Figure 1

Figure 2

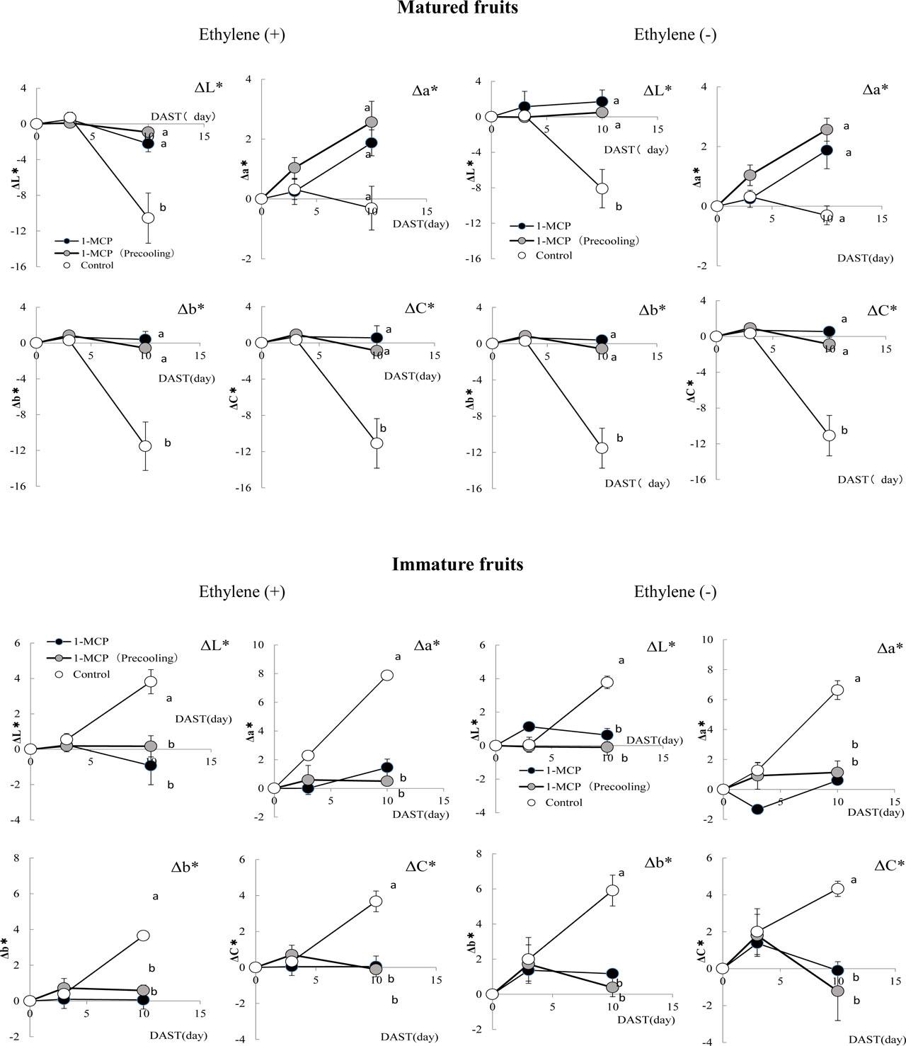
Three-way ANOVA of the effects of 1-MCP and ethylene treatment on peel color at different maturation stages
| Source | p value | |||
|---|---|---|---|---|
| ΔL* | Δa* | Δb* | ΔC* | |
| 1-MCP (A) | < 0.05 | < 0.001 | < 0.001 | < 0.01 |
| Ethylene (B) | 0.074 | 0.211 | 0.285 | 0.674 |
| Maturation stage (c) | < 0.001 | < 0.001 | < 0.001 | < 0.001 |
| (a)*(b) | 0.549 | 0.956 | 0.749 | 0.895 |
| (a)*(c) | < 0.001 | < 0.001 | < 0.001 | < 0.001 |
| (b)*(c) | 0.192 | 0.895 | 0.729 | 0.506 |
| (a)*(b)*(c) | 0.977 | 0.113 | 0.774 | 0.900 |
Effect of 1-MCP on moisture loss, peel color, firmness, and soluble solid content in Japanese pear ‘Shizukisui’
| Mature fruits | Moisture loss | Peel color | Firmness | SSC | ||||
|---|---|---|---|---|---|---|---|---|
| (%) | L* | a* | b* | C* | (N) | Brix | ||
| Ethylene (+) | 1-MCP | 4.1 ± 0.1 | 58.1 ± 0.8 | 7.8 ± 1.0 | 39.2 ± 1.2 | 40.0 ± 1.2 | 20.3 ± 1.0 | 12.2 ± 0.02 |
| 1-MCP (Precooling) | 3.0 ± 0.1 | 58.6 ± 0.5 | 6.3 ± 0.8 | 37.0 ± 0.5 | 37.6 ± 0.6 | 19.6 ± 0.6 | 11.5 ± 0.1 | |
| Control | 4.7 ± 0.8 | 50.5 ± 2.0 | 6.4 ± 0.8 | 27.5 ± 2.5 | 28.3 ± 2.6 | 15.8 ± 0.9 | 11.3 ± 0.3 | |
| Ethylene (−) | 1-MCP | 3.6 ± 0.3 | 58.3 ± 0.8 | 8.7 ± 0.9 | 37.1 ± 0.8 | 38.2 ± 0.8 | 21.5 ± 1.3 | 11.5 ± 0.2 |
| 1-MCP (Precooling) | 3.5 ± 0.5 | 61.5 ± 0.5 | 5.5 ± 1.1 | 38.8 ± 0.5 | 39.2 ± 0.5 | 20.6 ± 0.4 | 12.1 ± 0.05 | |
| Control | 3.8 ± 0.3 | 48.8 ± 1.9 | 8.3 ± 0.6 | 27.2 ± 1.5 | 28.4 ± 1.4 | 16.9 ± 0.8 | 11.0 ± 0.2 | |
| Significancez | 1-MCP (A) | ns | ** | ** | ** | ** | ** | ** |
| Ethylene(B) | ns | ns | ns | ns | ns | ns | ns | |
| (A)×(B) | ns | ns | ns | ns | ns | ns | * | |
Schedule of experiments
| Experiment 1 | Days after starting treatment | |||
|---|---|---|---|---|
| 0 | 1 | 2 | 3–10 | |
| 1-MCP | 1-MCP | storage (26.7°C) | ||
| 1-MCP (precooling) | precooling (5 °C) | 1-MCP | storage (26.7 °C) | |
| control | storage (26.7 °C) | |||