Overweight and obese individuals have a body composition similar to those with chronic kidney disease (CKD): increased body fat sometimes added to lean mass depletion [1,2]. These conditions have a negative effect on physical capacity and are related to a higher risk of mortality [1,3] and lower life expectancy [4]. Thus, body composition assessment is important for these subjects.
However, presence of edema and excess fat limit the application of classic methodologies, such as anthropometry [5]. Moreover, reference methods are expensive, time-consuming, and have low availability [5,6]. Therefore, bioelectrical impedance analyze is a promising method for body composition assessment as it is easy to operate, of low cost, and with good accuracy rates [5,7,8,9,10,11,12].
Several bioelectrical impedance methods exist, including single-frequency bioelectrical impedance analyze (SFBIA) and multi-frequency bioelectrical impedance spectroscopy (BIS) [8]. Because the devices are different in the range of frequencies and mathematical approaches applied for body composition and water estimation [7,9,10,11,13], the agreement between their measures is unclear.
Therefore, we investigated whether the use of different bioelectrical impedance devices influence the estimation of body composition and water data in a population with different body sizes, adiposity, and hydration status; factors that influences the difference between methods were also assessed.
This study evaluated the data from 3 cross-sectional observational studies, including 386 non-CKD volunteers (professionals working at a university hospital, undergraduate students, and graduate students, 204 females and 182 males, aged from 20 to 40 years); 30 patients undergoing peritoneal dialysis (PD) treatment; and 93 patients in haemodialysis (HD) treatment. Both groups of patients were under treatment for at least 3 months, 53 were females and 70 males, aged from 15 to 81 years, recruited from a tertiary care hospital.
Convenience sampling was used to contact and screen potential candidates: for the non-CKD group, all subjects interested in participating and within the criteria of eligibility were evaluated. From the 36 initial PD outpatients, 3 were ineligible and 3 refused to participate. From the 310 HD patients, 162 were ineligible and 55 refused to participate.
Exclusion criteria for the non-CKD group were metabolic and/or endocrine diseases and use of medication known to influence body composition and for CKD groups, diseases that influence body composition other than CKD and presence of peritonitis in the last 30 days prior to assessment. For all groups, subjects with pregnancy, lactation, infectious diseases, inflammatory state, amputation, presence of prosthesis or pacemaker were excluded.
The 3 studies were conducted in accordance with the Declaration of Helsinki and received the approval of the Medical School Clinical Hospital Ethical Committee (protocols number 1076550, 931621 and 1036622). All participants provided written informed consent prior to the initiation of the study procedures. Moreover, this study was in accordance with STROBE guidelines for observational studies.
All measurements were performed according to standardized conditions on the same day, by a trained and experienced dietitian, early in the morning after a fasting period of 12 h [8]. For the HD group, the fasting period was of 2 h. Measurements were always made with a drained abdominal cavity and up to 15 minutes after HD mid-week session.
Clinical data from non-CKD and CKD groups were obtained through interviews and medical records, respectively. Patients in the PD group were under automated PD (60%) or continuous ambulatory PD (40%). Patients in HD were treated through arteriovenous fistula, three times a week with 4-h sessions. The criteria used for diagnosis of CKD, diabetes mellitus (DM), and systemic arterial hypertension (SAH) were those proposed by the National Kidney Foundation [14], American Diabetes Association [15] and the NICE guideline [16], respectively. Residual diuresis classification was applied as previously proposed [17].
Body weight and height were measured according to Heymsfield using a platform beam scale with a built-in stadiometer (ID 1500, Filizola) [18]. BMI was calculated and used for stratifying the non-CKD group [19].
BIS (BCM, Fresenius) and SFBIA (Quantum II, RJL Systems, for the non-CKD group; TBW, Biodynamics, for CKD groups) were applied in random order and both in hand-to-foot tetrapolar position [8]. Unless a fistula was present, the right side was used and measurements were done after being in supine position for 20 min. Using resistance (R) and reactance (Xc) from BIS, intracellular water (ICW) and extracellular water (ECW) [10], fat free mass (FFM), and fat mass (FM) [13] were estimated applying predictive equations previously developed. Total body water (TBW) was calculated by the sum of ICW and ECW. The appropriate predictive equations were used for SFBIA data to calculate ECW [20], FFM [21] and TBW [21] for non-CKD group, FFM for PD [22] and for HD [23] groups and TBW [23] for CKD groups. FM was calculated as weight minus FFM and ICW as TBW minus ECW. The nutritional status was assessed by phase angle (PA) obtained by BIS analyse according to Kuchnia and collaborators [24]. Hyperhydration and dehydration were determined by overhydration (OH) values of > 1.1 L and ≤1.1 L [25], respectively obtained with the BIS device, as SFBIA is unable to provide such information. For descriptive data of body composition and nutritional status BIS data was used.
Data are presented as mean ± SD, minimum, maximum and frequency values. We applied Q-Q plot to analyze data distribution [26], the unpaired t-test for comparison between CKD groups, and ANOVA for comparison between non-CKD and CKD groups [27]. Differences between devices were evaluated as the difference between BIS and SFBIA (BIS – SFBIA). The 95% confidence interval (95%CI) for mean difference was calculated: if the interval included zero, the data measured with the 2 devices agreed on group level. Agreement on individual level was evaluated using Bland-Altman analyze with limits of agreement [28]. We applied intraclass correlation coefficient (ICC) to measure the strength of agreement and Pearson’s correlation to assess the association as previously proposed [29,30]. Regression analyze was performed to test the association between agreement with BMI and OH. Statistical significance was considered when p<0.05. Data analyze were performed using MINITAB, version 18.
A total of 509 subjects were evaluated. Descriptive data are shown in Table 1. PD (43% ≥60 years old) and HD (23% ≥60 years old) groups were older than the non-CKD group. Weight, FM, and FMI significantly increased with increasing BMI subgroups. The PD group was classified according to BMI as 3% underweight, 40% overweight, and 3% obese and the HD group as 3, 31 and 19%, respectively for the same categories. The FFM and FFMI were similar between CKD groups and the underweight subgroup. PD and HD groups were similar to overweight subgroup for FM and FMI.
Descriptive data for non-CKD subjects stratified in BMI subgroups and for CKD patients stratified in PD and HD subgroups
| BMI<18.5 | 18.5≤BMI<25 | 25≤BMI<30 | BMI≥30 | PD | HD | |
|---|---|---|---|---|---|---|
| n | 40 | 120 | 118 | 108 | 30 | 93 |
| Women (%) | 32 | 62 | 59 | 52 | 11 | 42 |
| (80) | (51) | (50) | (48) | (37) | (45) | |
| Age (years) | 26±4.2a | 29±3.9a | 29±4.6a | 30±5a | 52±19b | 47±13c |
| (20 to 38) | (20 to 40) | (20 to 40) | (20 to 40) | (15 to 81) | (20 to 76) | |
| Weight (kg) | 48±4.9a | 64±9.4b | 79±9.8c | 98±12d | 68±13be | 72±17e |
| (39 to 60) | (45 to 87) | (59 to 109) | (71 to 124) | (38 to 93) | (42 to 137) | |
| BMI (kg/m2) | 18±0.7a | 22±1.8b | 27±1.4c | 34±2.7d | 24±3.4e | 26±5e |
| (15 to 18) | (19 to 25) | (25 to 30) | (30 to 40) | (16 to 32) | (17 to 44) | |
| OH (L) | -0.1±0.4a | -0.3±0.7a | -0.5±0.9ab | -0.8±0.9b | 2.1±2.2c | -0.9±1.9b |
| (-1.2 to 0.9) | (-1.9 to 1.5) | (-3.1 to 2.1) | (-3 to 1.8) | (-0.7 to 6.2) | (-5 to 6.0) | |
| OH>1.1 L (%) | 0 | 0 | 4 | 3 | 17 | 10 |
| (0) | (0) | (3) | (3) | (57) | (11) | |
| OH<-1.1 L (%) | 0 | 14 | 29 | 42 | 0 | 49 |
| (0) | (12) | (25) | (39) | (0) | (53) | |
| FFM (kg) | 34±6.3a | 43±11b | 45±13b | 46±13b | 34±6.6a | 38±9.7a |
| (26 to 51) | (26 to 70) | (27 to 76) | (25 to 76) | (24 to 56) | (20 to 60) | |
| FFMI (kg/m2) | 12±1.5a | 15±2.8b | 15±3.1b | 15±3.1b | 12±1.8a | 14±2.6a |
| (10 to 16) | (9 to 22) | (10 to 23) | (9 to 23) | (8 to 16) | (8 to 20) | |
| FM (kg) | 14±4a | 21±7.1b | 34±9.3c | 52±12d | 30±12c | 34±16c |
| (4 to 21) | (3 to 37) | (11 to 57) | (24 to 83) | (9 to 56) | (2 to 99) | |
| FMI (kg/m2) | 5±1.5a | 7±2.7b | 12±3.5c | 18±4.6d | 11±4.2c | 12±5.6c |
| (1 to 8) | (1 to 13) | (4 to 19) | (8 to 29) | (4 to 19) | (1 to 29) | |
| PA (ₒ) | 5.8±0.5a | 6.6±0.8b | 6.8±0.8b | 6.8±0.8b | 4.7±1.1c | 6.1±1.2a |
| (4.8 to 7) | (4.8 to 8.2) | (5.3 to 9) | (5 to 8.9) | (2.8 to 7.1) | (3 to 9.1) | |
| Impairment Nutritional status (%)1 | 4 | 7 | 4 | 2 | 23 | 33 |
| (10) | (6) | (3) | (2) | (76) | (36) | |
| DM (%) | 0 | 0 | 0 | 0 | 10 | 61 |
| (0) | (0) | (0) | (0) | (33) | (66) | |
| SAH (%) | 0 | 0 | 0 | 0 | 19 | 61 |
| (0) | (0) | (0) | (0) | (63) | (66) | |
| Residual Diuresis (ml)2 | 937±680*** | 170±330*** | ||||
| (50 to 2000) | (0 to 2000) | |||||
| Kt/V1 | 2.6±0.9*** | 1.5±0.3*** | ||||
| (1.4 to 4.5) | (1 to 2.5) | |||||
| Duration of dialytic treatment | 33±32*** | 63±48*** | ||||
| (months)2 | (3 to 144) | (5 to 264) | ||||
| Dialytic treatment >12 months (%) | 21 | 82 | ||||
| (70) | (88) |
BMI, body mass index; CKD, chronic kidney disease; DM, Diabetes Mellitus; FFM, fat free mass; FFMI, fat free mass index; FM, fat mass; FMI, fat mass index; HD, hemodialysis; OH, overhydration; PA, phase angle; PD, peritoneal dialysis; SAH, Systemic Arterial Hypertension. Data presented as mean ± SD (minimum value to maximum value) or in %. Values with different letters in the same line between BMI subgroups, PD and HD groups are significantly different, p<0.05 (ANOVA). 1According to the obtained PA and the cut-off points proposed by Kuchnia and collaborators [24]. 2Data analyzed with unpaired t test, PD vs HD, ***p<0.001. FFM, FFMI, FM, FMI, OH and PA data from multifrequency bioelectrical impedance spectroscopy.
As groups have differences in age and sex distribution, we evaluated the association of age and sex with body composition by Pearson’s correlation: in the non-CKD group, age did not correlated with BMI, FFMI or FMI (p>0.05), but sex had a correlation coefficient of 0.60 with FFMI and of 0.48 with FMI; for the PD group, sex was not correlated (p>0.05), but age had a correlation of 0.15 with BMI, -0.22 with FFMI, and 0.19 with FMI; for HD, sex had a correlation of 0.24 with FFMI and 0.15 with FMI; age was correlated with FFMI (-0.11). Therefore, the greater FM and FMI and lower FFM and FFMI observed in CKD when compared with the non-CKD group are partially explained by sex and age differences given the observed correlation coefficients in each group.
Almost 80% of the PD group and 40% of HD group had nutritional impairment. Hyperhydration was more common in PD and dehydration in HD group. SAH affected more than half of CKD patients and DM was more common among HD patients. Residual diuresis was higher in the PD group with 7% anuric, 7% oliguric, and 86% with residual diuresis. For the HD group, the same classification was 62, 15, and 23%, respectively. Kt/V was greater in PD and the duration of dialytic treatment was longer in the HD group.
Concerning agreement between BIS and SFBIA, in the non-CKD group (see table 2), SFBIA underestimated resistance (R), reactance (Xc), and FM, and overestimated ECW and FFM. For the underweight subgroup, the greatest difference occurred for ECW, FFM, and FM, and the best agreement was for TBW and ICW, which did not show difference between devices. For normal weight, FFM, ICW, and FM had the greatest differences and ECW had the best agreement. For overweight, the greatest differences were for FFM and FM, and the best agreement for ECW; PA and TBW did not show difference between devices. For obese, FM and FFM had the greatest differences, ECW had the best agreement, and TBW and ICW did not show a difference between devices. For PD group (see table 3), SFBIA underestimated FM and overestimated TBW, ECW, ICW, and FFM. The greatest differences were for FFM and FM, and the best agreement for TBW; R, Xc, and PA did not show a difference between devices. For the HD group (see table 3), SFBIA underestimated R, Xc, and FM and overestimated TBW, ECW, and FFM. The greatest differences were for FFM and FM, the best agreement for FFM and TBW, and PA and ICW did not show a difference between devices.
Statistics of BIS vs SFBIA data in non-CKD BMI stratified subgroup
| Underweight subjects (n=40) | ||||||||
|---|---|---|---|---|---|---|---|---|
| Bland-Altman | ||||||||
| 95% limits of agreement | ||||||||
| Data analysed | BIS | SFBIA | ICC | r | Biasa (%)b | 95%CI Biasc (%)d | Lower | Upper |
| R (ohm) | 848±74 | 596±103 | -0.02 | -0.12 | 252+134 (35.5+18.9) | 209 to 294 (29 to 42) | -10 | 513 |
| Xc (ohm) | 86±9.3 | 63±9.5 | -0.03 | -0.12 | 23+14 (31.1+18.1) | 19 to 28 (25 to 37) | -4.6 | 51 |
| PA (ₒ) | 5.8±0.5 | 6.1±0.6 | 0.12 | 0.09 | -0.3+0.8 (-4.8+12.6) | -0.5 to -0.05 (-8.9 to -0.7) | -1.8 | 1.2 |
| TBW (L) | 27±3.9 | 30±4.1 | 0.38** | 0.47** | -3.4+4.1 (-11.7+14.3) | -4.7 to -2 (-16 to -7.1) | -11 | 4.7 |
| ECW (L) | 11±1.4 | 14±2.2 | 0.20* | 0.47** | -2.9+2 (-22.8+14.8) | -3.6 to -2.3 (-28 to -18) | -6.8 | 0.9 |
| ICW (L) | 16±2.6 | 16±1.9 | 0.45** | 0.44** | -0.4+2.5 (-3.1+14.8) | -1.2 to 0.4 (-7.9 to 1.7) | -5.2 | 4.4 |
| FFM (kg) | 34±6.3 | 43±4.8 | 0.26* | 0.59** | -9.1+5.1 (-24.4+13.9) | -11 to -7.5 (-29 to -20) | -19 | 1 |
| FM (kg) | 14±4 | 5±4.4 | 0.07* | 0.27* | 8.8+5.1 (81+202.4) | 7.2 to 10 (15 to 147) | -1.1 | 19 |
| Normal weight subjects (n=120) | ||||||||
| Bland-Altman | ||||||||
| 95% limits of agreement | ||||||||
| Data analysed | BIS | SFBIA | ICC | r | Biasa (%)b | 95%CI Biasc (%)d | Lower | Upper |
| R (ohm) | 718±99 | 621±97 | -0.02 | -0.05 | 97+141 (14.6+20.6) | 71 to 122 (11 to 18) | -180 | 374 |
| Xc (ohm) | 82±9.6 | 63±8.9 | 0.04 | 0.13 | 19+12 (25.8+16.9) | 16 to 21 (23 to 29) | -5.3 | 43 |
| PA (ₒ) | 6.6±0.8 | 5.9±0.5 | 0.10 | 0.17 | 0.7+0.9 (11.1+14.1) | 0.5 to 0.9 (8.6 to 14) | -1 | 2.5 |
| TBW (L) | 35±7.3 | 32±4.4 | 0.51** | 0.62** | 2.1+5.7 (4.9+16.7) | 1.0 to 3.1 (1.8 to 7.9) | -9.1 | 13 |
| ECW (L) | 14±2.6 | 16±2.4 | 0.58** | 0.66** | -1.3+2.1 (-9.4+14.3) | -1.7 to -0.9 (-12 to -6.8) | -5.4 | 2.7 |
| ICW (L) | 20±4.8 | 17±2 | 0.27* | 0.56** | 3.4+4 (16.2+19.4) | 2.7 to 4.1 (13 to 20) | -4.4 | 11 |
| FFM (kg) | 43±11 | 47±5.6 | 0.52** | 0.71*** | -3.6+8.5 (-10.9+20) | -5.2 to -2.1 (-15 to -7.2) | -20 | 13 |
| FM (kg) | 21±7.1 | 18±6.5 | 0.21* | 0.25* | 3.6+8.3 (18.8+50.4) | 2.1 to 5.1 (9.8 to 28) | -13 | 20 |
| Overweight subjects (n=118) | ||||||||
| Bland-Altman | ||||||||
| 95% limits of agreement | ||||||||
| Data analysed | BIS | SFBIA | ICC | r | Biasa (%)b | 95%CI Biasc (%)d | Lower | Upper |
| R (ohm) | 650±78 | 547±102 | 0.01 | 0.02 | 102±128 (18±22) | 79 to 126 (14 to 22) | -148 | 352 |
| Xc (ohm) | 77±9 | 62±8.3 | 0.01 | -0.02 | 15±12 (21±18) | 12 to 17 (18 to 24) | -9.6 | 39 |
| PA (ₒ) | 6.8±0.8 | 6.6±0.9 | 0.01 | 0.01 | 0.2±1.2 (3±18) | -0.03 to 0.4 (-0.4 to 6.3) | -2.2 | 2.6 |
| TBW (L) | 38±7.7 | 37±6 | 0.52** | 0.52** | 0.8±6.8 (1.4±18) | -0.4 to 2.1 (-1.8 to 4.7) | -13 | 14 |
| ECW (L) | 16±2.8 | 17±2.8 | 0.65** | 0.70*** | -0.9±2.2 (-6.1±13) | -1.4 to -0.6 (-8.4 to -3.7) | -5.2 | 3.3 |
| ICW (L) | 22±5.1 | 20±3.5 | 0.30** | 0.34** | 1.8±5.1 (7.4±23) | 0.9 to 2.8 (3.1 to 12) | -8.1 | 12 |
| FFM (kg) | 45±13 | 55±8.9 | 0.31** | 0.46** | -9.5±12 (-21±24) | -12 to -7.4 (-26 to -17) | -32 | 13 |
| FM (kg) | 34±9.2 | 24±5.7 | -0.07* | -0.13* | 9.6±11 (31±41) | 7.5 to 12 (24 to 39) | -13 | 32 |
| Obese subjects (n=108) | ||||||||
| Bland-Altman | ||||||||
| 95% limits of agreement | ||||||||
| Data analysed | BIS | SFBIA | ICC | r | Biasa (%)b | 95% CI Biasc (%)d | Lower | Upper |
| R (ohm) | 596±77 | 482±53 | 0.07 | 0.19 | 114±85 (20.8+14.8) | 98 to 130 (17.9 to 23.6) | -52 | 280 |
| Xc (ohm) | 71±9.3 | 61±6.9 | -0.01 | -0.01 | 9.8±12 (14.5+17.4) | 8 to 12 (11.2 to 17.9) | -13 | 33 |
| PA (ₒ) | 6.8±0.8 | 7.2±0.6 | 0.01 | -0.05 | -0.4±1 (-5.7+15.3) | -0.6 to -0.2 (-8.7 to -2.8) | -2.5 | 1.7 |
| TBW (L) | 42±8.2 | 42±5.4 | 0.70*** | 0.77*** | -0.6±5.4 (-2.4+12.5) | -1.6 to 0.4 (-4.8 to 0.01) | -11 | 9.9 |
| ECW (L) | 18±3.1 | 19±2.9 | 0.79*** | 0.82*** | -0.8±1.9 (-4.5+9.7) | -1.2 to -0.4 (-6.4 to -2.7) | -4.4 | 2.8 |
| ICW (L) | 24±5.3 | 23±2.4 | 0.53** | 0.69** | 0.2±4 (-0.9+16.6) | -0.5 to 1 (-4.1 to 2.3) | -7.6 | 8.1 |
| FFM (kg) | 46±12.9 | 64±8.1 | 0.26* | 0.71*** | -18±9.2 (-36.4+20.5) | -20 to -16 (-40.3 to -32.5) | -36 | -0.5 |
| FM (kg) | 52±11.5 | 33±6.7 | 0.16* | 0.61** | 19±9.1 (43.3+18.7) | 17.2 to 20.7 (39.7 to 46.9) | 1 | 37 |
BIS, multifrequency bioelectrical impedance spectroscopy; BMI, body mass index; ECW, extracellular water; FFM, fat free mass; FM, fat mass; ICC, Intraclass Correlation Coefficient; ICW, intracellular water; PA, phase angle; r, Pearson correlation coefficient; R, resistance; SFBIA, single-frequency bioelectrical impedance; TBW, total body water; Xc, reactance. Data presented as mean ± SD or minimum to maximum value. ICC, *p<0.05, **p<0.01 BIS vs SFBIA. r, *p<0.05, **p<0.01 BIS vs SFBIA. aMean error between BIS and SFBIA: BIS – SFBIA. bMean percentage error between BIS and SFBIA: Bias/[(BIS + SFBIA)/2] X 100. c95%CI of difference between BIS and SFBIA: BIS – SFBIA. d95%CI of difference between BIS and SFBIA (%): Bias/[(BIS + SFBIA)/2] X 100. 95%CI that include zero are unbiased.
Statistics of BIS vs SFBIA data in CKD subjects (PD and HD subgroups)
| PD subgroup (n=30) | ||||||||
|---|---|---|---|---|---|---|---|---|
| Bland-Altman | ||||||||
| 95% limits of agreement | ||||||||
| Data analysed | BIS | SFBIA | ICC | r | Biasa (%)b | 95%CI Biasc (%)d | Lower | Upper |
| R (ohm) | 533±83 | 532±83 | 0.03 | 0.04 | 1±115 (0.2±21) | 42 to 44 (7.5 to 8) | -224 | 226 |
| Xc (ohm) | 44±15 | 48±14 | -0.16 | -0.2 | -4±22 (-9±47) | -12 to 4.4 (-27 to 8.4) | -48 | 40 |
| PA (ₒ) TBW (L) | 4.7±1.1 34±5.4 | 5.1±1 38±6.4 | -0.23 0.59** | -0.2 0.75*** | -0.5±1.6 (-10±34) -4.2±4.2 (-11±11) | -1.1 to 0.15 (-23 to 2.7) -5.7 to -2.6 (-16 to -7.4) | -3.7 -12 | 2.7 4.1 |
| ECW (L) | 17±3.3 | 19±3.2 | 0.47** | 0.52** | -1.4±3.2 (-8.3±19) | -2.6 to -0.2 (-15 to -1.4) | -7.7 | 4.9 |
| ICW (L) | 17±2.7 | 20±3.9 | 0.40** | 0.58** | -2.8±3.2 (-14±16) | -3.9 to -1.6 (-20 to -1.2) | -9 | 3.4 |
| FFM (kg) | 34±6.6 | 49±8.9 | 0.50** | 0.79*** | -15±8.3 (-36±17) | -18 to -12 (-43 to -30) | -31 | 1.3 |
| FM (kg) | 31±12 | 19±12 | 0.14* | 0.44** | 11±7.7 (95±257) | 7.7 to 13 (1.0 to 191) | -4.5 | 26 |
| HD subgroup (n=93) | ||||||||
| Bland-Altman | ||||||||
| 95% limits of agreement | ||||||||
| Data | BIS | SFBIA | ICC | r | Biasa (%)b | 95%CI Biasc (%)d | Lower | Upper |
| analysed | ||||||||
| R (ohm) | 730±128 | 606±103 | -0.03 | -0.05 | 124±168 (18±25) | 90 to 159 (13 to 23) | -206 | 454 |
| Xc (ohm) | 78±22 | 68±17 | 0.18* | 0.16 | 10±25 (13±38) | 5.2 to 16 (5.3 to 21) | -40 | 60 |
| PA (ₒ) | 6.1±1.2 | 6.4±1.3 | 0.05 | 0.07 | -0.3±1.7 (-5.3±29) | -0.7 to 0.1 (-11 to 0.6) | -3.7 | 3 |
| TBW (L) | 33±6.9 | 36±5.7 | 0.64** | 0.71*** | -2.6±5 (-8.5±14) | -3.7 to -1.6 (-11 to -5.6) | -12 | 7.1 |
| ECW (L) | 14±3.2 | 17±3.1 | 0.38** | 0.51** | -2.6±3.1 (-18±19) | -3.3 to -2 (-21 to -14) | -8.8 | 3.5 |
| ICW (L) | 19±4.2 | 19±3.7 | 0.68** | 0.68** | -0.01±3.2 (-0.7±17) | -0.7 to 0.6 (-4.1 to 2.8) | -6.3 | 6.2 |
| FFM (kg) | 38±9.7 | 49±7.9 | 0.65** | 0.85*** | -11±8.2 (-27±20) | -13 to -9.3 (-31 to -23) | -27 | 5.1 |
| FM (kg) | 34±16 | 23±13 | 0.32** | 0.58** | 11±8.2 (45±44) | 9.5 to 13 (36 to 54) | -5 | 27 |
BIS, multifrequency bioelectrical impedance spectroscopy; CKD, chronic kidney disease; ECW, extracellular water; FFM, fat free mass; FM, fat mass; HD, hemodialysis; ICC, Intraclass Correlation Coefficient; ICW, intracellular water; PA, phase angle; PD, peritoneal dialysis; r, Pearson correlation coefficient; R, resistance; SFBIA, single-frequency bioelectrical impedance; TBW, total body water; Xc, reactance. Data presented as mean ± SD or minimum to maximum value. ICC, *p<0.05, **p<0.01 BIS vs SFBIA. r, *p<0.05, **p<0.01, ***p<0.001 BIS vs SFBIA. aMean error between BIS and SFBIA: BIS – SFBIA. bMean percentage error between BIS and SFBIA: Bias/[(BIS + SFBIA)/2] X 100. c95%CI of difference between BIS and SFBIA: BIS – SFBIA. d95%CI of difference between BIS and SFBIA (%): Bias/[(BIS + SFBIA)/2] X 100. 95%CI that include zero are unbiased.
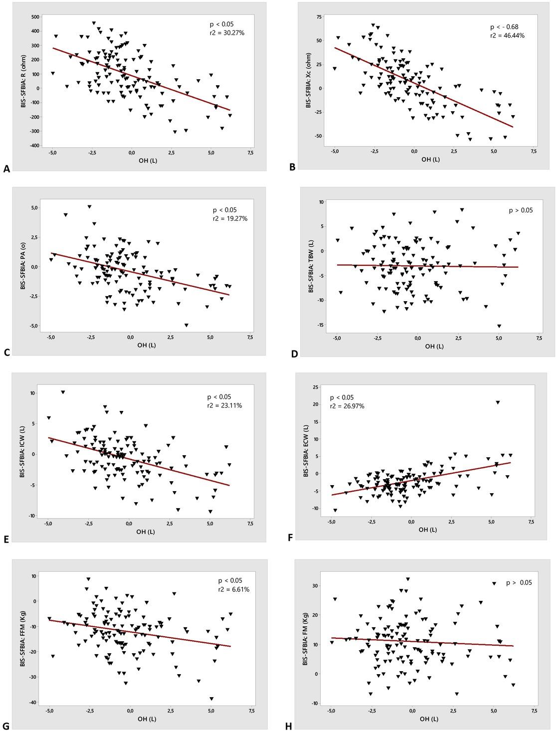
For all variables in all groups, the limits of agreement were very large; data generated by SFBIA and BIS are not interchangeable. In addition, FM had the highest difference and limits of agreement, and the lowest correlation and agreement coefficients. In addition, a proportional agreement was observed as the difference between devices were greater in extreme values of BMI or as BMI increased (see Fig. 1) and agreement decreased in extremes values of water imbalance or as OH increased (see Fig. 2).

Regression analyze between BIS and SFBIA bias (BIS-SFBIA) with BMI. Data analyzed only for BMI subgroups. BIS, multifrequency bioelectrical impedance spectroscopy; BMI, body mass index; ECW, extracellular water; FFM, fat free mass; FM, fat mass; ICW, intracellular water; PA, phase angle; R, resistance; SFBIA, single-frequency bioelectrical impedance; TBW, total body water; Xc, reactance. (a) R; (b) Xc; (c) PA; (d) TBW; (e) ICW; (f) ECW; (g) FFM; (h) FM. Circle: underweight; Square: normal weight; Trapezium: overweight; Triangle: obese.

Regression analyze between BIS and SFBIA bias (BIS-SFBIA) with OH. Data analyzed only for CKD groups. BIS, multifrequency bioelectrical impedance spectroscopy; BMI, body mass index; CKD, chronic kidney disease; ECW, extracellular water; FFM, fat free mass; FM, fat mass; ICW, intracellular water; PA, phase angle; R, resistance; SFBIA, single-frequency bioelectrical impedance; TBW, total body water; OH, overhydration state; Xc, reactance. (a) R; (b) Xc; (c) PA; (d) TBW; (e) ICW; (f) ECW; (g) FFM; (h) FM.
Body composition is important given its role in survival, clinical outcomes, quality of life, and risk of mortality [5,31]. Although the existence of reference methods for body composition analyze, the low accessibility and high costs direct the efforts for bedside procedures. However, it is still unclear which bedside tool is most useful to estimate body composition and hydration status in epidemiological studies or in-patient groups, specifically obese and CKD subjects. Thus, bioelectrical impedance is a promising tool for body composition analyze, but whether the different technologies and mathematical procedures in bioelectrical devices generate similar results needs clarification.
The great differences and wide limits of agreement found in this study indicate that the results obtained with both tested devices are not interchangeable, as concluded by others [32,33].
The difference between bioimpedance devices increased with increasing BMI or were higher in BMI extremes, showing an influence of body size on measurements. As shown in the present study, the increase in BMI was due to an increase in FM, standing out as an interfering factor. Some studies evaluated the ability of BIS and SFBIA to measure body fluid or body composition compared with reference methods and observed systematic errors positively correlated with BMI [34].
Due to these errors, new equations for estimating water content and body composition by BIS were developed [10,13]; these mathematical models promised a better fit with body size as a correction for BMI is applied [9]. In the present study, such mathematical innovation was applied and partly explained the broad limits of agreement between BIS and SFBIA.
In addition, the differences between devices were higher in water imbalance status. SFBIA has as a principle that ICW-to-ECW ratio is constant with no variation of specific resistivity across different tissues [35]. However, specific resistivity is related to electrolyte concentration [35] as well as ICW and ECW distribution, factors altered by nutritional status and in disease state, as in CKD and obesity [8,14]. SFBIA has a single frequency of 50 kHz and it is unable to penetrate the cell membrane and properly compute ICW. This is the major limitation for adequately measuring TBW [11,36], ICW, and ECW as well as differentiate one parameter from another, interfering in FFM predictive capacity and overestimating fat free tissue [32].
On the other hand, the Cole model and Hanai mixture theory are mathematical models shown to best describe the physiological alteration in tissues bioelectric properties [10]. Thus, the BIS approach, with high and low frequencies, can directly measure ICW, ECW, and TBW [8,9,35]. However, BIS is based on some principles not always respected across the range of body composition, especially in states of hyper-hydration and excess adiposity [37]; many constants are employed, such as fixed values for specific resistivity of ECW and ICW compartments, body density, and shape [9,10].
Thus, these limiting factors present in each equipment but with different natures can justify the wide limits of agreement between the devices, as well as the greater differences in OH, body size, and FM extremes.
PD had older individuals, as it was shown by the Brazilian National Base in Renal Substitutive Therapies [38]. SAH and DM, main risk factors for CKD [14], were the most prevalent diseases among individuals with CKD, corroborating findings from the literature [39,40].
In non-CKD subgroups, the high BMI was largely due to the participation of FM, as observed by others [41]; a worrying information considering the young age of the group and the cardiometabolic risks that the excess body fat can exert. Regarding body composition of individuals in PD and HD, an excess FM and low FFM suggest the presence of sarcopenia, obesity, and sarcopenic obesity. The prevalence of sarcopenia in renal population in dialysis therapy varies from 20 to 44% in CKD final stages [42,43], and around 10% in the CKD under conservative treatment [44].
This prevalence is much higher than that observed in the general population [45] and in patients with early CKD stages, suggesting that the loss of muscle mass increases as renal function decreases [1].
This deleterious body composition of CKD groups can explain the high percentage of individuals with low PA values, predicting a worse clinical prognosis; PA is considered a marker of cellular integrity and associated with nutritional status. It is also an independent risk factor for long-term mortality [46]. Advanced age is a risk factor for sarcopenia and nutritional impairment [47,48] and hyperhydration is associated with inflammation and increased risk of mortality [49].
The guidelines published by the National Kidney Foundation [50] suggest that the adequacy of dialysis treatment should be interpreted considering not only the clearance of small solutes, but also a careful analyze that encompasses several aspects within each nutritional status and fluid volume. Thus, patients in PD and HD here evaluated presented nutritional risk either due to compromised body composition or to presence of dehydration and hyperhydration status [49].
This study has several strengths and limitations. All measurements were standardized and the adherence to the protocol was verified prior to measurements. The choice of predictive equations applied to raw data from BIS and SFBIA was based on the analyze of the greatest similarity with the original sample characteristics, as suggested by Mulasi and collaborators [12], being a way to improve accuracy. The evaluation of the agreement of body size, FM, and water imbalance measures between the devices with a deep statistical analyze allowing collective and individual assessment, best detailed the main interfering factors for agreement between methods. Also, individuals from PD and HD groups achieve clinical stability after 3 months on dialysis therapy and the majority remain for more than one year in renal replacement therapy [14]. However, the limitation of this study is the lack of a reference method for body composition and water content data. Thus, it is not possible to indicate which device is the most reliable.
SFBIA and BIS generated data that are not interchangeable. This study highlights the limitations of both technologies showing that body size, fat mass, and hydration status are interfering factors in the results and influenced the differences between methods. The limitations in BIS and SFBIA should be considered when assessing body composition and hydration status especially in obese individuals and in those with water imbalance status, such as renal patients. Future studies are needed to improve these limiting factors.