Using shade net is a viable technology for vegetable production in hot weather. Shade levels between 20% and 40% are appropriate for most fruits and vegetables (Maughan et al. 2017). The impact of shading on the fruit quality of bell pepper is not fully understood. Shading between 12% and 26% resulted in large pepper fruit with thick pericarp, thus displaying high-quality fruit (Elad et al. 2007). Peppers, including bell pepper grown under 25% shade level and photoselective (red and blue) net, have higher fruit weight and lower sunscald and rotting than fruit from unshaded conditions (Elad et al. 2007; Santana et al. 2012). Bell pepper fruit under pearl shade net showed high activity of antioxidants and carotenoids and reduced fruit decay (Alkalia-Tuvia et al. 2014).
Shade nets can influence fruit quality by reducing incoming solar radiation and fruit surface temperature. Excessive solar radiation and high air temperature in the open field may result in fruit disorders such as sunscald and blossom-end rot (BER), which reduce marketable yield (Espinoza 1991; Olle & Bender 2009; Maughan et al. 2017). These abiotic factors can also reduce calcium (Ca2+) translocation to the fruit. Calcium deficiency is associated with BER (Espinoza 1991; Olle & Bender 2009; Taylor et al. 2004). Shading reduced the number of fruits with sunscald, BER, and decay of bell pepper (Díaz-Pérez 2014). Decreased incidence of fruit sunscald under colored nets has also been noted in tomatoes (Ilić et al. 2012). Sunscald-related losses in bell pepper account for a reduction of marketable yield by at least 20% (Kabir et al. 2020), 32% (Rylski & Spigelman 1986), and up to 52% (Day 2014). Shade nets reduce fruit physiological disorders and improve bell pepper's chemical composition and postharvest-keeping quality (Rylski 1985; Espinoza 1991; Olle & Bender 2009; Díaz-Pérez 2014; Ferreira et al. 2014; Shahak 2014).
The above studies suggest a positive effect of shading on reducing incidences of diseases and pests. Shading was associated with a decreased disease incidence of Phytophthora blight and tomato spotted wilt (TSW) in bell pepper (Díaz-Pérez 2014; Kabir et al. 2022). Yellow, white, and pearl nets reduced aphid infestation and incidence of potato virus Y and cucumber mosaic virus (Harpaz 1982). Net color, photoselectivity, and reflectivity decreased the infestation of pests and the incidence of viruses (Shahak et al. 2008). Although there are several studies on bell pepper plant growth and fruit yield under shade nets, fruit quality responses, and the effect of shade nets on other plant responses, such as systemic acquired resistance (SAR), are still unclear. SAR is a mechanism of strengthening the plant defense system through abiotic and biotic stresses, such as infecting the plant with a microbe that may confer resistance against broad-spectrum microorganisms (Durrant & Dong 2004). Plants gain this resistance through the signal of salicylic acid and expression of PATHOGENESIS-RELATED (PR) genes. Among the PR genes, NONEXPRESSOR OF PATHOGENESIS-RELATED 1 (NPR1) and PATHOGENESIS-RELATED 1 (PR1) are the indicators of SAR induction. In this manuscript, apart from fruit quality attributes, we investigated whether shading affects the expression of PR genes in bell pepper fruit. This article is a part of the study that evaluated plant water status, growth, and fruit yield in bell pepper as influenced by shade level (Kabir et al. 2022). Here, we determine the effects of shade level on mineral nutrients, physiological disorders, postharvest water loss, and PR gene expression in bell pepper fruit.
Trials were conducted in the spring–summer (April–July) of 2016, 2017, and 2018 at the Horticulture Farm, University of Georgia, Tifton, with bell peppers ‘Bayonet’ (2016) and ‘Aristotle’ (2017 and 2018). Bell pepper seedlings were grown in the greenhouse using a commercial medium (Pro-Mix, Quakertown, PA) and polystyrene 200-cell (2.5 × 2.5-cm cell) trays. Six-week-old seedlings were planted on March 15 (2016), May 5 (2017), and May 6 (2018) in 90 cm wide raised beds placed side by side at a distance of 90 cm. The seedlings were planted in two rows spaced 45 cm apart, with a spacing of 30 cm between plants within the row. Before planting, the field was fertilized at 700 kg·ha−1 of 10 N; 10 P2O5; 10 K2O. Drip irrigation tape, emitter spacing 30 cm, emitter flow 12.6 mL·min−1 at 0.55 bar of pressure (Toro, Aqua Traxx, Abilene, TX, USA), was placed 5 cm deep in the center of each bed and covered with mulch. Three weeks after transplanting, plants were fertilized weekly with N and K through the drip tape. A total of 180 kg·ha−1 N and K was applied per season. Plants were irrigated when the cumulative crop evapotranspiration (ETc) was 1.27 cm. To obtain ETc, the value of evapotranspiration (ET0) obtained from the Georgia Automated Environmental Monitoring Network (www.georgiaweather.net) was multiplied by the crop coefficient (Kc). Irrigation was applied according to Kabir et al. (2021).
The experimental design was a randomized complete block with five shade levels: 0% (unshaded control), 30%, 47%, 63%, and 80%, and four replications in all three years. Light level, i.e., photosynthetic photon flux rate (PPFR) measured in the open field with LI-COR 6400XT (LI-COR, Lincoln, NE, USA), was ≈ 2000 μmol·m−2·s−1 in all three years. Shading was applied using polypropylene black shade nets (Baycor Industrial Fabric, Pendergrass, GA, USA). Shade nets were placed over the plots in pyramidal fashion on May 25, May 25, and June 2 in 2016, 2017, and 2018, respectively. Orientations of shade nets were north–south in 2016 and 2018 and east–west in 2017. The top of the pyramid along the center of the bed was ≈ 2 m.
Mature green fruit was harvested twice each season and graded as marketable (U.S. Fancy, U.S. No. 1, and U.S. No. 2.) or cull according to the U.S. Department of Agriculture grading standards (USDA 2005), counted, and weighed. Mature green pepper with a characteristic color, well-shaped, firm, free from sunscald, and all types of injuries and blemishes, and measuring diameter and length not less than 7.6 cm and 8.9 cm, respectively, are graded as U.S. Fancy. Mature green peppers with similar properties to U.S. Fancy and having a diameter and length not less than 6.2 cm are graded as U.S. No. 1, and similar peppers with a diameter and length less than 6.2 cm are graded as U.S. No. 2. The diameter, length, and pericarp thickness of marketable fruits were measured with a micrometer. The fruit shape index was calculated by dividing fruit diameter by length.
Three whole fruits (mature green stage) per plot (2017) were dried at 70 °C for 3–4 days. Fruit mineral nutrients: nitrogen (N), phosphorus (P), potassium (K), calcium (Ca), magnesium (Mg), sulfur (S), boron (B), zinc (Zn), manganese (Mn), and iron (Fe), were determined (Waters Agricultural Laboratories, Camilla, GA, USA).
Fruit sunscald and BER incidences were calculated as the percentage of fruit affected with the particular disorder. According to Kabir et al. (2021), the disorder's severity was evaluated as 0 – no symptoms, 1 – very low, 2 – low, 3 – moderate, 4 – high, and 5 – very high. The severity indices were calculated as described below.
Sunscald severity index (SSI) = [1 × # fruit with SS scale 1 + 2 × # fruit SS scale 2 + 3 × # fruit with small necrosis + 4 × # fruit necrotic spots + 5 × # fruit with large necrotic spot]/Total number of fruits. Where SSI < 2, low severity; SSI from 2 to 3.5, moderate severity; SSI > 3.5, high severity.
BER severity index (BSI) = [1 × # fruit BER severity scale 1 + 2 × # fruit with low BER + 3 × # fruit with moderate BER + 4 × # fruit with high BER + 5 × # fruit with severe BER]/Total number of fruits. Where BSI 0–2 indicates low severity; BSI > 2–3.5 – moderate severity; BSI > 3.5 – high severity of BER.
Immediately after the first harvest in 2016 and 2017, 20 fruits per treatment were placed in a controlled-temperature room: 20 °C, 1.50 kPa vapor pressure difference (VPD), and less than 0.2 m·s−1 air velocity, to measure fruit water loss (FWL) and fruit transpiration (FT). FWL was determined gravimetrically by weighing individual fruit daily (every 24 hours) for 7 days. The water loss rate was measured as the daily FWL with respect to the fruit weight the day before each measurement. The FWL, surface area (SA), and FT were calculated as follows (Díaz-Pérez et al. 2007).
FWL (% per day) = (ΔFW/FW0) (100/t) (1);
SA (cm2) = −0.0026 FW2 + 1.767 FW + 23.06 (2);
FT (μmol·m−2·s−1) = (ΔFW * 55508.43 μmol·g−1)/SA (m2) × 24 × 60 × 60 (3);
FWL – fruit water loss per day;
FW – fresh weight;
ΔFW – difference in fruit weight in 24 h;
FW0 – initial fruit weight for every measurement;
t – time (d) between two consecutive fruit fresh weight measurements;
55508.43 μmol water per 1 g water;
SA – whole fruit surface area;
one day equals 24*60*60 s.
Relative expression of two defense-related genes – NPR1 and PR1 – were determined in bell pepper fruit collected from three shade levels: 0% (unshaded control), 47%, and 80% in 2016. Mature green fruits were harvested and kept at −80 °C until used for further analysis. About 50 mg of fruit tissue was excised with a sterile scalpel and used for RNA extraction (RNeasy Plant Mini Kit, St. Louis, MI). Two micro-liters of RNA were converted to cDNA using the iS-cript cDNA synthesis kit (Bio-Rad, Hercules, CA, USA); qPCR was conducted on a Smart Cycler System (Cepheid, Sunnyvale, CA, USA) using the iQ SYBR Green Supermix (Bio-Rad, Hercules, CA, USA). For real-time PCR, 5 μl of cDNA was amplified in 25 μl of PCR master-mix containing 12.5 μl of SsoFast™ EvaGreen Supermix (Bio-Rad Laboratories, Hercules, CA, USA) and 1 μl each of 25 μM primer pairs per sample. The CaActin gene was used as a control and was assessed using the primers: 5′-CACTGAAGCACCCTTGAACCC-3′ and 5′-GAGACAACACCGCCTGAATAGC-3′ as described by Dutta et al. (2017). The primer sequence and PCR conditions for the PR1 gene were taken from Choi et al. (2007). The cycle threshold (CT) values were converted into relative fold differences of marker genes in samples under shade compared with the un-shaded and relative to the endogenous control gene using the 2−ΔΔCT method (Livak & Schmittgen 2001; Schmittgen & Livak 2008). Data analyses were performed after verifying the stability of the endogenous control genes, and primer pairs exhibited comparable PCR efficiencies (Schmittgen & Livak 2008). Relative fold changes of target genes were calculated and compared for each treatment by ANOVA.
Data were analyzed using the regression and ANOVA procedures of statistical software JMP Pro 14 (SAS Institute, Cary, NC, USA). Tukey-HSD test or t-test separated means at a 5% significance level.
In 2016, fruit diameter and length increased, and the fruit shape index decreased as the shade levels increased (Fig. 1A–C). The fruit pericarp was thickest at 80% shade level (Fig. 1D). In 2017, fruit diameter (mean = 83.54 mm), length (mean = 89.53 mm), shape index (mean = 0.94), and individual fruit weight (mean = 195.4 g) were unaffected by the shade levels, according to the ANOVA.
Figure 1
Bell pepper fruit diameter (A), length (B), shape index (C), and pericarp thickness (D) in 2016 as affected by shade levels. The solid lines were fit by either linear or quadratic regressions. The error bars represent mean ± SE

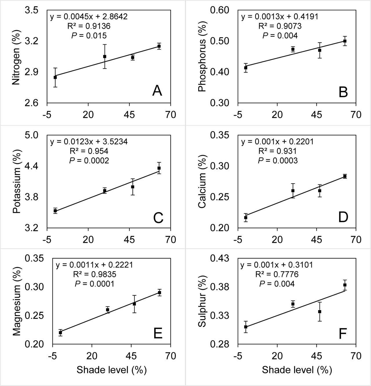
In 2017, the concentration of fruit macronutrients: N, P, K, Ca, Mg, and S (Fig. 2), and micronutrients: Zn, Mn, and Fe (Fig. 3), increased linearly with shade level. Boron concentration was the lowest under unshaded conditions and showed no differences among shade levels (Fig. 3). There are no fruit nutrient data for 2016 and 2018.
Figure 2
(A) Nitrogen, (B) phosphorus, (C) potassium, (D) calcium, (E) magnesium, and (F) sulfur content in bell pepper fruit (mature green) as affected by shade level (spring 2017). The solid lines were fit by linear regression. The error bars represent mean ± SE

Figure 3
(A) Boron, (B) zinc, (C) manganese, and (D) iron content in bell pepper fruit (mature green) as affected by shade level (spring 2017). The solid lines were fit by either linear or quadratic regressions. The error bars represent mean ± SE

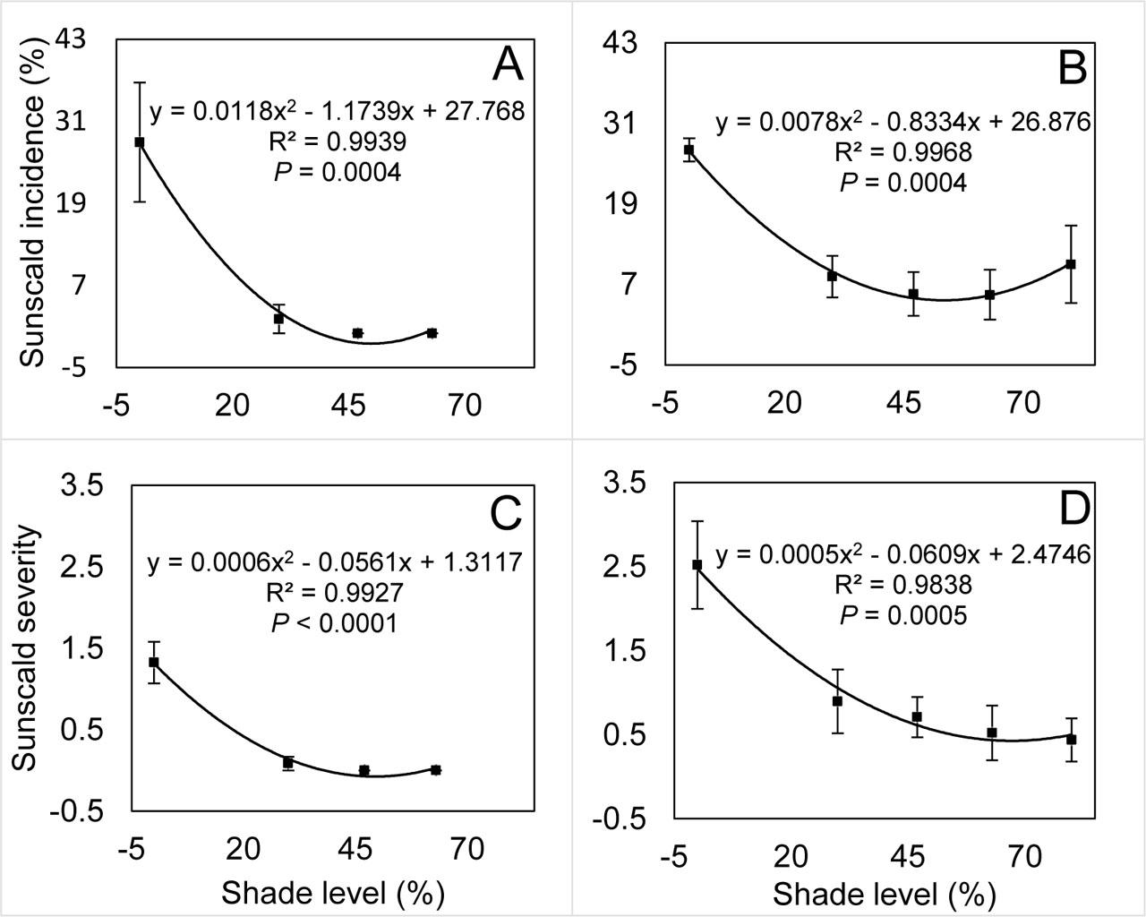
Sunscald incidence and severity were reduced under shaded conditions in both 2017 and 2018 (Fig. 4A–D). In both years, sunscald incidence was similar, while severity was higher in 2018 than in 2017 (Table 1). Sunscald incidence (Fig. 4A–B) and severity index (Fig. 4C–D) were higher in the absence of shadow compared to any shade levels in 2017 and 2018. The incidence of BER among the shade levels was similar in both years (Fig. 5A–B) but higher in 2018 (mean 58%) than in 2017 (mean 2%) (Table 1). BER severity was the highest in the absence in shadow in both years (Fig. 5C–D).
Average incidence and severity of BER and sunscald on bell pepper fruit during summer 2017 and 2018 (pooled across shade levels)
| Year | Sunscald incidence (%) | Sunscald severity | BER incidence (%) | BER severity |
|---|---|---|---|---|
| 2017 | 7.51 | 0.35b | 2.06b | 0.30b |
| 2018 | 11.26 | 1.02a | 58.38a | 2.61a |
| p | ns | 0.014 | <0.0001 | <0.0001 |
Means within the same column followed by the same letters are not statistically different according to Student's t-test (p ≤ 0.05); ns – nonsignificant
Figure 4
Sunscald incidence (A, B) and severity index (C, D) in 2017 and 2018, respectively, as affected by shade levels in bell pepper. The solid lines were fit by quadratic regression. The error bars represent mean ± SE

Figure 5
Bell pepper fruit blossom-end rot (BER) incidence (A, B) and BER severity index (C, D) in 2017 and 2018, respectively, as affected by shade levels. The solid lines were fit by either linear or quadratic regressions. The error bars represent mean ± SE

The effect of shade level on FWL and transpiration rate was inconsistent between years. In 2016, rates of FWL (% per day) and transpiration (μmol·m−2·s−1) during 7 days (20 °C) were highest in the unshaded treatment, and there were no differences in rates of FWL and transpiration among shade net treatments (Fig. 6A, C). In 2017, shade level did not affect the rate of FWL (mean = 1.078%, p = 0.11) and transpiration (mean = 0.0265 μmol·m−2·s−1, p = 0.09). FWL and transpiration rates decreased with increasing keeping period in 2017 (Fig. 6B, D) but not in 2016 (mean = 1.11%, p = 0.49 for FWL; mean = 0.031 μmol·m−2·s−1, p = 0.45 for transpiration).
Figure 6
Rates of fruit water loss (A, B) and transpiration (C, D) in bell pepper as affected by shade levels (A, C) in 2016 and storage period (B, D) in 2017. Fruit (20 per treatment) were harvested at the mature green stage. Water loss (weight loss) rate of individual fruit was determined daily gravimetrically during a 7-day keeping period (20 °C, 1.50 kPa vapor pressure difference, and less than 0.2 m·s−1 air velocity). The solid lines were fit by quadratic regression. The error bars represent mean ± SE

Shade level did not influence the expression of PR genes of the SAR pathway. However, the transcript abundance of NPR1 and PR1 genes were 1.5-fold and 10-fold, respectively, at 80% shade level compared to 47% shade level (Fig. 7).
Figure 7
Relative expression of NPR1 and PR1 in mature green bell pepper fruits as affected by shade level in 2016. Means (columns) with the same letter are not significantly different by Tukey's HSD test at P<0.05. The error bars represent the mean ± SE

Shade nettings provide a favorable microenvironment by decreasing light, leaf temperature, and root-zone temperature and increasing soil and leaf-water status (Kabir et al. 2020). In 2016, the increased fruit diameter was likely associated with increased soil and plant water status under shade nets leading to augmented turgor-driven cell expansion. Fruit height, weight, diameter, pericarp thickness, and the number of locules increased in tomatoes under the green net (Zakher & Abdrabbo 2014). The effect of shade level on fruit dimension was negated in 2017 due to the east–west orientation of the shade net that affects light transmission throughout the day (Cohen et al. 2014).
Fruit macro- and micronutrient concentrations were the lowest in the open field. Mineral nutrient concentrations increased as the shade level increased, probably because of improved soil water status under shaded conditions. In tomatoes, nutrient uptake decreased under water stress (Nahar & Gretzmacher 2002). In the present study, open-field bell pepper plants were likely water-stressed. We have previously shown that leaf water potential in the open field is lower than under a shade net (Kabir et al. 2020). Reduced leaf water potential may have decreased nutrient uptake and translocation to the fruit. In 2017, total yield and fruit number decreased with increased shading (Kabir et al. 2022), suggesting lower competition among fruit compared to the open field. Also, previous studies showed that shading increased fruit and foliar nutrient contents in bell pepper (Díaz-Pérez 2013, 2014).
A positive correlation of fruit [Ca2+] and [B] with shade level may be associated with decreased BER severity in 2017. Ca2+ is transported via the xylem. Thus, the relationships between soil water status, plant water uptake, and [Ca2+] may explain the BER incidence and severity. Moreover, B can reduce the incidence of BER in tomatoes (Gholamnejad et al. 2022). However, an increased fruit [Ca2+] was not associated with a reduction in BER incidence. It may be speculated that [Ca2+] did not increase beyond a threshold necessary to prevent BER incidence, although the critical threshold for [Ca2+] has not yet been established (Ho & White 2005).
Shade net reduced the incidences of bell pepper fruit disorders, particularly sunscald. Losses in bell pepper yield due to sunscald have been reported (Espinoza 1991; Olle & Bender 2009; Díaz-Pérez 2014; Ferreira et al. 2014; Kabir et al. 2020). Sunscald occurs due to fruit exposure to high irradiation, resulting in increased fruit surface temperature and photooxidative damage to fruit tissues (Maughan et al. 2017). The use of shade cloth can reduce the amount of incident sunlight and minimize sunscald-associated yield loss (Day 2014). In this study, bell pepper yield losses were 28% and 27% in 2017 and 2018, respectively, in the open field, and these losses decreased to 2% (2017) and 8% (2018) at 30% shade (Kabir et al. 2022). Similarly, the yield loss of bell pepper was reduced by 32% under shade nets (26% and 47% shade level) compared to the open field in Israel (Rylski & Spigelman 1986).
Unlike sunscald, BER incidence did not differ among the shade levels. However, BER incidence varied between years (2% in 2017 and 58% in 2018), indicating that climatic factors may influence BER occurrence (Saure 2001; Taylor & Locascio 2004). The season in 2018 (Table 2) was warmer (31.5 °C – average max. temperature, 21.6 °C – average min. temperature) and wetter (403.35 mm – cumulative rainfall) than in 2017 (30.8 °C – average max. temperature, 20.2 °C – average min. temperature, 236.98 mm – cumulative rainfall). Increased air temperatures in 2018 might explain that year's increased incidence of BER (Gerard & Hipp 1968).
Average of daily maximal and minimal temperatures (°C) and cumulative rainfall (mm) during the growing seasons in 2016, 2017, and 2018
| Year | Mean daily maximal temperature (°C) | Mean daily minimal temperature (°C) | Cumulative rainfall (mm) |
|---|---|---|---|
| 2016 | 31.91 | 20.07 | 164.08 |
| 2017 | 30.80 | 20.20 | 236.98 |
| 2018 | 31.50 | 21.60 | 403.35 |
Weather data were obtained from the nearby University of Georgia weather station (less than 300 m)
Postharvest water loss decreases fruit's saleable weight, texture, and flavor and accelerates senescence through shriveling and browning. Such water loss decreases fruit shelf life and quality (Lufu et al. 2020). In 2016, fruit grown under shading had reduced postharvest water loss compared to fruit from the open field, indicating that shade-grown fruit may have increased shelf life. An increased rate of postharvest water loss from the open field was also reported from bell pepper grown under colored shade nets (Díaz-Pérez et al. 2020). In 2017, there were no differences in postharvest water loss among shade levels. Thus, shade levels had inconsistent effects on postharvest water loss. A previous study also showed that shade level did not affect postharvest FWL (Diaz-Perez 2014).
The expression of two pathogenesis-related genes – NPR1 and PR1 – was determined. NPR1 is a key regulator of SAR, which is also involved in the up-regulation of the PR1 gene (Zhang & Cai 2005). The NPR1 mutant failed to induce the PR1 gene and showed increased susceptibility to bacterial and fungal diseases, and overexpression of NPR1 induced PR1 gene expression and showed enhanced disease resistance (Kinkema et al. 2000). However, no significant difference in the transcript abundance of these genes was observed in this study. Thus, increased disease resistance at higher shade levels may be due to other factors, such as host (plant) vigor and microclimate (soil water content, light intensity), that can affect host, pathogen, or host–pathogen interaction (Elad et al. 2007).
Shading decreased the incidence of fruit sunscald by reducing incoming solar radiation. Fruits under shaded conditions were larger and had a higher mineral nutrient content than fruit in the open field. Shade levels had inconsistent effects on postharvest FWL and a nonsignificant influence on the expression of PR genes.