Have a personal or library account? Click to login
Toe digit pulsation measurement by impedance plethysmography in miniaturized devices: An early feasibility test Cover

Toe digit pulsation measurement by impedance plethysmography in miniaturized devices: An early feasibility test

Open Access
|Dec 2025

Figures & Tables

Figure 1.

A: 3D-printed clamp with electrodes. B: Measurement position on the inside of right great toe. C: Electrode setup (approx. area CC = 70 mm2, PU = 37,5 mm2) D: Measurement software on the impedance analyzer.
A: 3D-printed clamp with electrodes. B: Measurement position on the inside of right great toe. C: Electrode setup (approx. area CC = 70 mm2, PU = 37,5 mm2) D: Measurement software on the impedance analyzer.

Figure 2.

Example raw data measurements over 1 minute with the toe probe without and with gel applied to the electrode surface.
Example raw data measurements over 1 minute with the toe probe without and with gel applied to the electrode surface.

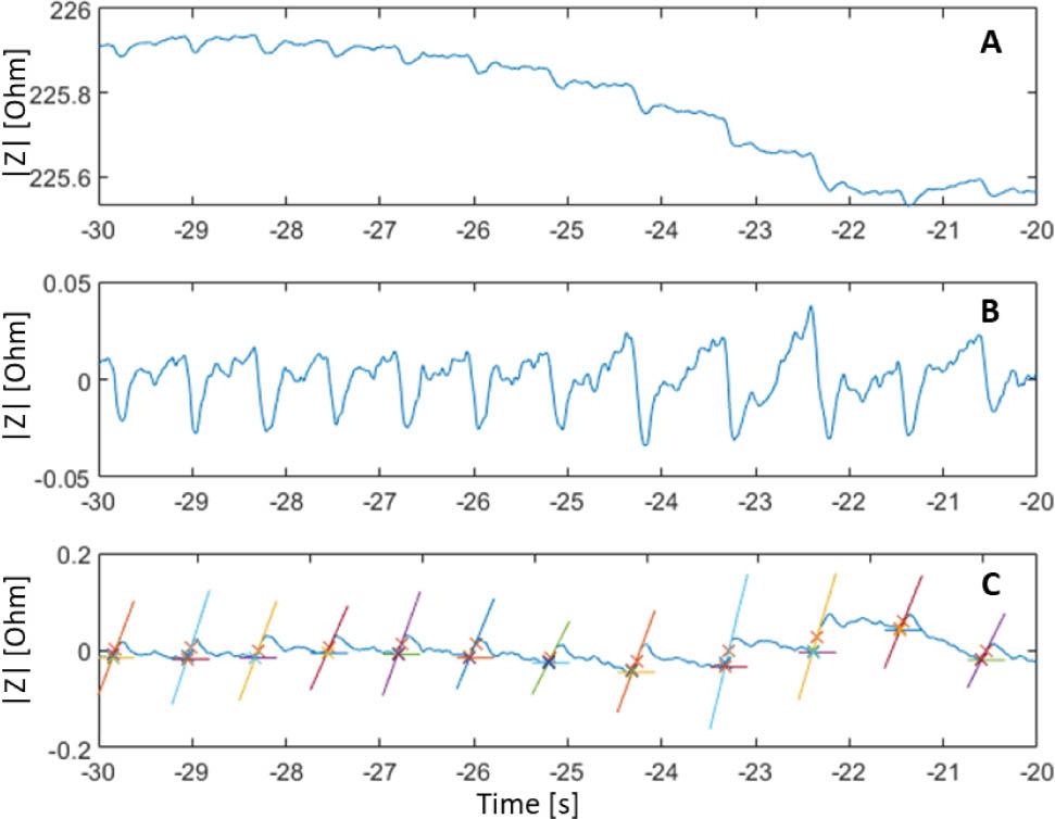
Figure 3.

Signal processing of a 10 s segment of the without gel measurement showing A: raw data, B: high-pass filtered signal and C: identification of upstroke fiducial points based on the intersecting tangents method plotted along with the tangents on a negated filtered signal.
Signal processing of a 10 s segment of the without gel measurement showing A: raw data, B: high-pass filtered signal and C: identification of upstroke fiducial points based on the intersecting tangents method plotted along with the tangents on a negated filtered signal.

Figure 4.

1-minute ensemble averaged IPG waveforms of the normalized example measurements without and with gel. The solid lines show the mean over all pulse waveforms and the dashed lines show the mean ± standard deviation.
1-minute ensemble averaged IPG waveforms of the normalized example measurements without and with gel. The solid lines show the mean over all pulse waveforms and the dashed lines show the mean ± standard deviation.
Language: English
Page range: 150 - 152
Published on: Dec 31, 2025
Published by: University of Oslo
In partnership with: Paradigm Publishing Services
Publication frequency: 1 issue per year

© 2025 Håvard Kalvøy, Jonny Hisdal, Christian Tronstad, published by University of Oslo
This work is licensed under the Creative Commons Attribution 4.0 License.