Figure 1.

Figure 2.

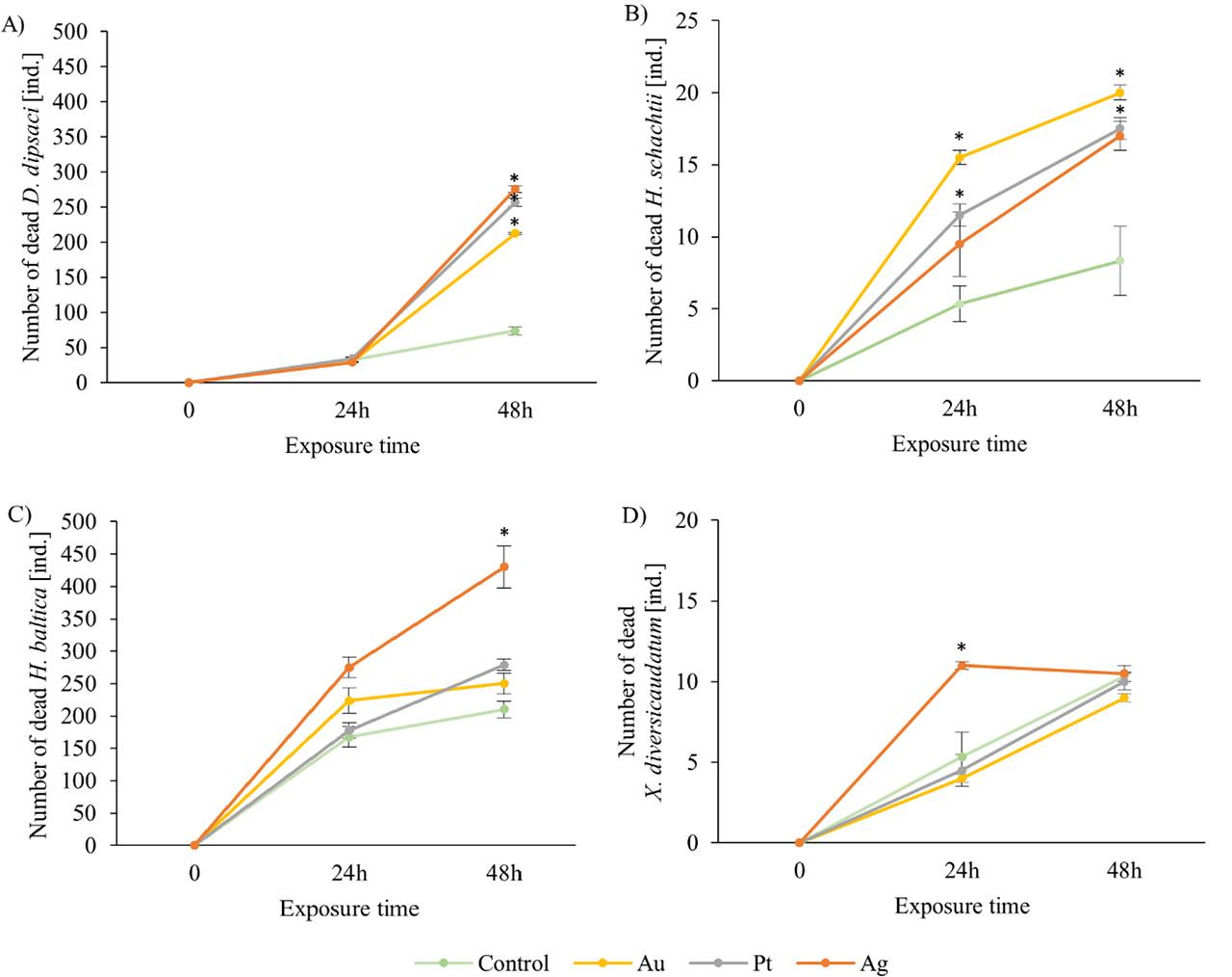
Figure 3.

Figure 4.

Figure 5.

Characteristics of colloids used in the research
| Colloid suspension | Zeta potential | Conductivity [mS·cm−1] | |
|---|---|---|---|
| Mean [mV] | SD [mV] | ||
| Au | −43,8 | 6,27 | 1,12 |
| Ag | −57,5 | 13,60 | 1,10 |
| Pt | −44,1 | 6,98 | 1,77 |





| Colloid suspension | Zeta potential | Conductivity [mS·cm−1] | |
|---|---|---|---|
| Mean [mV] | SD [mV] | ||
| Au | −43,8 | 6,27 | 1,12 |
| Ag | −57,5 | 13,60 | 1,10 |
| Pt | −44,1 | 6,98 | 1,77 |
© 2023 Magdalena Dzięgielewska, Andrzej Skwiercz, Anna Wesołowska, Dawid Kozacki, Włodzimierz Przewodowski, Danuta Kulpa, published by National Institute of Horticultural Research
This work is licensed under the Creative Commons Attribution 4.0 License.