Fig. 1

Fig. 2

Fig. 3

Fig. 4

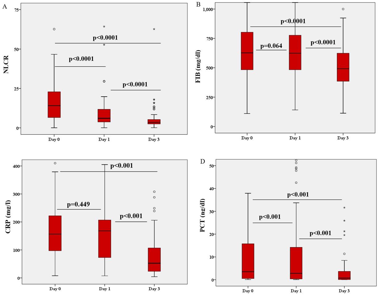
The dynamical values of NLCR, FIB, CRP and PCT on days 0, 1 and 3_ The results are presented as median (IQR)_
| Variable | Admission (day 0) | After 24 hours (day 1) | After 72 hours (day 3) |
|---|---|---|---|
| NLCR | 13.4 (6; 22.8) | 6.14 (3.7; 12.86) | 3.63 (2.49; 5.98) |
| FIB (mg/dl) | 606 (475; 753) | 564 (474; 730) | 474 (385; 616) |
| CRP (mg/l) | 157 (102; 232) | 169 (73; 212) | 58.4 (23.5; 109) |
| PCT (ng/dl) | 4.36 (0.51; 22.71) | 3.34 (0.36; 22.06) | 0.78 (0.05; 4.77) |