Figure 1

Figure 2

Figure 3

Figure 4

Figure 5

Figure 6

Figure 7

Figure 8

Figure 9

Figure 10

Figure 11

Effect of RKN (M_ javanica) and Fol race 3 on plant height and biomass of Tasti Lee isolines with and without the Mi gene in experiment 2_
| Factor | Level | Plant height (cm) | Dry weight (gm) at 42 DAT | ||||
|---|---|---|---|---|---|---|---|
| 0 DAT | 14 DAT | 28 DAT | 42 DAT | Root | Shoot | ||
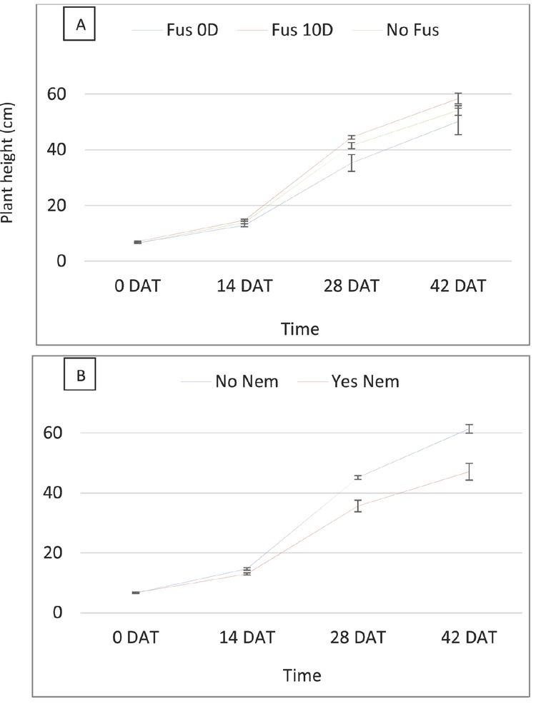
| RKN | Yes | 6.8 a | 13.0 b | 35.7 b | 47.1 b | 1.3 b | 6.8 b |
| None | 6.6 a | 14.7 a | 45.1 a | 61.4 a | 1.9 a | 9.7 a | |
| Fol | 0 DAT | 6.5 b | 12.9 b | 35.3 b | 50.2 b | 1.2 b | 6.5 c |
| 10 DAT | 7.0 a | 14.7 a | 44.5 a | 58.4 a | 1.6 a | 7.9 b | |
| None | 6.6 b | 13.9 ab | 41.5 a | 54.1 ab | 1.9 a | 10.4 a | |
| Cultivar | TL (−I-3, −Mi) | 6.7 a | 14.2 a | 39.0 b | 52.1 a | 1.5 a | 8.0 a |
| TL (−I-3, +Mi) | 6.7 a | 13.5 a | 41.8 a | 56.4 a | 1.7 a | 8.5 a | |
| P-value | RKN | 0.479 | 0.0008 | <0.0001 | <0.0001 | <0.0001 | <0.0001 |
| Fol | 0.037 | 0.009 | <0.0001 | 0.049 | <0.0001 | <0.0001 | |
| RKN*Fol | 0.374 | 0.470 | <0.0001 | 0.0001 | 0.008 | 0.0004 | |
| Cultivar | 0.919 | 0.151 | 0.049 | 0.105 | 0.219 | 0.278 | |
| RKN*Cultivar | 0.479 | 0.275 | 0.154 | 0.652 | 0.652 | 0.009 | |
| Fol *Cultivar | 0.352 | 0.406 | 0.388 | 0.288 | 0.076 | 0.130 | |
| RKN*Fol*Cultivar | 0.374 | 0.430 | 0.936 | 0.964 | 0.804 | 0.241 | |
Effect of Fol race 3 on RKN (M_ javanica) severity in Tasti Lee isolines with and without Mi and I-3 genes in experiment 1_
| Factors | Level | *Gall index (30 DAT) | Eggs/root (30 DAT) | RF (30 DAT) |
|---|---|---|---|---|
| Fol | Yes | 1.1 b | 2,921 b | 0.3 b |
| None | 2.7 a | 33,580 a | 3.4 a | |
| Cultivars | TL (+/-3, +Mi) | 0.5 b | 140 d | 0.01 b |
| TL (−/-3, +Mi) | 0.6 b | 379 c | 0.03 b | |
| TL (+/-3, −Mi) | 3.2 a | 32,736 b | 3.3 a | |
| TL (−/-3, −Mi) | 3.5 a | 39,750 a | 4.0 a | |
| P-value | Fol | <0.0001 | <0.0001 | 0.0004 |
| Cultivar | <0.0001 | <0.0001 | 0.0008 | |
| Fol*Cultivar | 0.212 | 0.003 | 0.004 | |
Comparisons of plant biomass in non-treated control with different combinations of RKN (M_ javanica) and Fol race 3 in experiments 1 and 2_
| Experiment 1 | ||||
|---|---|---|---|---|
| Comparison | Estimated difference and level of significance | |||
| Shoot | P-value | Root | P-value | |
| NTC vs RKN | 0.9 | <0.0001 | −0.1 | 0.036 |
| NTC vs Fol | 3.4 | <0.0001 | 0.4 | <0.0001 |
| NTC vs RKN+Fol | 4.0 | <0.0001 | 0.7 | <0.0001 |
| Experiment 2 | ||||
| NTC vs RKN | 1.2 | 0.120 | 0.3 | 0.106 |
| NTC vs Fol (0 DAT) | 1.7 | 0.024 | 0.4 | 0.1007 |
| NTC vs RKN+Fol (0 DAT) | 7.3 | <0.0001 | 1.5 | <0.0001 |
| NTC vs Fol (10 DAT) | 2.1 | 0.008 | 0.4 | 0.098 |
| NTC vs RKN+Fol (10 DAT) | 4.1 | <0.0001 | 0.6 | 0.007 |
Effect of Fol race 3 on RKN (M_ javanica) severity in Tasti Lee isolines with and without Mi gene in experiment 2_
| Factors | Level | *Gall index (42 DAT) | Eggs/root (42 DAT) | RF (42 DAT) |
|---|---|---|---|---|
| Fol | 0 DAT | 4.5 a | 44,101 b | 4.4 b |
| 10 DAT | 5.1 a | 149,912 a | 15.0 a | |
| None | 5.2 a | 162,088 a | 16.2 a | |
| Cultivars | TL (−I-3, −Mi) | 5.6 a | 161,328 a | 16.1 b |
| TL (−I-3, +Mi) | 4.3 b | 76,072 b | 7.6 a | |
| P-value | Fol | 0.278 | 0.0002 | 0.002 |
| Cultivar | 0.001 | 0.05 | 0.003 | |
| Fol*Cultivar | 0.329 | 0.001 | 0.005 |
Effect of RKN (M_ javanica) and Fol race 3 on plant height and biomass of Tasti Lee isolines with and without Mi and I-3 genes in experiment 1_
| Factor | Level | Plant height (cm) | Dry weight (gm) at 30 DAT | |||||
|---|---|---|---|---|---|---|---|---|
| 0 DAT | 7 DAT | 14 DAT | 21 DAT | 28 DAT | Root | Shoot | ||
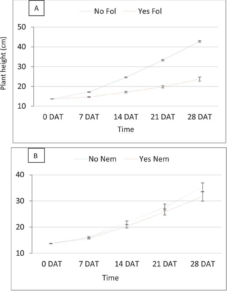
| RKN | Yes | 13.7 a | 15.7 b | 20.0 b | 25.3 b | 30.9 b | 0.8 a | 2.7 b |
| None | 13.7 a | 16.2 a | 21.7 a | 27.6 a | 35.2 a | 0.9 a | 3.4 a | |
| Fol | Yes | 13.7 a | 14.7 b | 17.0 b | 19.6 b | 23.3 b | 0.6 b | 1.4 b |
| None | 13.7 a | 17.2 a | 24.6 a | 33.3 a | 42.8 a | 1.2 a | 4.7 a | |
| Cultivars | TL (+I-3, +Mi) | 13.6 a | 15.6 b | 20.3 b | 25.7 b | 32.6 b | 0.8 b | 3.0 a |
| TL (−I-3, +Mi) | 13.9 a | 15.9 ab | 20.7 b | 26.3 b | 32.0 b | 0.8 b | 3.1 a | |
| TL (+I-3, −Mi) | 13.8 a | 16.5 a | 21.9 a | 27.9 a | 35.5 a | 0.9 a | 3.1 a | |
| TL (−I-3, −Mi) | 13.5 a | 15.7 b | 20.5 b | 26.0 b | 32.3 b | 0.9 a | 2.9 a | |
| P-value | RKN | 0.920 | 0.0246 | 0.0001 | <0.0001 | <0.0001 | 0.1181 | <0.0001 |
| Fol | 0.920 | <0.0001 | <0.0001 | <0.0001 | <0.0001 | <0.0001 | <0.0001 | |
| RKN*Fol | 0.271 | 0.423 | 0.910 | 0.587 | 0.120 | <0.0001 | 0.134 | |
| Cultivar | 0.109 | 0.022 | 0.024 | 0.032 | 0.011 | 0.0005 | 0.277 | |
| RKN*Cultivar | 0.306 | 0.526 | 0.113 | 0.025 | 0.002 | 0.004 | 0.020 | |
| Fol*Cultivar | 0.223 | 0.255 | 0.075 | 0.030 | 0.039 | 0.202 | 0.134 | |
| RKN*Fol*Cultivar | 0.800 | 0.284 | 0.426 | 0.173 | 0.045 | 0.009 | 0.438 | |