Fig. 1.

Fig. 2.

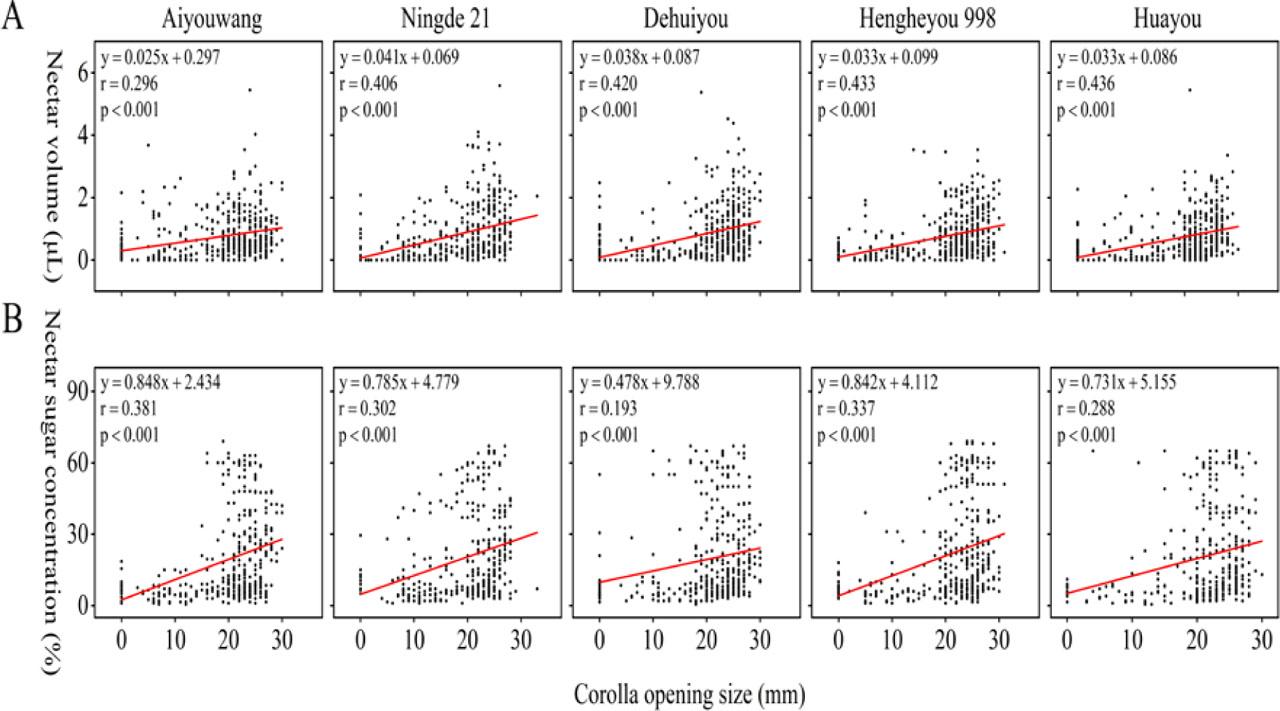
Fig. 3.

Fig. 4.

Nectar secretion volume (μL) and nectar sugar concentration (%, wt_/total wt_) in the five oilseed rape cultivars at the bud stage
| Cultivar | Number of flower buds | Percentage of buds secreting nectar (%) | Nectar volume (μL) | Nectar sugar concentration (%) |
|---|---|---|---|---|
| Aiyouwang | 12 | 33.3a | 0.724±0.355a | 11.8±0.4ab |
| Ningde 21 | 12 | 75.0a | 0.330±0.169a | 10.3±0.9ab |
| Dehuiyou | 11 | 63.6a | 0.252±0.092a | 7.7±2.3b |
| Hengheyou 998 | 10 | 30.0a | 0.247±0.020a | 15.5±1.5a |
| Huayou | 15 | 53.3a | 0.353±0.115a | 10.5±0.4ab |
The nectar sugar composition (g/100 mL) in the five oilseed rape cultivars
| Cultivar | Glucose | Fructose | G/F |
|---|---|---|---|
| Aiyouwang | 17.22±2.53 | 20.08±3.03 | 0.89±0.09 |
| Ningde 21 | 20.30±2.81 | 18.40±2.84 | 1.30±0.29 |
| Dehuiyou | 12.69±2.26 | 15.20±2.81 | 0.96±0.17 |
| Hengheyou 998 | 17.56±1.31 | 16.52±3.69 | 1.44±0.38 |
| Huayou | 14.66±2.66 | 15.11±2.81 | 1.04±0.19 |
Linear regression of environmental parameters correlated with oilseed rape flower nectar production
| Cultivar | Coefficients | Estimate | Std. error | t value | p value | Model fit (adjusted R2) | |
|---|---|---|---|---|---|---|---|
| Nectar volume | Aiyouwang | % Relative humidity | 0.007 | 0.002 | 2.908 | 0.004 | 0.016 |
| Dehuiyou | % Relative humidity | 0.014 | 0.004 | 3.753 | <0.001 | 0.025 | |
| Air temperature | 0.036 | 0.013 | 2.774 | 0.006 | |||
| Hengheyou 998 | % Relative humidity | 0.012 | 0.003 | 3.762 | <0.001 | 0.027 | |
| Air temperature | 0.025 | 0.011 | 2.235 | 0.026 | |||
| Huayou | % Relative humidity | 0.007 | 0.002 | 2.993 | 0.003 | 0.017 | |
| Nectar sugar concentration | Aiyouwang | % Relative humidity | −0.491 | 0.069 | −7.113 | <0.001 | 0.433 |
| Air temperature | 1.229 | 0.229 | 5.380 | <0.001 | |||
| Ningde 21 | % Relative humidity | −0.517 | 0.062 | −8.364 | <0.001 | 0.571 | |
| Air temperature | 1.476 | 0.216 | 6.846 | <0.001 | |||
| Dehuiyou | % Relative humidity | −0.742 | 0.067 | −11.132 | <0.001 | 0.496 | |
| Air temperature | 0.462 | 0.221 | 2.084 | 0.038 | |||
| Hengheyou 998 | % Relative humidity | −0.633 | 0.068 | −9.363 | <0.001 | 0.536 | |
| Air temperature | 1.226 | 0.230 | 5.327 | <0.001 | |||
| Huayou | % Relative humidity | −0.670 | 0.069 | −9.739 | <0.001 | 0.524 | |
| Air temperature | 0.948 | 0.232 | 4.084 | <0.001 | |||