Figure 1

Figure 2

Figure 3

Figure 4

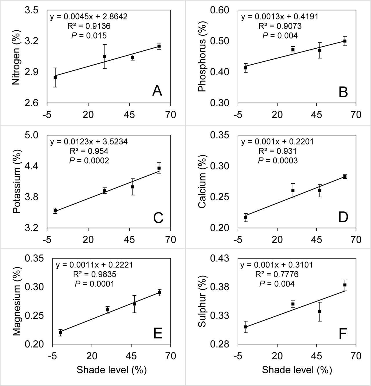
Figure 5

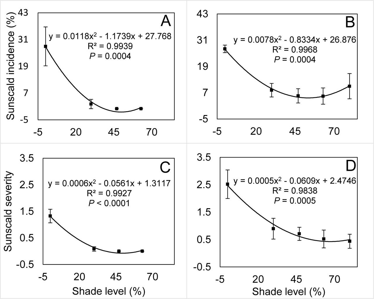
Figure 6

Figure 7

Average of daily maximal and minimal temperatures (°C) and cumulative rainfall (mm) during the growing seasons in 2016, 2017, and 2018
| Year | Mean daily maximal temperature (°C) | Mean daily minimal temperature (°C) | Cumulative rainfall (mm) |
|---|---|---|---|
| 2016 | 31.91 | 20.07 | 164.08 |
| 2017 | 30.80 | 20.20 | 236.98 |
| 2018 | 31.50 | 21.60 | 403.35 |
Average incidence and severity of BER and sunscald on bell pepper fruit during summer 2017 and 2018 (pooled across shade levels)
| Year | Sunscald incidence (%) | Sunscald severity | BER incidence (%) | BER severity |
|---|---|---|---|---|
| 2017 | 7.51 | 0.35b | 2.06b | 0.30b |
| 2018 | 11.26 | 1.02a | 58.38a | 2.61a |
| p | ns | 0.014 | <0.0001 | <0.0001 |