinguishes nine stages: sprouting bud development, leaf development, formation of basal side shoots, main stem elongation, development of harvestable vegetative plant parts, inflorescence emergence, flowering, development of fruits, ripening of fruit and seeds, and dormancy (Meier 1997; Meier et al. 2009). The flowering stage is divided into six secondary stages: 60 – first open flowers; 61 start of flowering – 10% open flowers, 62 – 20% open flowers, 63 – 30% open flowers, 64 – 40% open flowers, and 65 – full flowering – 50% open flowers, when the first petals may fall. For the present study, conducted on shrub roses and not botanical roses, the BBCH scale proved insufficient for a more in-depth analysis of flowering duration and abundance of shrub roses, taking into account the second flush of blooms.
This study developed a new approach for assessing blossom abundance and describing decorative effects. The recording duration of five FSs and SIMPER analysis allowed us to group each studied cultivar into a dominant FS. Five flowering stages were distinguished, FS10, 25, 50, 75, and 100, as well as total flowering duration and full flowering duration. Interestingly, the longest FS for most of the studied cultivars was FS10. This FS covers the beginning and end of blooming and the period between flushes. Flowering of roses at the FS10 level may give the impression of low ornamental value, especially in the case of cultivars with the shortest total flowering duration (‘Pink Robusta’ or ‘Morgengrüss’). However, cultivars with the longest total flowering duration (‘Iceberg’, ‘Robusta’) and dominant FS10 may be of high decorative and ecological importance. Even 10–25% stem flowering would provide a continuous food supply for pollinators, which is especially valuable during periods when blooming of other species is scarce. Neumüller et al. (2021) confirmed that apart from species composition and diversity, the constant blooming of flower plantings throughout the season is a critical factor in attracting bees. As the plants progress through subsequent flowering stages, i.e., FS50, FS75, and finally FS100, the flowering period becomes shorter, but this is when flowering is the most abundant.
Another important aspect analyzed in the study is the sensitivity of each FS stage to meteorological conditions. The literature contains many works confirming the effect of climate factors on the course of vegetation and successive phenophases (Richardson et al. 2013). Gradual climate trends such as global warming have been studied in much more detail than sudden events because these changes are more permanent at the population, community, and ecosystem levels (Parmesan 2006; Rosenzweig et al. 2008). Our study showed that individual flowering stages significantly depended on meteorological conditions and revealed a certain trend of changes over the eight years of observations. Out of all analyzed FSs, only FS10 duration positively correlates with an increase over eight years of the observations. It may be because an increase in temperature in autumn resulted in more days without frost, which enabled an elongated rose flowering period. Later dates of frost occurrence in autumn and the lengthening of the frost-free period create increasingly more favorable conditions for the cultivation of plants, especially with high thermal requirements (Tomczyk et al. 2015; Zhong et al. 2017, Koźmiński et al. 2021). According to global warming trends, the dominance of the FS10 stage in the flowering period can be an advantage, given that our results demonstrated a decrease in the duration of FS25, FS50, and FS75 over the investigated period. From an ornamental point of view, this is an unwanted effect. Furthermore, significant negative correlations were observed between FS25, FS50, and FS75 and temperature. It is in line with other studies, in which it was stated that flowering phenology is sensitive to temperature stress (Pihlajaniemi et al. 2005; Wahid et al. 2007; Włodarczyk & Perzanowska 2007; Bertin 2008; Jentsch et al. 2009; Greyvenstein et al. 2019).
Our results show that the rose cultivars that are most resistant to meteorological conditions can be distinguished. For example, the smallest decrease in the length of FS25 duration was observed for ‘Rosarium Uetersen’, ‘Graham Thomas’, ‘Shalom’ and ‘Ilse Haberland’, of FS50 duration for ‘Fred Loads’, of FS75 duration for ‘Eden Rose’ and ‘Romance’. Only the stage with the most abundant flowering (FS100) did not vary significantly during the eight-year study period; its duration remained similar for all cultivars in successive years. It seems to be due to the one-time abundant flowering of cultivars belonging to this group, such as ‘Veilchenblau’ and ‘Ulmer Münster’, which fall during the warmest periods of the year (Page 2006).
The study’s results are significant in light of changing temperature conditions and the growing problem of rainfall shortages, the results of the study seem significant, especially for landscape planning in urban areas (gardens, parks, squares). The findings presented in this paper regarding changes in the flowering abundance and quality of 37 rose cultivars over eight-year period were used to identify a group of cultivars with a long full flowering duration (FS50, FS75, FS100) as well as a group with more uniform flowering throughout the growing season, though less abundant.
Meteorological variables, especially temperature and precipitation, influence the flowering duration and abundance of shrub roses. Phenological records based on eight years of observations can be used to estimate future trends in the phenological development of shrub roses regarding meteorological variability and warming.
The approach presented here reveals statistical relationships between weather parameters (temperature and precipitation) and phenological data of shrub roses. The novelty of the work was the detailed analysis of five flowering stages (FS10, FS25, FS50, FS75, and FS100) as indicators of a phenological shift under meteorological variability and warming.
We noted a significant reduction in the duration of flowering at stages FS25, FS50, and FS75 over the eight years of observations in response to warming. The stage with the most abundant flowering (FS100) did not vary significantly during the eight-year study period; its duration remained similar for all cultivars in successive years. If the warming trend persists, such changes may lead to a considerable reduction in the length of abundant flowering of roses.
The rose cultivars with the longest flowering period and the lowest abundance (FS10) may adapt better to rising temperatures during the growing season. They may be more useful in landscape planning and management.
The use of phenological records of shrub roses, as presented in this article, can help to plan and implement adaptation strategies for effective landscape planning in urban areas, e.g., by adjusting the choice of shrub rose cultivars depending on the duration of the most abundant flowering stage and their decorative values.